Chandler Arizona Overdraft Agreement with Bank

State:
Multi-State
City:
Chandler
Control #:
US-0655SB
Format:
Word; 
Rich Text
Instant download

Description

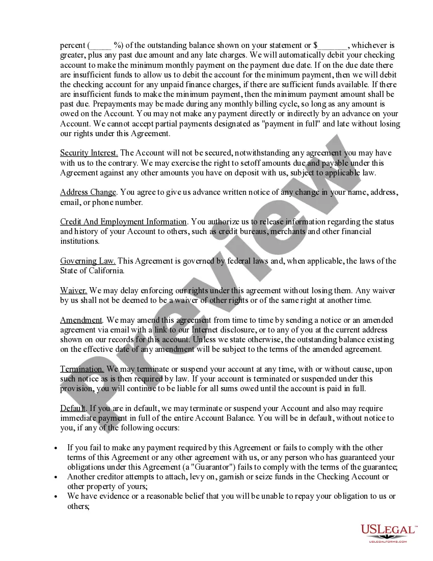
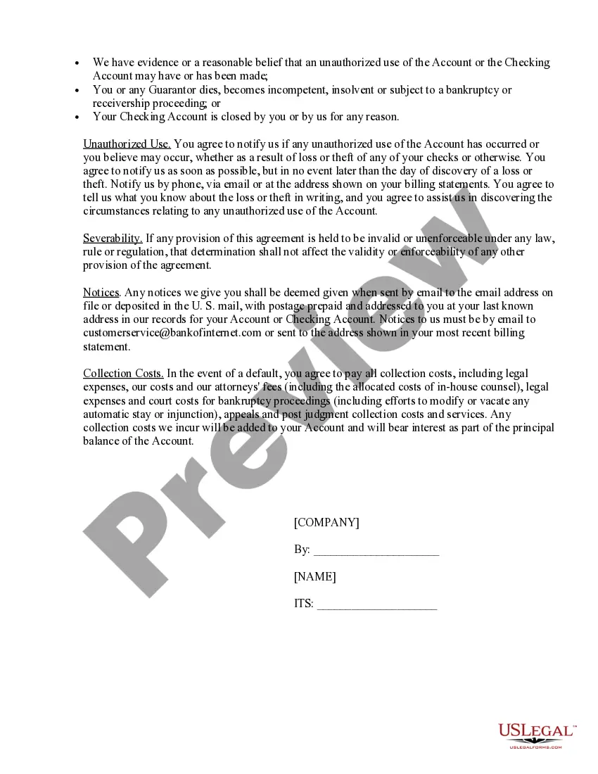
This agreement is for a line of credit that is activated when a customer writes a check that totals more than the funds in his or her checking account.
Free preview
  • Preview Overdraft Agreement with Bank
  • Preview Overdraft Agreement with Bank
  • Preview Overdraft Agreement with Bank

Form popularity

FAQ

1. : a maker or seller of tallow or wax candles and usually soap. 2. : a retail dealer in provisions and supplies or equipment of a specified kind. a yacht chandler.

/???ps t?ændl?r/ (also chandler) ?a person or shop that sells equipment for ships and boats.

A person who sells supplies for boats or ships: The ship's chandler always needs extra help when a boat comes in. He became a yacht chandler in Shaldon, at the mouth of the River Teign.

Origin of chandler1. 1275?1325; Middle English chandeler candlestick, maker or seller of candles < Anglo-French, Old French chandelier, literally, someone or something connected with candles, equivalent to chandelle candle + -ier -ier 2.

Chandler (occupation), originally head of the medieval household office responsible for candles, now a person who makes or sells candles. Ship chandler, a dealer in supplies or equipment for ships.

Chandler (noun as in dealer) Strongest matches. banker merchant retailer trader trafficker vendor wholesaler.

Welcome to Chandler, AZ ? a dynamic city known for its tech innovation, cultural districts, and diverse architecture. With a thriving arts scene and commitment to innovation, Chandler is recognized globally.

Chandler in Occupations topic From Longman Dictionary of Contemporary Englishchand?ler /?t???ndl? $ ?t?ændl?r/ noun [countable] someone who made or sold candles in the past ? ship's chandlerExamples from the Corpuschandler? In 1788 the Tandragee Circuit was formed in the house of James Lemon, a chandler.

Interesting Questions

Trusted and secure by over 3 million people of the world’s leading companies

Chandler Arizona Overdraft Agreement with Bank