Gilbert Arizona Motion for Release of Property from Levy in Attachment Proceeding Due to Excess Amount Attached

State:
Multi-State
City:
Gilbert
Control #:
US-02741BG
Format:
Word; 
Rich Text
Instant download

Description

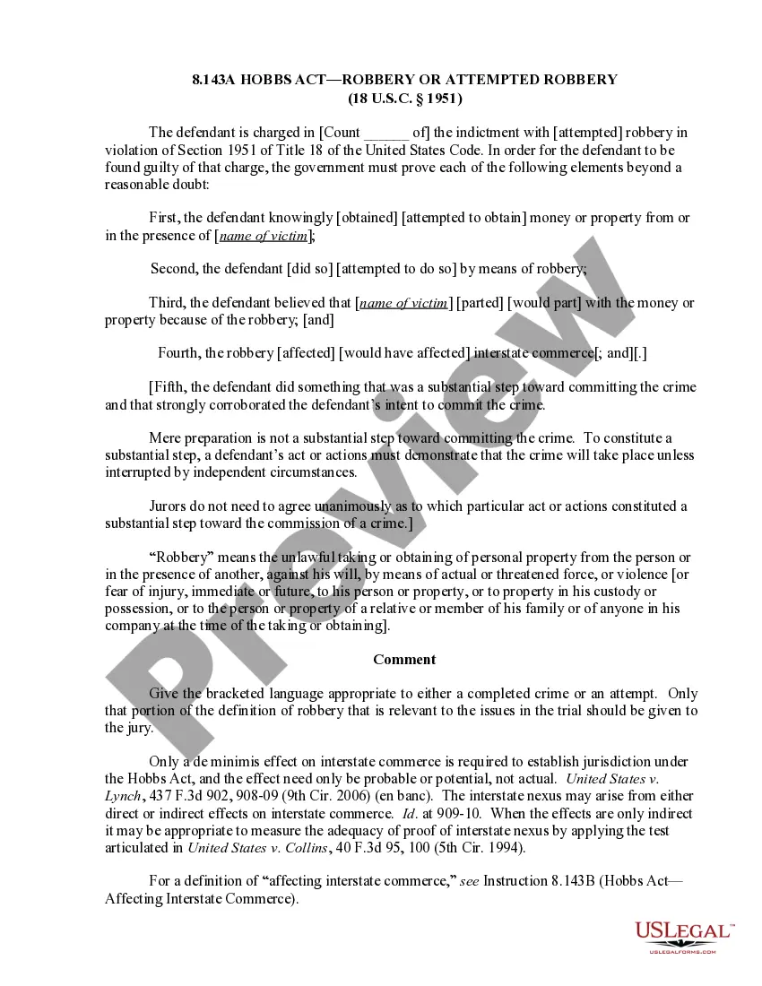
Attachment in legal terminology means a preliminary legal seizure of property to force compliance with a decision which may be obtained in a pending suit. Before a final judgment is issued, the court may order the sheriff or other proper officer to seize any property; credit, or right, belonging to the defendant, in whatever hands the same may be found, to satisfy the claim which the plaintiff has against him. In some states, an order of attachment can only be issued when a debtor is shown to be fleeing or concealing themselves from the legal process, so that the attached property can satisfy a judgment that may be awarded in the complainant's favor. In criminal law practice, it may refer to a writ requiring a sheriff to apprehend a particular person, who has been guilty of a contempt of court, and to bring the offender before the court.


This form is a generic example that may be referred to when preparing such a form for your particular state. It is for illustrative purposes only. Local laws should be consulted to determine any specific requirements for such a form in a particular jurisdiction.

Free preview
  • Preview Motion for Release of Property from Levy in Attachment Proceeding Due to Excess Amount Attached
  • Preview Motion for Release of Property from Levy in Attachment Proceeding Due to Excess Amount Attached
  • Preview Motion for Release of Property from Levy in Attachment Proceeding Due to Excess Amount Attached

Form popularity

FAQ

Once known as the ?Hay Shipping Capital of the World,? Gilbert, Arizona has evolved into one of the fastest growing communities and the largest town in the United States. About Us - Gilbert, Arizona gilbertaz.gov ? how-do-i ? about-us gilbertaz.gov ? how-do-i ? about-us

Incorporated on July 6, 1920, Gilbert was once known as the ?Hay Shipping Capital of the World.? It's since transformed into a thriving economically diverse suburban community with a strong economy, competitive schools, and safe neighborhoods.

Best Suburbs Near Phoenix, Arizona Chandler. Population: 257,165. Median Home Value: $285,000. Paradise Valley. Population: 14,502. ... Scottsdale. Population: 255,310. ... Gilbert. Population: 248,279. ... Mesa. Population: 518,012. ... Fountain Hills. Population: 24,987. ... Peoria. Population: 172,259. ... Goodyear. Population: 82,835. ...

The Hay Capital of the World Gilbert was a prime farming community, fueled by the construction of the Roosevelt Dam and the Eastern and Consolidated Canals in 1911. It remained an agriculture town for many years, and was known as the "Hay Capital of the World" until the late 1920s. History | Gilbert, Arizona gilbertaz.gov ? about-us ? history gilbertaz.gov ? about-us ? history

Gilbert is arguably one of the best locations in Arizona to raise a family. As a matter of fact, the city rankings by Niche.com placed it at number 2 in its list of the best places to raise a family in the Phoenix area. Among other scores, it ranked very well in regards to schools (A), housing (B+), and diversity (B).

Gilbert is central to many of Arizona's scenic attractions. Northeast lies the Superstition Mountains, the location of the legendary Lost Dutchman's Gold Mine, as well as the Tonto National Forest which contains scenery ranging from rugged desert to cool pines. About Gilbert discovergilbert.com ? about discovergilbert.com ? about

Gilbert. Gilbert, another of Arizona's richest cities, is located in the southeast part of the Phoenix metropolitan area. Home to an enormous population of roughly 273,000 people, Gilbert is a fast-growing community with plenty to offer.

The Hay Capital of the World Gilbert was a prime farming community, fueled by the construction of the Roosevelt Dam and the Eastern and Consolidated Canals in 1911. It remained an agriculture town for many years, and was known as the "Hay Capital of the World" until the late 1920s.

Gilbert is well known for its Central Trail System that offers 135 miles of enjoyment for outdoor enthusiasts. Along with its equestrian tracks are over 54 miles of marked bike trails where you can ride along the canals and check out a view that hikers around the country could only dream of.

Interesting Questions

Trusted and secure by over 3 million people of the world’s leading companies

Gilbert Arizona Motion for Release of Property from Levy in Attachment Proceeding Due to Excess Amount Attached