Manchester New Hampshire Discovery Interrogatories for Divorce Proceeding for either Plaintiff or Defendant - Another Form

State:
New Hampshire
City:
Manchester
Control #:
NH-021B-D
Format:
Word; 
Rich Text
Instant download

Description

This is a sample form of interrogatories for the Plaintiff in a Divorce action to ask the Defendant. It also includes a request for production of documents. You should only use this form as a guide and delete questions not relevant to your case, as well as add questions you or your client want to ask the Defendant based upon the facts of your case. This form includes the Notice of Service of Interrogatories for filing with the court.
Free preview
  • Preview Discovery Interrogatories for Divorce Proceeding for either Plaintiff or Defendant - Another Form
  • Preview Discovery Interrogatories for Divorce Proceeding for either Plaintiff or Defendant - Another Form
  • Preview Discovery Interrogatories for Divorce Proceeding for either Plaintiff or Defendant - Another Form
  • Preview Discovery Interrogatories for Divorce Proceeding for either Plaintiff or Defendant - Another Form
  • Preview Discovery Interrogatories for Divorce Proceeding for either Plaintiff or Defendant - Another Form
  • Preview Discovery Interrogatories for Divorce Proceeding for either Plaintiff or Defendant - Another Form
  • Preview Discovery Interrogatories for Divorce Proceeding for either Plaintiff or Defendant - Another Form

How to fill out New Hampshire Discovery Interrogatories For Divorce Proceeding For Either Plaintiff Or Defendant - Another Form?

Are you searching for a dependable and budget-friendly provider of legal documents to acquire the Manchester New Hampshire Discovery Interrogatories for Divorce Proceedings for either Plaintiff or Defendant - Another Form? US Legal Forms is your ideal choice.

Whether you require a fundamental arrangement to set guidelines for living with your partner or a collection of papers to progress your separation or divorce through the judicial system, we have you sorted. Our platform offers over 85,000 current legal document templates for personal and business requirements. All templates that we provide access to are not generic and are structured in accordance with the regulations of various states and counties.

To obtain the form, you need to Log In to your account, locate the necessary form, and click the Download button adjacent to it. Please remember that you can download your previously acquired form templates at any time from the My documents section.

Is this your first visit to our platform? No problem. You can create an account in just a few minutes, but before that, ensure to do the following.

Now you can create your account. Then select the subscription plan and move forward to payment. Once the payment is confirmed, download the Manchester New Hampshire Discovery Interrogatories for Divorce Proceedings for either Plaintiff or Defendant - Another Form in any offered file format. You can revisit the website at any time and redownload the form without incurring additional costs.

Finding current legal documents has never been simpler. Give US Legal Forms a go today, and say goodbye to wasting hours on legal paperwork research online for good.

  1. Verify that the Manchester New Hampshire Discovery Interrogatories for Divorce Proceedings for either Plaintiff or Defendant - Another Form adheres to the laws of your state and local jurisdiction.
  2. Review the form’s description (if available) to understand who and what the form is designed for.
  3. Restart the search if the form is not suitable for your particular situation.

Form popularity

FAQ

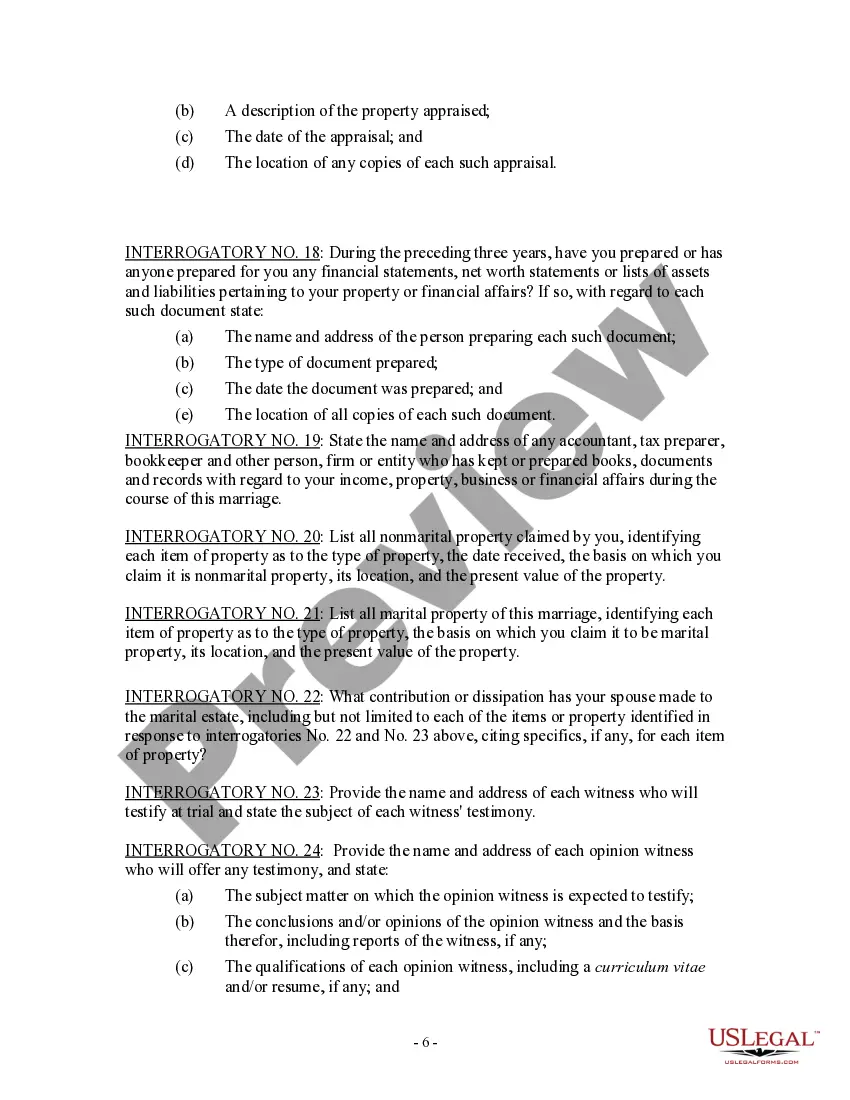
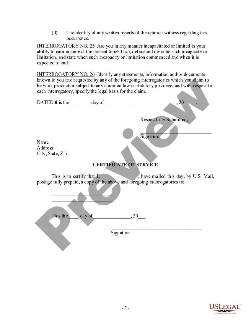
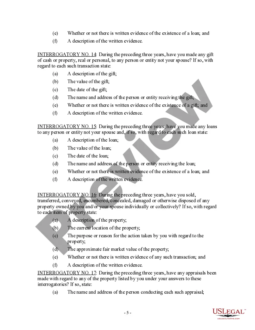
Interrogatory questions in a divorce proceed to obtain vital information regarding various aspects of the marriage and pending divorce proceedings. These can include inquiries about finances, property, and more that significantly affect the divorce outcome. The Manchester New Hampshire Discovery Interrogatories for Divorce Proceeding for either Plaintiff or Defendant - Another Form serve this very purpose, ensuring that both parties have access to necessary details. Using a platform like US Legal Forms can streamline the process, giving you easy access to essential documents.

When crafting interrogatories for a divorce, focus on questions that reveal financial details, assets, and the circumstances surrounding the marriage. You may ask about income sources, property ownership, and any relevant debts. The goal of these Manchester New Hampshire Discovery Interrogatories for Divorce Proceeding for either Plaintiff or Defendant - Another Form is to gather critical information that influences decisions regarding support and asset division. Tailoring your questions to your specific situation can enhance the effectiveness of this tool.

Yes, interrogatories are a form of discovery, which is a legal process for gathering information from the other party. Discovery includes various methods like document requests, depositions, and interrogatories. The Manchester New Hampshire Discovery Interrogatories for Divorce Proceeding for either Plaintiff or Defendant - Another Form specifically focus on written questions that require detailed answers. This method allows both parties to prepare effectively for court.

Interrogatories are written questions that one party sends to another in a divorce case. They are a crucial part of the discovery process, as they help clarify issues and gather information. In a divorce proceeding, these Manchester New Hampshire Discovery Interrogatories for Divorce Proceeding for either Plaintiff or Defendant - Another Form aim to uncover facts that can impact the case's outcome. Utilizing these questions can facilitate a smoother legal process.

Filling out form interrogatories involves carefully responding to the predetermined questions included in the form. Each question is designed to collect specific information relevant to the case. Take your time and ensure that your answers are complete and accurate. With the use of Manchester New Hampshire Discovery Interrogatories for Divorce Proceeding for either Plaintiff or Defendant - Another Form, you can efficiently organize and present your responses.

When answering interrogatories, it is essential to provide clear and truthful responses to each question. Make sure to read each interrogatory carefully and include all relevant information. If necessary, consult legal counsel to ensure you understand what information is required. By properly utilizing Manchester New Hampshire Discovery Interrogatories for Divorce Proceeding for either Plaintiff or Defendant - Another Form, you can enhance your understanding and response accuracy.

Good discovery questions for divorce should aim to uncover pertinent financial and personal information. Common examples include inquiries about bank accounts, investments, and property ownership. These questions provide insight into the couple's financial situation, assisting both parties in reaching a fair settlement. Utilizing Manchester New Hampshire Discovery Interrogatories for Divorce Proceeding for either Plaintiff or Defendant - Another Form can facilitate this exchange of information.

An interrogatory is a formal question that one party sends to another party in a legal case. For example, in the context of a divorce proceeding, an interrogatory might ask a spouse to disclose their income, property assets, or debts. This information is crucial for both plaintiffs and defendants to understand financial standings during the divorce. Using Manchester New Hampshire Discovery Interrogatories for Divorce Proceeding for either Plaintiff or Defendant - Another Form can help streamline this process.

In New Hampshire, special interrogatories, which are a specific type of interrogatory focused on particular issues, generally count towards the overall limit of 30 interrogatories. However, you can request additional special interrogatories if you seek the court’s permission. It's important to craft these questions carefully to extract critical information relevant to your case. For successful navigation of Manchester New Hampshire Discovery Interrogatories for Divorce Proceeding for either Plaintiff or Defendant - Another Form, consider leveraging the tools and templates available on the US Legal platform.

The discovery rule in New Hampshire governs the exchange of information between parties in legal proceedings, including divorce cases. It allows parties to request relevant information through various means, including interrogatories. This process is vital for ensuring transparency and fairness during a divorce proceeding. For Manchester New Hampshire Discovery Interrogatories for Divorce Proceeding for either Plaintiff or Defendant - Another Form, consult platforms like US Legal for comprehensive insights and resources.

Interesting Questions

Trusted and secure by over 3 million people of the world’s leading companies

Manchester New Hampshire Discovery Interrogatories for Divorce Proceeding for either Plaintiff or Defendant - Another Form