Naperville Illinois Discovery Interrogatories from Defendant to Plaintiff with Production Requests

State:
Illinois
City:
Naperville
Control #:
IL-021A-D
Format:
Word; 
Rich Text
Instant download

Description

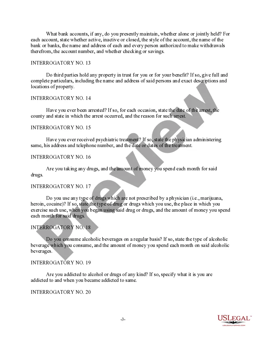
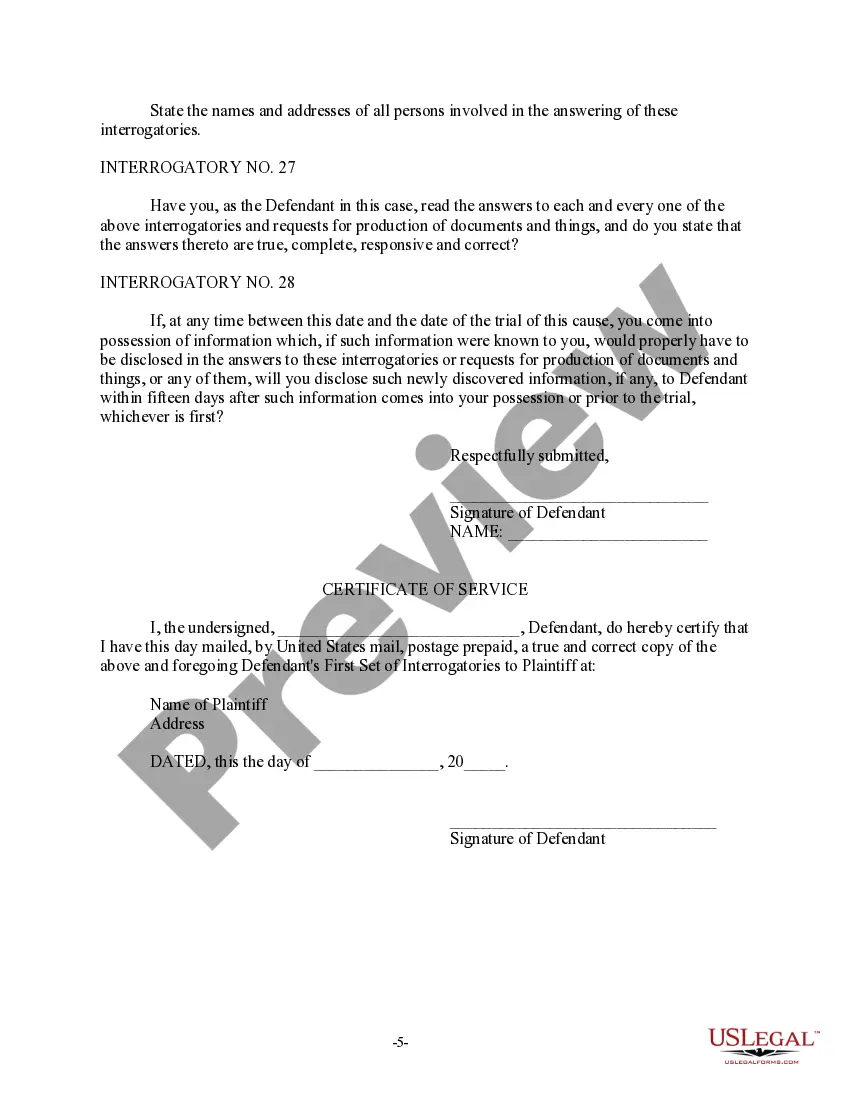
This Discovery Interrogatories from Defendant to Plaintiff with Production Requests is a sample of interrogatories for the Defendant in a Divorce action to ask the Plaintiff. It also includes request for production of documents. You should only use this form as a guide and delete questions not relevant to your case, as well as add questions you or your client wants to ask the Plaintiff based upon the facts of your case. It also includes the separate Notice of Filing of Discovery to be filed with the Court Clerk.
Free preview
  • Preview Discovery Interrogatories from Defendant to Plaintiff with Production Requests
  • Preview Discovery Interrogatories from Defendant to Plaintiff with Production Requests
  • Preview Discovery Interrogatories from Defendant to Plaintiff with Production Requests
  • Preview Discovery Interrogatories from Defendant to Plaintiff with Production Requests
  • Preview Discovery Interrogatories from Defendant to Plaintiff with Production Requests
  • Preview Discovery Interrogatories from Defendant to Plaintiff with Production Requests
  • Preview Discovery Interrogatories from Defendant to Plaintiff with Production Requests

How to fill out Illinois Discovery Interrogatories From Defendant To Plaintiff With Production Requests?

We consistently strive to lessen or evade legal complications when managing intricate legal or financial matters.

To achieve this, we enroll in legal representation solutions that are typically quite expensive.

However, not every legal situation is equally intricate; many can be handled independently.

US Legal Forms is a web-based repository of current DIY legal documents addressing everything from wills and powers of attorney to incorporation articles and dissolution petitions.

Simply Log In to your account and click the Get button next to it.

  1. Our library empowers you to take control of your matters without needing attorney services.
  2. We provide access to legal form templates that are not always publicly accessible.
  3. Our templates are tailored to specific states and regions, significantly simplifying the search process.
  4. Utilize US Legal Forms whenever you need to acquire and download the Naperville Illinois Discovery Interrogatories from Defendant to Plaintiff with Production Requests or any other form with ease and security.

Form popularity

FAQ

Yes, a defendant is required to respond to interrogatories as part of the discovery process. This requirement helps clarify issues and gather necessary information for the case. It’s important to approach Naperville Illinois Discovery Interrogatories from Defendant to Plaintiff with Production Requests with diligence to ensure all questions are addressed appropriately.

Yes, client participation is critical when answering interrogatories. The client provides the detailed information that supports the case, ensuring responses are accurate and complete. Engaging in the process strengthens the reliance on Naperville Illinois Discovery Interrogatories from Defendant to Plaintiff with Production Requests and fosters a collaborative approach to legal challenges.

If the plaintiff suddenly stops responding to inquiries, including interrogatories, this may raise red flags in the case. The defendant can file a motion to compel or request court intervention. Open communication remains vital throughout the process to ensure transparency and compliance with Naperville Illinois Discovery Interrogatories from Defendant to Plaintiff with Production Requests.

If someone fails to answer interrogatories, the opposing party can file a motion to compel compliance. This legal action pushes for a response, and failure to comply can lead to penalties imposed by the court. It's crucial to engage with Naperville Illinois Discovery Interrogatories from Defendant to Plaintiff with Production Requests to avoid unnecessary delays and legal challenges.

A plaintiff may serve interrogatories on a defendant as soon as the defendant has been formally served with the complaint. In Naperville, Illinois, this typically occurs after the defendant has been notified about the legal proceedings. This timing allows both parties to gather information and prepare their cases effectively.

If a plaintiff does not answer interrogatories, it can lead to serious consequences. The court may impose sanctions, such as fines or dismissing the plaintiff's case altogether. Additionally, the defendant can request the court to compel the plaintiff to respond, emphasizing the importance of adhering to Naperville Illinois Discovery Interrogatories from Defendant to Plaintiff with Production Requests.

To respond to a request for production in Illinois, you must first review the request carefully. Ensure you understand each item being requested and identify any documents or evidence in your possession that address those items. It's important to provide relevant information while protecting any privileged material. If you need assistance, consider utilizing the US Legal Forms platform, which offers guidance on navigating Naperville Illinois Discovery Interrogatories from Defendant to Plaintiff with Production Requests.

An interrogatory or request for production may be objectionable if it is overly broad, unduly burdensome, or seeks privileged information. Additionally, if it falls outside the scope of relevant evidence in the context of Naperville Illinois Discovery Interrogatories from Defendant to Plaintiff with Production Requests, a party may object. Understanding these grounds helps both parties manage expectations and ensure compliance with court rules.

Filling out an interrogatories form involves carefully reading each question and providing truthful and detailed responses. In the scenario of Naperville Illinois Discovery Interrogatories from Defendant to Plaintiff with Production Requests, clarity and completeness are key. If you need guidance or templates, resources like uslegalforms provide essential support to help you navigate this process effectively.

Interrogatories involve written questions that a party must answer under oath, while a request for production focuses on obtaining documents and materials relevant to a case. Both are integral parts of the discovery process, especially in the context of Naperville Illinois Discovery Interrogatories from Defendant to Plaintiff with Production Requests. They serve different functions, but together they help create a clearer picture of the case for both sides.

Interesting Questions

Trusted and secure by over 3 million people of the world’s leading companies

Naperville Illinois Discovery Interrogatories from Defendant to Plaintiff with Production Requests