Virgin Islands Agency Agreement with Agent for Owner of Real Estate Development Project

Category:
State:
Multi-State
Control #:
US-1340736BG
Format:
Word; 
Rich Text
Instant download

Description

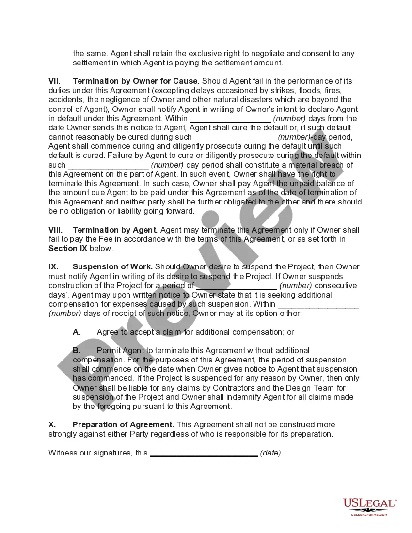
This form is an agency agreement with an agent for an owner of a real estate development project.
Free preview
  • Preview Agency Agreement with Agent for Owner of Real Estate Development Project
  • Preview Agency Agreement with Agent for Owner of Real Estate Development Project
  • Preview Agency Agreement with Agent for Owner of Real Estate Development Project
  • Preview Agency Agreement with Agent for Owner of Real Estate Development Project
  • Preview Agency Agreement with Agent for Owner of Real Estate Development Project
  • Preview Agency Agreement with Agent for Owner of Real Estate Development Project
  • Preview Agency Agreement with Agent for Owner of Real Estate Development Project
  • Preview Agency Agreement with Agent for Owner of Real Estate Development Project
  • Preview Agency Agreement with Agent for Owner of Real Estate Development Project
  • Preview Agency Agreement with Agent for Owner of Real Estate Development Project

How to fill out Agency Agreement With Agent For Owner Of Real Estate Development Project?

Selecting the optimal legal document template can be a challenge. Naturally, there are numerous templates available online, but how do you locate the legal form you require.

Utilize the US Legal Forms website. This service offers a plethora of templates, including the Virgin Islands Agency Agreement with Agent for Owner of Real Estate Development Project, suitable for both business and personal purposes. All forms are reviewed by professionals and fulfill state and federal regulations.

If you are already registered, Log In to your account and click the Download button to access the Virgin Islands Agency Agreement with Agent for Owner of Real Estate Development Project. Use your account to browse the legal forms you have previously ordered. Visit the My documents section of your account to obtain another copy of the document you need.

US Legal Forms is the largest repository of legal documents where you can find various record templates. Utilize the service to acquire professionally crafted papers that comply with state regulations.

  1. First, ensure you have selected the correct form for your locality/county. You can preview the form using the Review button and read the form summary to verify it is appropriate for you.
  2. If the form does not meet your specifications, utilize the Search field to find the correct template.
  3. Once you are confident that the form is accurate, click the Get now button to retrieve the document.
  4. Select the payment plan you prefer and provide the necessary information. Create your account and complete the transaction using your PayPal account or credit card.
  5. Choose the file format and download the legal document template to your device.
  6. Complete, edit, print, and sign the acquired Virgin Islands Agency Agreement with Agent for Owner of Real Estate Development Project.

Form popularity

FAQ

A development contract is a binding agreement that involves the developer company and the client company. It binds them to adhere to the contract requirement. Ina nutshell, the developer and the client each has a role to play for a successful business contract as stated in the signed agreement.

What Should Be in a Construction Contract?Identifying/Contact Information.Title and Description of the Project.Projected Timeline and Completion Date.Cost Estimate and Payment Schedule.Stop-Work Clause and Stop-Payment Clause.Act of God Clause.Change Order Agreement.Warranty.More items...

Development agreements are contracts approved by the Planning Commission and Board of Supervisors entered into by the City and a developer to expressly define a development project's rules, regulations, commitments, and policies for a specific period of time.

If the landowner gives his land to the developer and after a while in return gets a constructed property, then in such a case the landowner will be liable to pay GST on landowners share. And GST on flats given to landowner, the GST rate on such transfer is 18%.

B101- 2017 Standard Form of Agreement Between Owner and Architect. AIA Document B10121222017 is a one-part standard form of agreement between owner and architect for building design and construction contract administration. Services are divided into basic, supplemental and additional services.

Related Definitions Disposition and Development Agreement (DDA) means an agreement that sets forth requirements for the sale, lease, exchange acquisition, or disposal of real property owned by the Agency, where a specific type of project is developed.

The builders shall indemnify the owner in respect of all claims, damages or expenses payable in consequence to any injury to any employee, workman, nominee, invitee while in or upon the said premises.

What is a joint development agreement (JDA)? A JDA is a legal contract that allows land owners and developers to come together, for the purpose of developing land. At present, JDA is a common form of property development in India across sectors.

A development agreement is a legally binding contract between a property owner or developer and a local government, often including terms not otherwise required through existing regulations.

In broad terms, a development agreement is a document that regulates the relationship between property developers, funding institutions and tenants. There are various types of development agreements and the choice of which type to use will depend upon the nature and complexity of the particular transaction.

Trusted and secure by over 3 million people of the world’s leading companies

Virgin Islands Agency Agreement with Agent for Owner of Real Estate Development Project