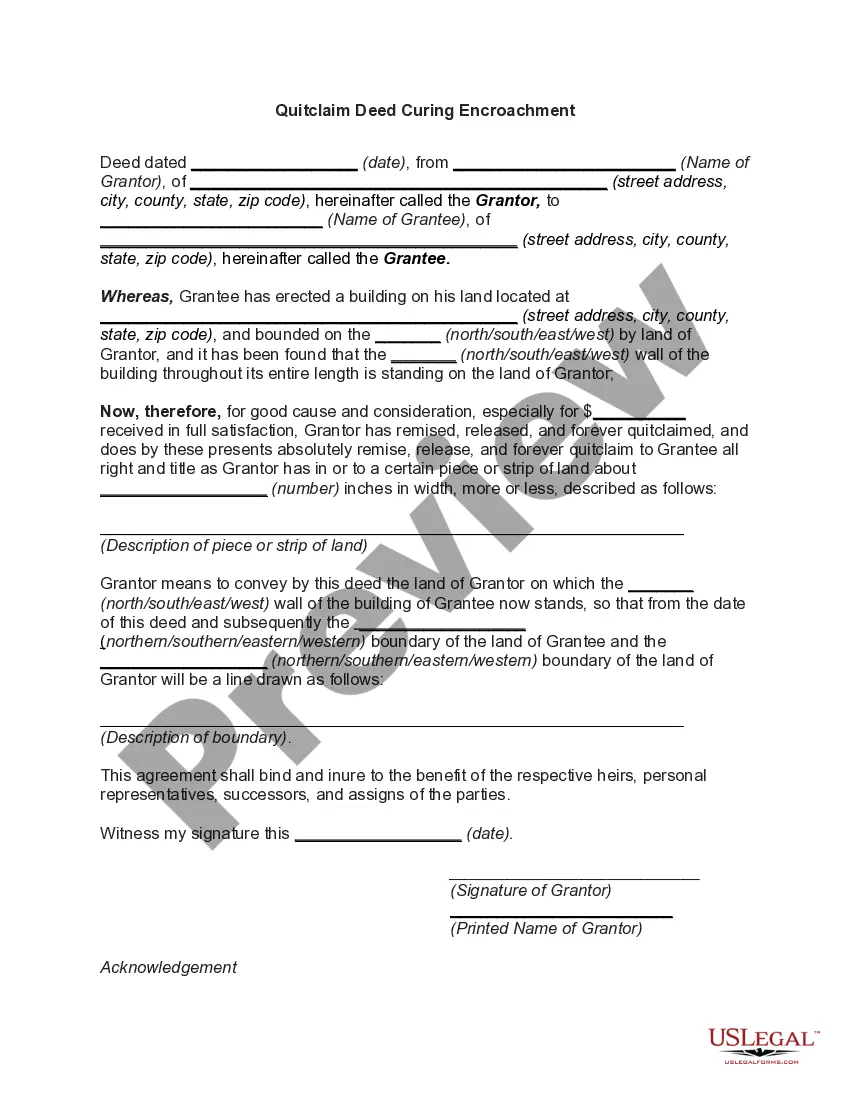
An encroachment involves a situation where a property owner violates the property rights of his neighbor by building something on the neighbor's land or by allowing something to hang over onto the neighbor's property. Encroachment can be a problem along property lines when a property owner is not aware of his property boundaries or intentionally chooses to violate his neighbor's boundaries.
This form is a generic example that may be referred to when preparing such a form for your particular state. It is for illustrative purposes only. Local laws should be consulted to determine any specific requirements for such a form in a particular jurisdiction.






