• US Legal Forms

Rhode Island Certificate of Notice of Right to Challenge Subpoena

State:
Rhode Island
Control #:
RI-MC-131-13
Format:
PDF
Instant download
This form is available by subscription

Description

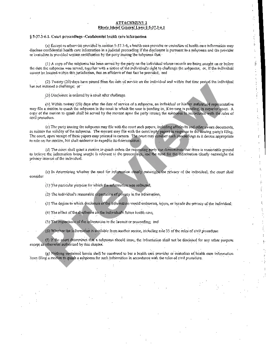
A13 Certificate of Notice of Right to Challenge Subpoena
Free preview
  • Preview A13 Certificate of Notice of Right to Challenge Subpoena
  • Preview A13 Certificate of Notice of Right to Challenge Subpoena
  • Preview A13 Certificate of Notice of Right to Challenge Subpoena
  • Preview A13 Certificate of Notice of Right to Challenge Subpoena
  • Preview A13 Certificate of Notice of Right to Challenge Subpoena
  • Preview A13 Certificate of Notice of Right to Challenge Subpoena

How to fill out Rhode Island Certificate Of Notice Of Right To Challenge Subpoena?

Among hundreds of paid and free samples that you can find on the net, you can't be certain about their accuracy and reliability. For example, who made them or if they are skilled enough to deal with what you require these to. Keep relaxed and use US Legal Forms! Discover Rhode Island Certificate of Notice of Right to Challenge Subpoena samples created by skilled attorneys and prevent the costly and time-consuming process of looking for an lawyer or attorney and then paying them to write a document for you that you can find yourself.

If you have a subscription, log in to your account and find the Download button next to the form you are looking for. You'll also be able to access your earlier saved examples in the My Forms menu.

If you’re making use of our service the very first time, follow the guidelines listed below to get your Rhode Island Certificate of Notice of Right to Challenge Subpoena easily:

  1. Ensure that the file you discover is valid in your state.
  2. Look at the file by reading the description for using the Preview function.
  3. Click Buy Now to begin the ordering procedure or look for another sample using the Search field in the header.
  4. Choose a pricing plan and create an account.
  5. Pay for the subscription using your credit/debit/debit/credit card or Paypal.
  6. Download the form in the required file format.

Once you have signed up and paid for your subscription, you may use your Rhode Island Certificate of Notice of Right to Challenge Subpoena as often as you need or for as long as it stays active where you live. Edit it in your favored offline or online editor, fill it out, sign it, and print it. Do far more for less with US Legal Forms!

Form popularity

Trusted and secure by over 3 million people of the world’s leading companies

Rhode Island Certificate of Notice of Right to Challenge Subpoena