Rhode Island No-Fault Agreed Uncontested Divorce Package for Dissolution of Marriage for Persons with No Children with or without Property and Debts
Divorce - State Law Summary - Rhode Island
Notes: This section contains selected divorce statutes from Rhode Island. Some may not be relevant to your case but are presented here as a general overview. The selected statutes and portions of statutes set out below are not intended to be an all-inclusive statement of all statutes but it does contain basic and some other statutes.
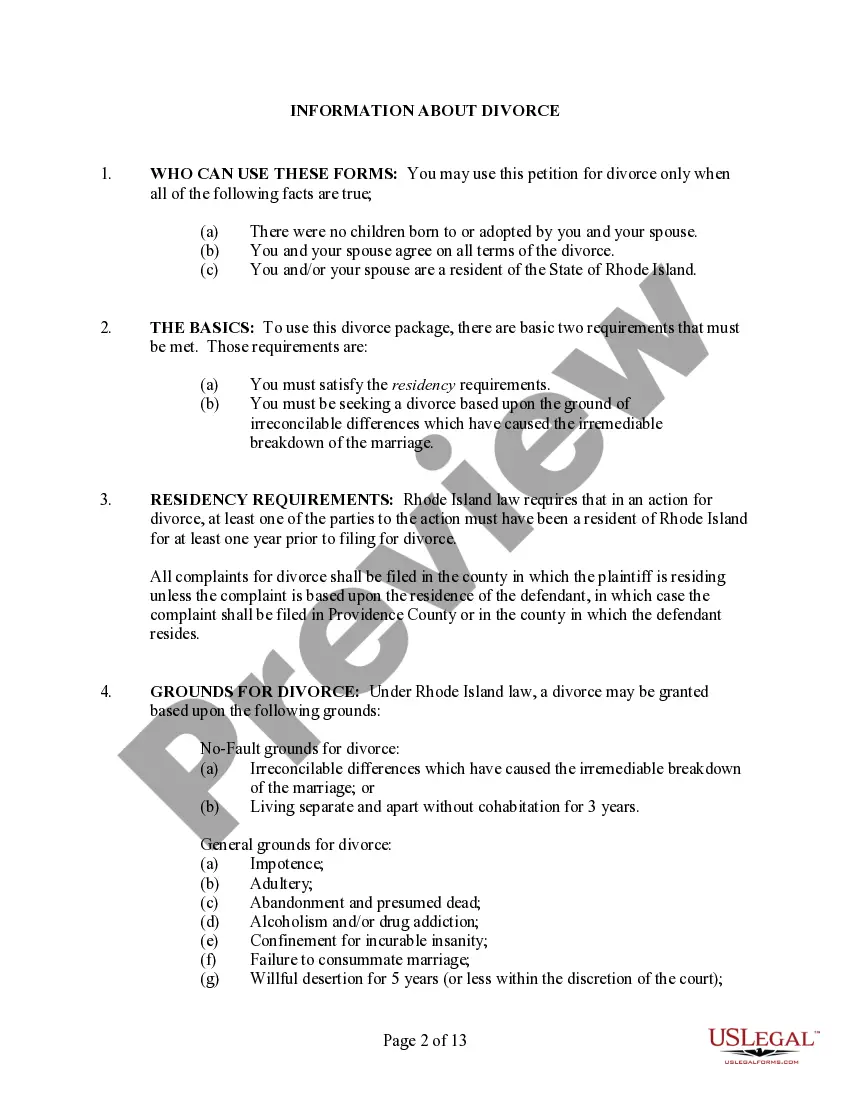
Grounds for Divorce
The Rhode Island Code 15-5-1, 15-5-2, and 15-5-3.1 describe the permissable grounds for divorce in Rhode Island are as follows:
(1) Civil death or presumption of death;
(2) Impotency;
(3) Adultery;
(4) Extreme cruelty;
(5) Willful desertion for five (5) years of either of the parties, or for willful desertion for a shorter period of time in the discretion of the court;
(6) For continued drunkenness;
(7) For the habitual, excessive, and intemperate use of opium, morphine, or chloral;
(8) For neglect and refusal, for the period of at least one year next before the filing of the petition, on the part of the husband to provide necessaries for the subsistence of his wife, the husband being of sufficient ability; and
(9) For any other gross misbehavior and wickedness, in either of the parties, repugnant to and in violation of the marriage covenant.
(10) Irreconcilable differences (No-Fault)
Domicile and residence requirements
No complaint for divorce from the bond of marriage shall be granted unless the plaintiff has been a domiciled inhabitant of this state and has resided in Rhode Island for a period of one year next before the filing of the complaint; provided, that if the defendant has been a domiciled inhabitant of this state and has resided in this state for the period of one year next before the filing of the complaint, and is actually served with process, the previous requirement as to domicile and residence on the part of the plaintiff is deemed to have been satisfied and fulfilled; provided, the residence and domicile of any person immediately prior to the commencement of his or her active service as a member of the armed forces or of the merchant marine of the United States, or immediately prior to his or her absence from the state in the performance of services in connection with military operations ... shall, for the purposes of this section, continue to be his or her residence and domicile during the time of his or her service and for a period of thirty (30) days thereafter. Testimony to prove domicile and residence may be received through the ex parte affidavit of one witness. 15-5-12
Venue
All complaints for divorce from the bond of marriage and from bed and board and complaints for relief without commencement of divorce proceedings shall be filed in the county in which the plaintiff is residing unless the complaint is based upon the residence of the defendant, in which case the complaint shall be filed in Providence County or in the county in which the defendant resides. 15-5-13
Return day of petitions - Notice - Issuance of process - Time of hearing
(a) The court may by general rule determine the return day of petitions for divorce and prescribe the notice to be given, within or without the state, on all petitions, and may issue the process that may be necessary to carry into effect all powers conferred upon it in relation to the petitions; and the court may also, by general rule, fix the times, during its session, when all petitions for divorce are heard, as they may be filed in Providence, Newport, East Greenwich, or South Kingstown, respectively. These general rules are subject to special orders which the court may make in special cases. Until general rules are made, special order in each case shall be made.
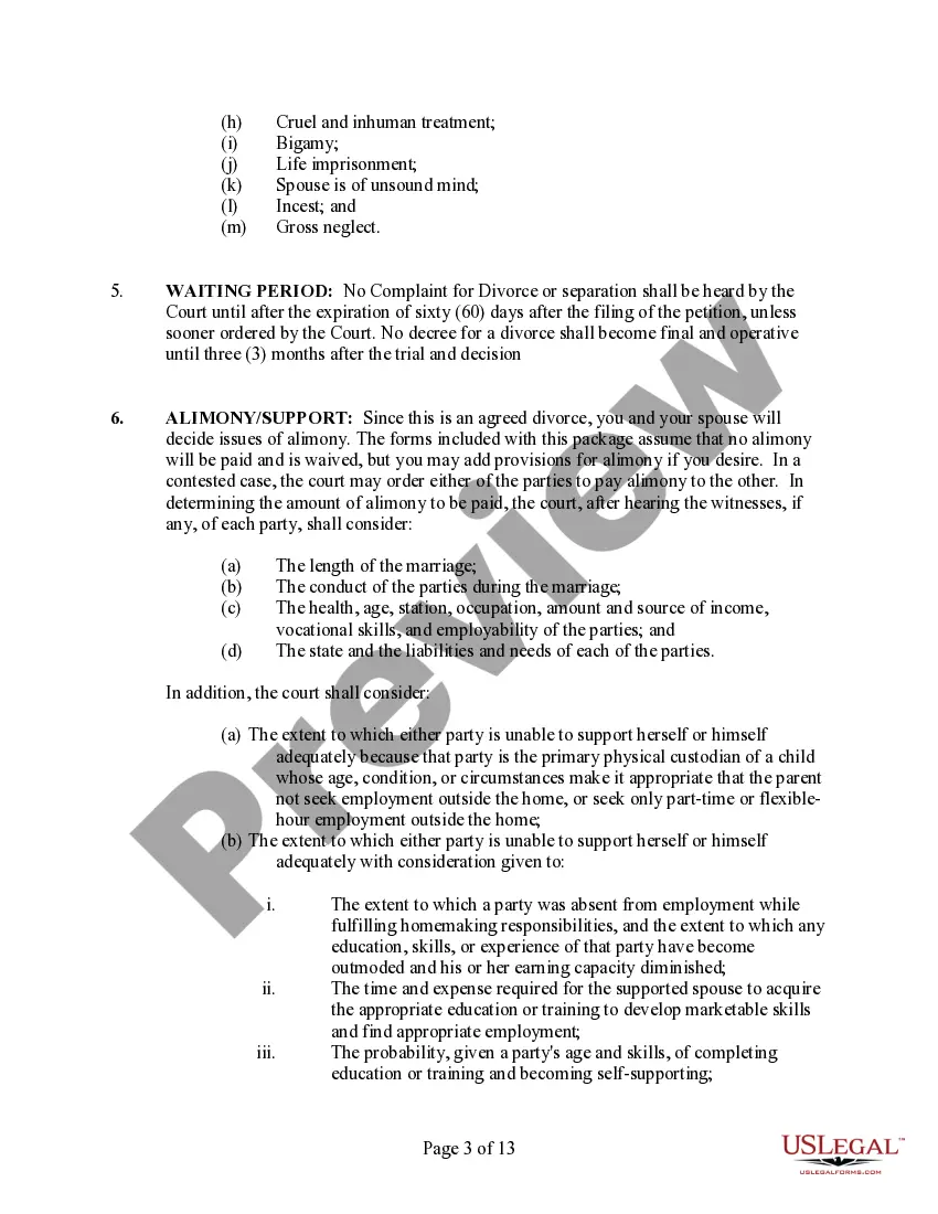
(b) Notwithstanding subsection (a), no petition for divorce or separation shall be in order for hearing until after the expiration of sixty (60) days after the filing of the petition, unless sooner ordered, ex parte, by a justice of the family court. During this period the family counselling service may investigate the circumstances at the discretion of the court, or at the request of either party, counsel the parties, and make recommendations to the court and the parties. 15-5-14
Alimony and counsel fees - Custody of children.
In granting any petition for divorce, divorce from bed and board, or relief without the commencement of divorce proceedings, the family court may order either of the parties to pay alimony or counsel fees or both to the other.
In determining the amount of alimony or counsel fees, if any, to be paid, the court after hearing the witnesses, if any, of each party, shall consider:
(i) The length of the marriage;
(ii) The conduct of the parties during the marriage;
(iii) The health, age, station, occupation, amount and source of income, vocational skills, and employability of the parties; and
(iv) The state and the liabilities and needs of each of the parties.
In addition, the court shall consider:
(i) The extent to which either party is unable to support herself or himself
adequately because that party is the primary physical custodian of a child
whose age, condition, or circumstances make it appropriate that the parent
not seek employment outside the home, or seek only part-time or flexible-
hour employment outside the home;
(ii) The extent to which either party is unable to support herself or himself
adequately with consideration given to:
(A) The extent to which a party was absent from employment while fulfilling
homemaking responsibilities, and the extent to which any education,
skills, or experience of that party have become outmoded and his or her
earning capacity diminished;
(B) The time and expense required for the supported spouse to acquire the
appropriate education or training to develop marketable skills and find
appropriate employment;
(C) The probability, given a party's age and skills, of completing
education or training and becoming self-supporting;
(D) The standard of living during the marriage;
(E) The opportunity of either party for future acquisition of capital
assets and income;
(F) The ability to pay of the supporting spouse, taking into account the
supporting spouse's earning capacity, earned and unearned income,
assets, debts, and standard of living;
(G) Any other factor which the court expressly finds to be just and proper.
For the purposes of this section, alimony is construed as payments for the
support or maintenance of either the husband or the wife. Alimony is designed
to provide support for a spouse for a reasonable length of time to enable the
recipient to become financially independent and self-sufficient. The court may
award alimony for an indefinite period of time when it is appropriate in the
discretion of the court...
In regulating the custody of the children the court shall provide for the reasonable right of visitation by the natural parent not having custody of the children except upon the showing of cause why the right should not be granted. The court shall mandate compliance with its order by both the custodial parent and the children.
Assignment of property
In addition to or in lieu of an order to pay spousal support made pursuant to a complaint for divorce, the court may assign to either the husband or wife a portion of the estate of the other. In determining the nature and value of the property, if any, to be assigned, the court after hearing the witnesses, if any, of each party shall consider the following:
(1) The length of the marriage;
(2) The conduct of the parties during the marriage;
(3) The contribution of each of the parties during the marriage in the
acquisition, preservation, or appreciation in value of their respective
estates;
(4) The contribution and services of either party as a homemaker;
(5) The health and age of the parties;
(6) The amount and sources of income of each of the parties;
(7) The occupation and employability of each of the parties;
(8) The opportunity of each party for future acquisition of capital assets and
income;
(9) The contribution by one party to the education, training, licensure,
business, or increased earning power of the other;
(10) The need of the custodial parent to occupy or own the marital residence and
to use or own its household effects, taking into account the best interests
of the children of the marriage;
(11) Either party's wasteful dissipation of assets or any transfer or encumbrance
of assets made in contemplation of divorce without fair consideration; and
(12) Any factor which the court shall expressly find to be just and proper.
15-5-16.1
Child support
In a proceeding for divorce, divorce from bed and board, a miscellaneous petition without the filing of divorce proceedings, or child support, the court shall order either or both parents owing a duty of support to a child to pay an amount based upon a formula and guidelines adopted by an administrative order of the family court. If, after calculating support based upon court established formula and guidelines, the court, in its discretion, finds the order would be inequitable to the child or either parent, the court shall make findings of fact and shall order either or both parents owing a duty of support to pay an amount reasonable or necessary for the child's support after considering all relevant factors including, but not limited to:
(1) The financial resources of the child;
(2) The financial resources of the custodial parent;
(3) The standard of living the child would have enjoyed had the marriage not
been dissolved;
(4) The physical and emotional condition of the child and his or her educational
needs; and
(5) The financial resources and needs of the non-custodial parent.
The court may, if in its discretion it deems it necessary or advisable, order child support and education costs for children attending high school at the time of their eighteenth (18th) birthday and for ninety (90) days after graduation, but in no case beyond their nineteenth (19th) birthday. In addition, the court may order child support to continue, in the case of a child with a severe physical or mental impairment, until the twenty-first (21st) birthday of the child. 15-5-16.2
Change of name
Any woman, to whom a divorce from the bond of marriage is decreed, shall, upon request, be authorized by the decree to change her name, notwithstanding that there may be children born of the marriage, and subject to the same rights and liabilities as if her name had not been changed. This statute is in addition to, and not in abrogation of, the common law.