The Renovation Contract for Contractor is a legal document that outlines the terms and conditions between a renovation contractor and a property owner. It formalizes the agreement for work to be performed on a property, whether under a cost-plus or fixed fee arrangement. This contract also covers areas such as permits, insurance, changes to the scope of work, and warranties, ensuring both parties clearly understand their rights and responsibilities throughout the renovation process. It is specifically tailored to comply with the laws of the State of Ohio, making it distinct from other general construction contracts.
This form should be used when property owners engage a renovation contractor to perform significant work on their property. It provides a clear framework for managing the renovation process, including payment arrangements, expectations regarding changes during the project, and the allocation of risks related to soil conditions and property boundaries. Whenever contractors and property owners need to establish a formal agreement to ensure a mutual understanding of the project scope and prevent disputes, this contract is essential.
This form does not typically require notarization unless specified by local law.
Our built-in tools help you complete, sign, share, and store your documents in one place.
Make edits, fill in missing information, and update formatting in US Legal Forms—just like you would in MS Word.
Download a copy, print it, send it by email, or mail it via USPS—whatever works best for your next step.
Sign and collect signatures with our SignNow integration. Send to multiple recipients, set reminders, and more. Go Premium to unlock E-Sign.
If this form requires notarization, complete it online through a secure video call—no need to meet a notary in person or wait for an appointment.
We protect your documents and personal data by following strict security and privacy standards.

Make edits, fill in missing information, and update formatting in US Legal Forms—just like you would in MS Word.

Download a copy, print it, send it by email, or mail it via USPS—whatever works best for your next step.

Sign and collect signatures with our SignNow integration. Send to multiple recipients, set reminders, and more. Go Premium to unlock E-Sign.

If this form requires notarization, complete it online through a secure video call—no need to meet a notary in person or wait for an appointment.

We protect your documents and personal data by following strict security and privacy standards.
Identify the parties involved in the contract. Determine the terms and conditions you want to include in your contract. Write a draft using all the details you have gathered. Ask opinion from people in the same line of business. Review and make changes to your work.
Check Contract Basics. The basic job of a contractor agreement is to spell out the scope of the project's work. Set a Payment Schedule. Schedule Start and End Dates. Specify Change Orders. Research Your Arbitration Options. Turn Down the Contractor's Warranty.
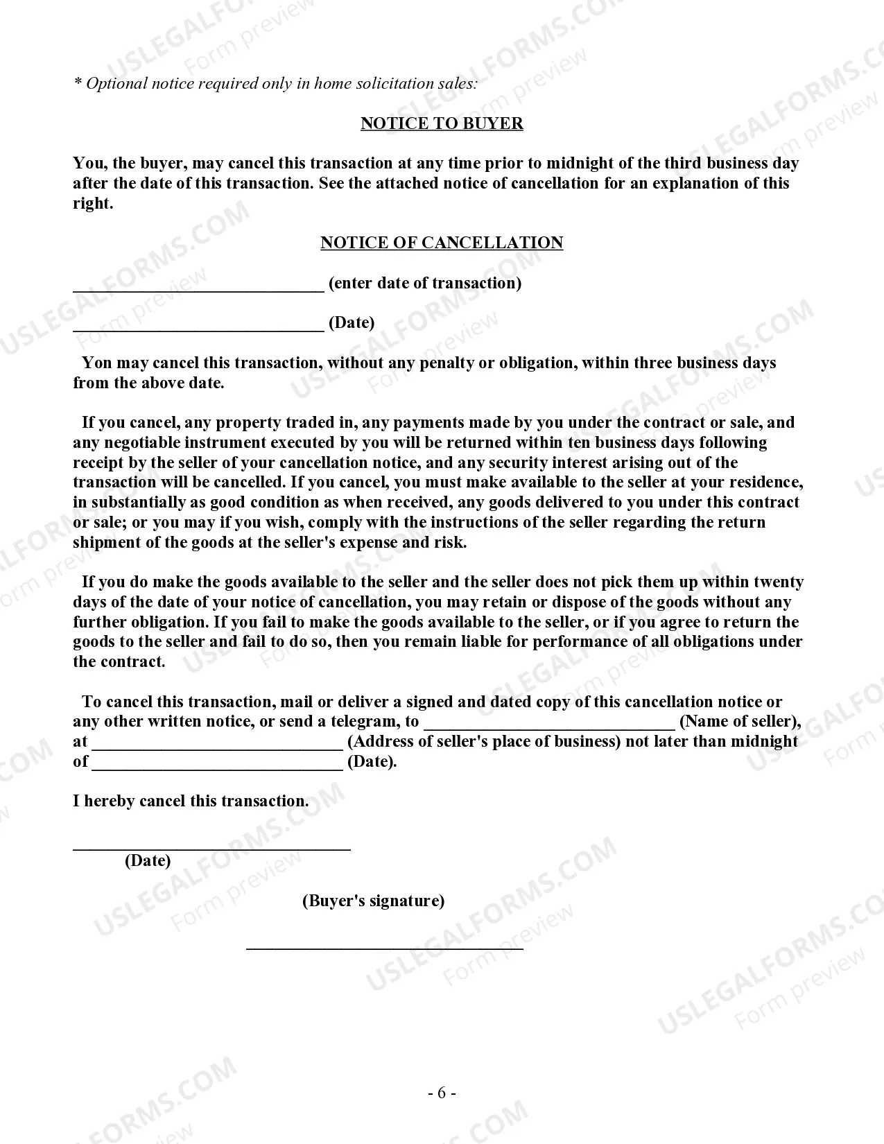
Detailed Description of the Job. How Payments Will Be Made. Start and End Dates of the Project. How Changes to the Project Will Be Dealt With. Lien Waivers. Written Notice of Your Right to Cancel Without Penalty. Warranty. Signatures.
Unless there are custom or specialty orders for materials, the contractor cannot ask for more than 10% upfront before work starts.
Scope of Work, Selection Sheet and Drawings. License Number and Insurance. Description of Change Orders. Warranty information. Subcontractor Agreements. Payment schedule. Completion Schedule / Timeline. Clauses Required by Law.
You shouldn't pay more than 10 percent of the estimated contract price upfront, according to the Contractors State License Board.
Identifying/Contact Information. Title and Description of the Project. Projected Timeline and Completion Date. Cost Estimate and Payment Schedule. Stop Work Clause and Stop Payment Clause. Act of God Clause. Change Order Agreement. Warranty.
Define and describe the project in detail. Include what materials must be used; be as specific as possible. Include weight, brand name and other identifying features. Specify the work being performed and all equipment being used or installed.