New Hampshire Temporary Pastor Agreement

State:
Multi-State
Control #:
US-04507BG
Format:
Word; 
Rich Text
Instant download

Description

Temporary pastoral relationships are approved by the presbytery and do not carry a formal call or installation. Interim ministers could be defined as those who help a church sustain its ministries whereby the pastor agrees to provide pastoral services for a short term.

Free preview
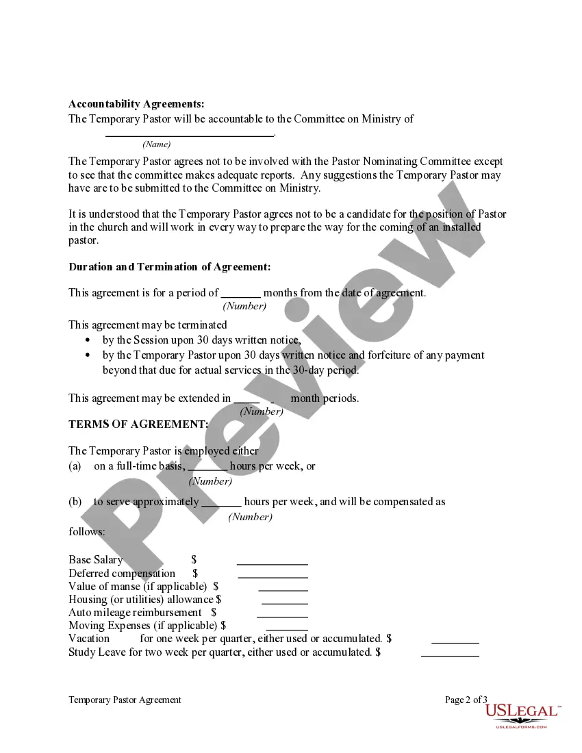
  • Preview Temporary Pastor Agreement
  • Preview Temporary Pastor Agreement
  • Preview Temporary Pastor Agreement

How to fill out Temporary Pastor Agreement?

Locating the appropriate legal document template may be challenging. Naturally, there are numerous online templates available, but how can you identify the legal form you need? Visit the US Legal Forms website. This service offers a wide array of templates, including the New Hampshire Temporary Pastor Agreement, which you can utilize for both business and personal purposes. All forms are reviewed by experts and comply with federal and state regulations.

If you are already registered, Log In to your account and hit the Download button to obtain the New Hampshire Temporary Pastor Agreement. Use your account to review the legal forms you have previously acquired. Navigate to the My documents section of your account to download another copy of the document you need.

For those who are new users of US Legal Forms, here are some straightforward steps to follow: First, ensure you have selected the correct form for your city/state. You can review the form using the Preview button and read the form description to confirm it is the right one for you. If the form does not satisfy your needs, use the Search section to find the correct form. Once you are confident that the form is suitable, click on the Download now button to obtain the form. Choose the payment plan you prefer and input the necessary information. Create your account and finalize the payment using your PayPal account or credit card.

  1. Select the document format and download the legal document template to your device.
  2. Complete, modify, print, and sign the received New Hampshire Temporary Pastor Agreement.
  3. US Legal Forms is the leading repository of legal forms offering a variety of document templates.
  4. Utilize the service to obtain professionally drafted documents that comply with state requirements.

Form popularity

FAQ

To get pastor credentials, start by researching the requirements set forth by your denomination or church. Many institutions offer credentialing programs that involve educational courses and mentorship. Once you meet the criteria, you can often apply for recognition. If you plan to enter into a New Hampshire Temporary Pastor Agreement, having these credentials will not only provide you with legitimacy but also foster confidence among your congregation in your leadership.

While some communities may allow individuals to serve without formal credentials, most churches and denominations require them for recognition and trust. Having credentials establishes your commitment and readiness to lead others in spiritual matters. If you are considering a position that involves a New Hampshire Temporary Pastor Agreement, securing your credentials may be necessary to enhance your effectiveness as a pastor. This ensures you uphold the values and responsibilities of the role.

To obtain your pastor credentials, you typically need to complete a formal educational program and demonstrate a commitment to your faith and community. Many denominations have specific requirements, so it's important to research your options. Once you meet these qualifications, you may be issued credentials and can start fulfilling roles outlined in documents such as a New Hampshire Temporary Pastor Agreement. This agreement can help you formalize your position within a church setting.

The time it takes to obtain a pastoral degree varies based on the program and institution you choose. Generally, a bachelor's degree in theology or ministry takes about four years, while a master's degree may take an additional two to three years. Keep in mind that many pastors opt for non-traditional routes to serve, which can lead to agreements such as a New Hampshire Temporary Pastor Agreement to practice your ministry sooner. Your education can be a valuable asset in fulfilling your pastoral duties.

You can call yourself a pastor when you fulfill the roles and responsibilities associated with the position. It is important to have a calling and commitment to serve your congregation. Additionally, many churches require a formal agreement, like a New Hampshire Temporary Pastor Agreement, to outline your duties and expectations. This ensures that both you and the congregation understand the role you play in their spiritual journey.

Forming a pastor search committee involves selecting members of the congregation who represent diverse perspectives and experiences. This group should establish clear goals and a timeline for the search process. Utilizing resources like the New Hampshire Temporary Pastor Agreement can guide this committee in their responsibilities and help ensure a smooth search.

The key difference lies in the focus of their roles. Transitional pastors focus on significant changes and preparing the church for the future, while interim pastors maintain stability during the search process for a new leader. A New Hampshire Temporary Pastor Agreement is essential for defining the scope and purpose of each role.

A transitional pastor is someone who guides a church through significant changes. This role often involves listening to the congregation, implementing strategies for improvement, and preparing for a new leader. The New Hampshire Temporary Pastor Agreement can formalize the responsibilities and duration of this pivotal role.

While both interim and transitional pastors serve temporary roles, an interim pastor typically focuses on maintaining the church’s day-to-day operations. Conversely, a transitional pastor often initiates changes in church practices and culture to prepare for a new long-term pastor. Understanding these differences can facilitate better planning using a New Hampshire Temporary Pastor Agreement.

A designated term pastor is appointed for a specific period to serve a church after an interim pastor. This role typically bridges the time until a permanent pastor is selected. Utilizing a New Hampshire Temporary Pastor Agreement clarifies the duration and responsibilities associated with this role.

Trusted and secure by over 3 million people of the world’s leading companies

New Hampshire Temporary Pastor Agreement