New Hampshire Collaboration Agreement Between Writers

State:
Multi-State
Control #:
US-00655BG
Format:
Word; 
Rich Text
Instant download

This form is part of a form package!

Get all related documents in one bundle, so you don’t have to search separately.

Description

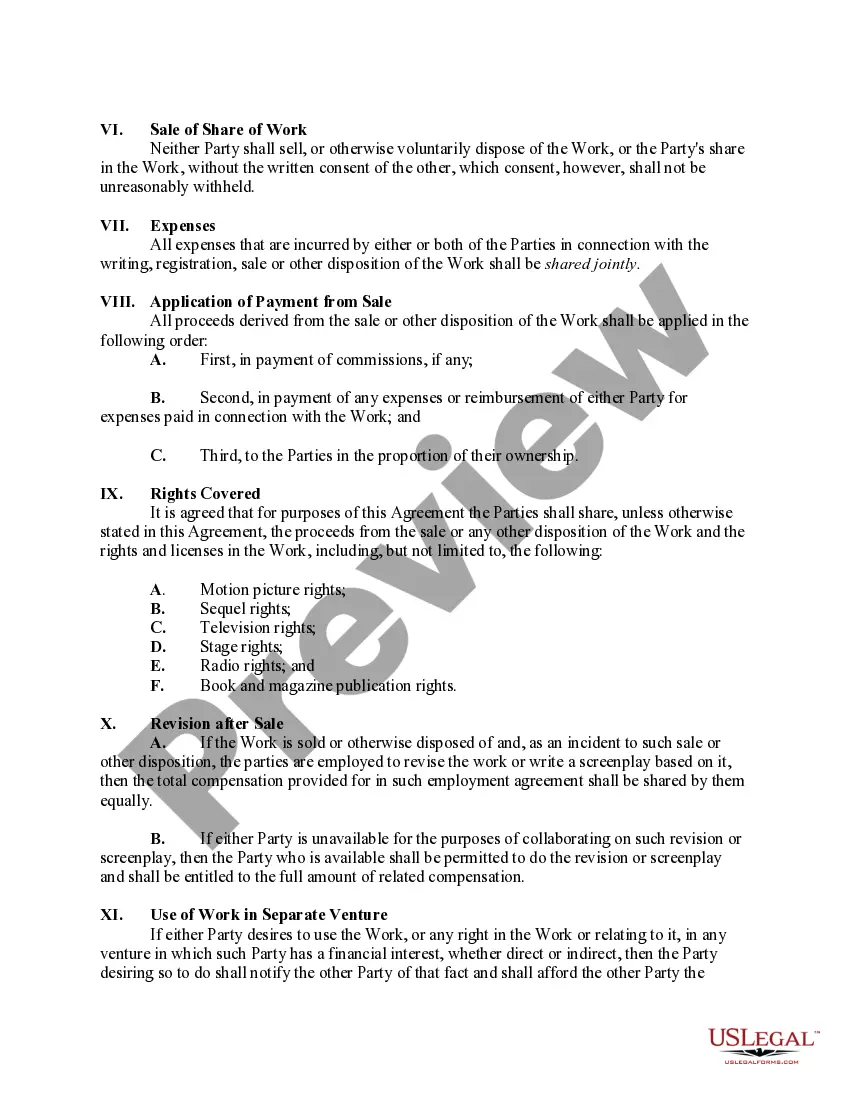
This form is a collaboration agreement between two authors to share profits and expenses equally regarding the novel, book, or screenplay, etc. that they are writing together.
Free preview
  • Preview Collaboration Agreement Between Writers
  • Preview Collaboration Agreement Between Writers
  • Preview Collaboration Agreement Between Writers

How to fill out Collaboration Agreement Between Writers?

US Legal Forms - one of the largest collections of legal documents in the United States - offers an extensive assortment of legal form templates that you can download or print.

By using the website, you can access thousands of forms for business and personal purposes, organized by categories, states, or keywords.

You can find the latest versions of forms such as the New Hampshire Collaboration Agreement Between Writers in a matter of minutes.

Examine the form overview to ensure you have chosen the right one.

If the form doesn’t fit your requirements, use the Search bar at the top of the screen to find one that does.

  1. If you have an account, Log In and download the New Hampshire Collaboration Agreement Between Writers from the US Legal Forms library.
  2. The Download button will appear on each form you view.
  3. You can access all previously saved forms in the My documents section of your account.
  4. If you are using US Legal Forms for the first time, here are simple instructions to get started.
  5. Make sure you have selected the correct form for your city/county.
  6. Click the Review button to check the form's details.

Form popularity

FAQ

Your LLC may not be in good standing in New Hampshire due to unpaid fees, missing filings, or failure to comply with state regulations. To resolve this issue, you should check your business status on the Secretary of State's website. Once you address any outstanding matters, like ensuring your New Hampshire Collaboration Agreement Between Writers is properly documented, your good standing can be restored.

A partnership agreement typically governs a long-term business relationship, sharing profits and responsibilities among partners. In contrast, a collaboration agreement, such as the New Hampshire Collaboration Agreement Between Writers, is more focused on specific projects or goals and outlines the contributions of each party. Understanding these differences is vital for developing appropriate contractual relationships.

The New Hampshire Secretary of State oversees business filings, maintains public records, and ensures compliance with state laws. This office plays a crucial role in validating documents like the New Hampshire Collaboration Agreement Between Writers. They facilitate the registration of businesses, ensuring a smooth process for entrepreneurs.

In New Hampshire, you can obtain a certificate of good standing by contacting the Secretary of State. This certificate confirms that your business is compliant with all state regulations. If you have filed documents like the New Hampshire Collaboration Agreement Between Writers correctly, this document will help enhance your business credibility.

To obtain a certificate of good standing in New Hampshire, you need to request it from the Secretary of State's office. This document verifies that your business is in compliance with state requirements. You can apply online or through mail by providing your business details, ensuring that your New Hampshire Collaboration Agreement Between Writers is properly filed.

NH Quickstart is a streamlined platform that helps new businesses launch in New Hampshire. It simplifies the process of filing essential documents, including the New Hampshire Collaboration Agreement Between Writers. This service reduces confusion and ensures that all necessary paperwork is completed correctly.

A New Hampshire Collaboration Agreement Between Writers should clearly outline the contributions and roles of each writer involved in the project. It is essential to define how revenue will be shared, establish deadlines, and specify ownership rights to the work produced. Additionally, including a dispute resolution process can help avoid conflicts in the future. Using a reliable platform like uslegalforms can help you create a comprehensive agreement that addresses these crucial aspects.

The four common types of agreements include contracts, memorandums of understanding, non-disclosure agreements, and partnership agreements. Each type serves different purposes, from establishing formal legal obligations to defining collaborative intent. When pursuing a New Hampshire Collaboration Agreement Between Writers, it’s beneficial to understand these types to choose the one that best suits your project’s needs and objectives.

Liability in a collaboration agreement refers to the legal responsibilities that parties hold in relation to the agreement's terms. This can include financial liabilities or responsibilities for any breaches that may occur. By carefully outlining these liabilities in a New Hampshire Collaboration Agreement Between Writers, all parties can better protect themselves from potential disputes or misunderstandings.

A Service Level Agreement (SLA) is a contract focused on the quality and speed of service delivery, while a Memorandum of Understanding (MOU) establishes a broader framework for collaboration without specific performance metrics. SLAs are often used in business contexts to delineate service expectations, whereas MOUs might be more informal agreements among creative collaborators. For writers in New Hampshire, a Collaboration Agreement may incorporate elements of both, focusing on both collaborative spirit and specific outcomes.

Trusted and secure by over 3 million people of the world’s leading companies

New Hampshire Collaboration Agreement Between Writers