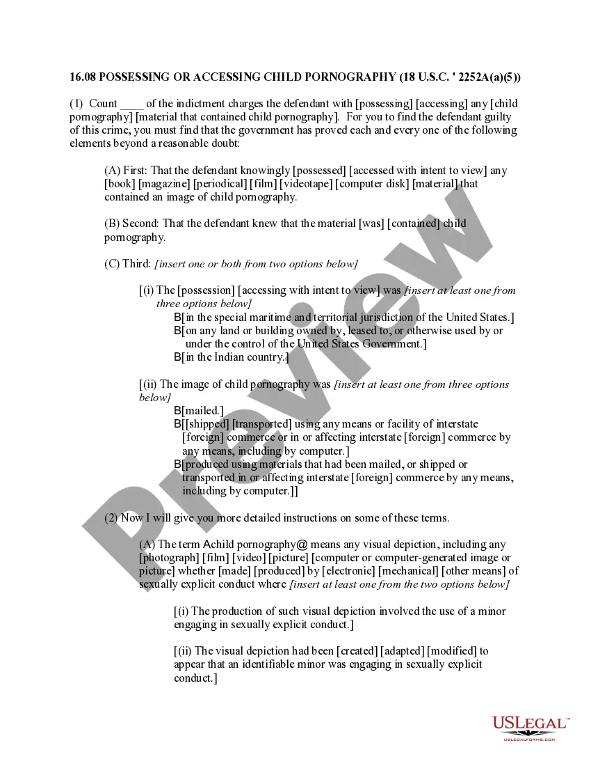
Nebraska 18 U.S.C. Sec. 2252A(A)(5)(B) POSSESSION OF OR ACCESS WITH INTENT TO VIEW CHILD PORNOGRAPHY IN INTERSTATE COMMERCE

State:
Multi-State
Control #:
US-JURY-7THCIR-18-2252A-A-5-B
Format:
Rich Text
Instant download
This website is not affiliated with any governmental entity
Public form

Description

Official Pattern Jury Instructions adopted by Federal 7th Circuit Court. All converted to Word format. Please see the official site for addional information. www.ca7.uscourts.gov/pattern-jury-instructions/pattern-jury.htm

Form popularity

Trusted and secure by over 3 million people of the world’s leading companies

Nebraska 18 U.S.C. Sec. 2252A(A)(5)(B) POSSESSION OF OR ACCESS WITH INTENT TO VIEW CHILD PORNOGRAPHY IN INTERSTATE COMMERCE