Nebraska Agreement between Physicians to Share Offices without Forming Partnership

State:
Multi-State
Control #:
US-02306BG
Format:
Word; 
PDF; 
Rich Text
Instant download

Description

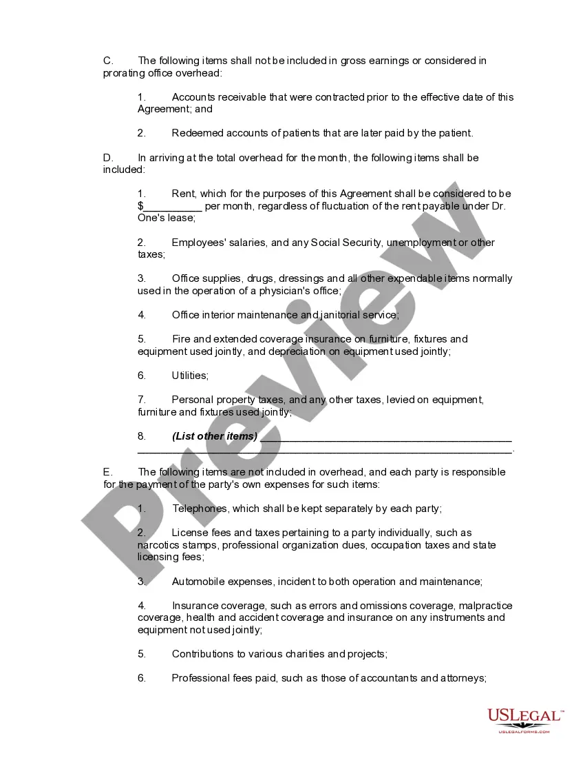
Agreement between Physicians to Share Offices without Forming Partnership
Free preview
  • Preview Agreement between Physicians to Share Offices without Forming Partnership
  • Preview Agreement between Physicians to Share Offices without Forming Partnership
  • Preview Agreement between Physicians to Share Offices without Forming Partnership
  • Preview Agreement between Physicians to Share Offices without Forming Partnership

How to fill out Agreement Between Physicians To Share Offices Without Forming Partnership?

Have you found yourself needing documents for business or specific purposes almost all the time.

There are many trustworthy document templates available online, but finding ones you can rely on is challenging.

US Legal Forms provides a vast collection of form templates, such as the Nebraska Agreement between Physicians to Share Offices without Forming Partnership, which are designed to meet state and federal regulations.

Once you find the correct form, click Buy now.

Select the pricing plan you desire, fill out the necessary details to create your account, and pay for your order using PayPal or a credit card.

  1. If you are already familiar with the US Legal Forms website and possess an account, simply Log In.
  2. Next, you can download the Nebraska Agreement between Physicians to Share Offices without Forming Partnership template.
  3. If you do not have an account and wish to start using US Legal Forms, follow these instructions.
  4. Obtain the form you need and verify that it corresponds to your specific city/region.
  5. Utilize the Review option to evaluate the form.
  6. Read the description to ensure you have selected the correct template.
  7. If the form is not what you're looking for, use the Search field to find the document that fits your needs.

Form popularity

FAQ

Yes, a partnership can technically be formed without a written agreement, as verbal agreements also hold legal weight. However, this often leads to misunderstandings and disputes over terms and conditions. Without a clear framework, partners may face challenges regarding profit-sharing and responsibilities. To ensure a smooth working relationship, utilizing the Nebraska Agreement between Physicians to Share Offices without Forming Partnership is a wise choice, as it formalizes the terms of collaboration without the need for a traditional partnership.

An agreement that outlines each partner's privileges and responsibilities is often referred to as an operating agreement or partnership agreement. This important document provides clear guidelines on how decisions are made, how profits are split, and how responsibilities are assigned. Ensuring that this document is in place can foster better cooperation among partners. In the context of healthcare, the Nebraska Agreement between Physicians to Share Offices without Forming Partnership offers a beneficial solution for outlining roles without creating a conventional partnership.

In the absence of a partnership agreement, profit division typically follows state laws governing partnerships. This often results in profits being shared equally, regardless of individual contributions. This lack of clarity can lead to disputes and confusion. To avoid such situations, consider adopting the Nebraska Agreement between Physicians to Share Offices without Forming Partnership, which provides a clear structure for collaboration.

A business partnership agreement is a contract that details the terms and conditions of a partnership among two or more individuals. This document specifies aspects such as profit distribution, responsibilities, and decision-making procedures to prevent misunderstandings. It's crucial for any partnership to have a well-defined structure. The Nebraska Agreement between Physicians to Share Offices without Forming Partnership can help you establish a collaborative framework without the complexities of a traditional partnership.

The agreement among partners in a partnership is commonly known as a partnership agreement. This vital document outlines the roles, liabilities, and profit-sharing arrangements between partners. It is essential for promoting clear communication and understanding among all involved parties. If you're interested in collaborative medical practices without forming a formal partnership, consider looking into the Nebraska Agreement between Physicians to Share Offices without Forming Partnership.

Many professionals consider California to be one of the hardest states to obtain a medical license due to its lengthy requirements and extensive application process. Factors like additional documentation, rigorous examinations, and background checks contribute to this complexity. For those who find navigating such challenges daunting, understanding the Nebraska Agreement between Physicians to Share Offices without Forming Partnership can provide clarity and support in establishing a cooperative practice.

You can renew your Nebraska medical license beginning 30 days before your expiration date. Renewal requires the completion of specific continuing education credits to ensure you remain updated with medical practices. It's important to familiarize yourself with the rules outlined in the Nebraska Agreement between Physicians to Share Offices without Forming Partnership, as they may introduce beneficial structures for your practice during the renewal process.

The process to obtain a medical license in Nebraska typically takes several months. After submitting your application, the Nebraska Board of Medicine reviews your credentials, including education and training. Additionally, you must pass the required examinations and complete any necessary background checks. Understanding the Nebraska Agreement between Physicians to Share Offices without Forming Partnership can help streamline operations for medical professionals in the state.

Without a written partnership agreement, the partners may face challenges in managing their business relationship. In many cases, state laws may default to general partnership rules, which could create unforeseen issues. For physicians exploring a Nebraska Agreement between Physicians to Share Offices without Forming Partnership, having a clear written agreement is essential to clarify roles and responsibilities and prevent disputes.

Not all doctors' offices operate as partnerships. Many physicians may choose to share office space without forming a partnership, often through arrangements like a Nebraska Agreement between Physicians to Share Offices without Forming Partnership. This type of agreement allows doctors to collaborate while maintaining their independence, making it a favorable option for many practitioners.

Trusted and secure by over 3 million people of the world’s leading companies

Nebraska Agreement between Physicians to Share Offices without Forming Partnership