Nebraska Agreement to Market and Sell Merchant Coupons

State:
Multi-State
Control #:
US-02165BG
Format:
Word; 
Rich Text
Instant download

Description

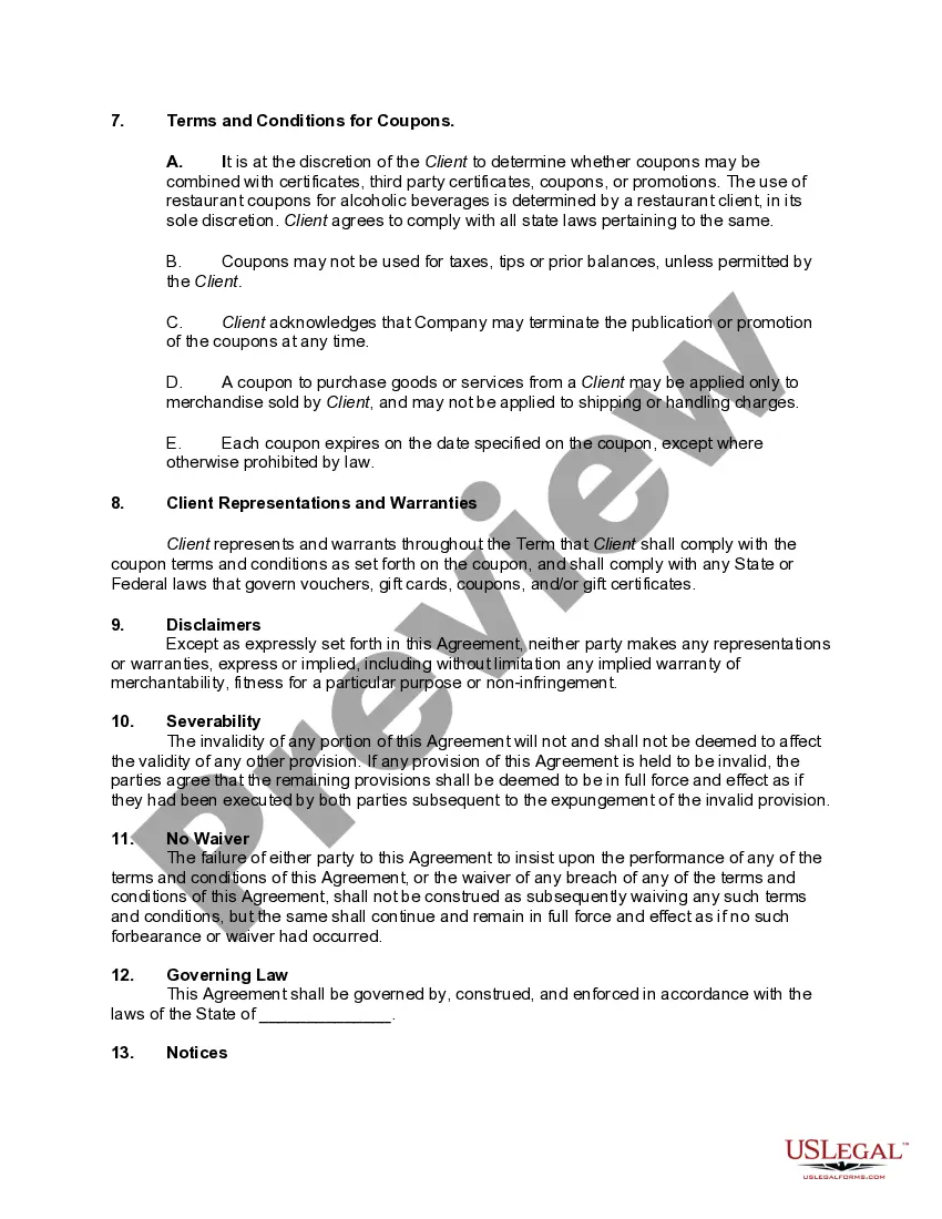
This form is a sample agreement between a marketing company and a merchant to sell coupons that can be redeemed at the merchants place of business for goods or services. This form is a generic example that may be referred to when preparing such a form for your particular state. It is for illustrative purposes only. Local laws should be consulted to determine any specific requirements for such a form in a particular jurisdiction.

Free preview
  • Preview Agreement to Market and Sell Merchant Coupons
  • Preview Agreement to Market and Sell Merchant Coupons
  • Preview Agreement to Market and Sell Merchant Coupons

How to fill out Agreement To Market And Sell Merchant Coupons?

Have you ever been in a situation where you need documents for either business or personal purposes nearly every workday.

There are numerous legal document templates available online, but finding reliable versions is challenging.

US Legal Forms offers a vast array of form templates, such as the Nebraska Agreement to Market and Sell Merchant Coupons, designed to meet federal and state requirements.

When you find the correct form, click on Buy now.

Select a payment plan you prefer, complete the required details to create your account, and pay for the transaction using your PayPal or Visa or Mastercard.

  1. If you are already familiar with the US Legal Forms website and have an account, simply Log In.
  2. After that, you can download the Nebraska Agreement to Market and Sell Merchant Coupons template.
  3. If you don't have an account and want to start using US Legal Forms, follow these steps.
  4. Find the form you need and ensure it is for the correct city/state.
  5. Use the Review button to examine the form.
  6. Check the description to confirm you have chosen the right form.
  7. If the form isn't what you are looking for, use the Search field to find the form that fits your needs.

Form popularity

FAQ

In 2025, Nebraska plans to implement several tax changes aimed at enhancing economic growth. Adjustments may include modifications to income taxes and property tax relief initiatives. Businesses that utilize the Nebraska Agreement to Market and Sell Merchant Coupons should keep an eye on these developments, as understanding these changes will be essential for effective financial planning. Investing time in tax knowledge now can lead to significant advantages in the future.

Nebraska offers relocation incentives to attract businesses and skilled workers to the state. This initiative aims to boost economic development by providing financial benefits to companies that relocate and create jobs in Nebraska. By leveraging the Nebraska Agreement to Market and Sell Merchant Coupons, businesses can further enhance their local market presence and take advantage of these incentives. This helps foster a supportive environment for growth and innovation.

The convenience rule in Nebraska pertains to the tax obligations of businesses operating in multiple states. It focuses on where the business activities occur and how that impacts tax liabilities. For companies using the Nebraska Agreement to Market and Sell Merchant Coupons, this rule is crucial as it can affect their compliance and tax planning strategies. It's essential to stay informed about these regulations to make sound business decisions.

Nebraska's property tax is influenced by several factors, including the funding of local services such as schools and infrastructure. The state relies heavily on property taxes to finance education, which may lead to higher rates. Additionally, the unique valuation process of properties in Nebraska can contribute to rising tax bills. Understanding the implications of the Nebraska Agreement to Market and Sell Merchant Coupons may provide insights on how businesses can navigate this landscape.

To obtain a tax-exempt certificate in Nebraska, you need to fill out the appropriate application and submit it to the Nebraska Department of Revenue. It’s vital to have documentation in place, particularly if your intent involves the Nebraska Agreement to Market and Sell Merchant Coupons. The process may take time, so start early to ensure you secure your tax exemption when planning your marketing campaigns.

Regulation 1 020 in Nebraska addresses the tax implications related to certain promotional activities, including the Nebraska Agreement to Market and Sell Merchant Coupons. This regulation outlines how businesses should handle taxes when participating in special promotional offers. By familiarizing yourself with this regulation, you can better strategize your marketing efforts while ensuring you adhere to the law.

Form 6 is an important tax document in Nebraska that individuals and businesses may utilize. While the Nebraska Agreement to Market and Sell Merchant Coupons may not directly require this form, understanding its purpose can be beneficial for overall compliance. This form deals with income and various taxation matters, so keep it in mind as you navigate the regulatory landscape.

Form 20 is a specific document required by Nebraska's Department of Revenue, often associated with sales tax exemptions. When obtaining the Nebraska Agreement to Market and Sell Merchant Coupons, ensure that you have all necessary paperwork, including Form 20. This form confirms tax-exempt status and is essential for businesses aiming to sell merchant coupons without sales tax.

Regulation 1 007 in Nebraska relates to the state's approach to the Nebraska Agreement to Market and Sell Merchant Coupons. This regulation provides guidelines and requirements for businesses looking to market and sell merchant coupons within Nebraska. Understanding this regulation helps ensure compliance, which can enhance your ability to successfully engage in promotional activities.

Trusted and secure by over 3 million people of the world’s leading companies

Nebraska Agreement to Market and Sell Merchant Coupons