North Carolina Project Agreement Between A Non-Profit Church Corporation and Architect

State:
Multi-State
Control #:
US-04534BG
Format:
Word; 
Rich Text
Instant download

Description

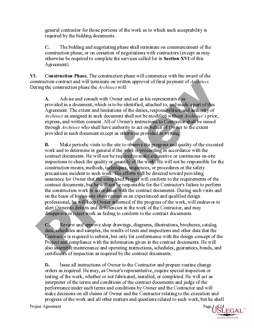
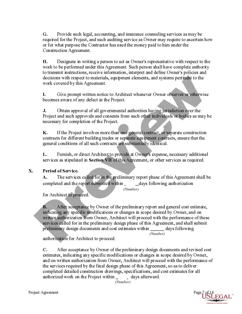
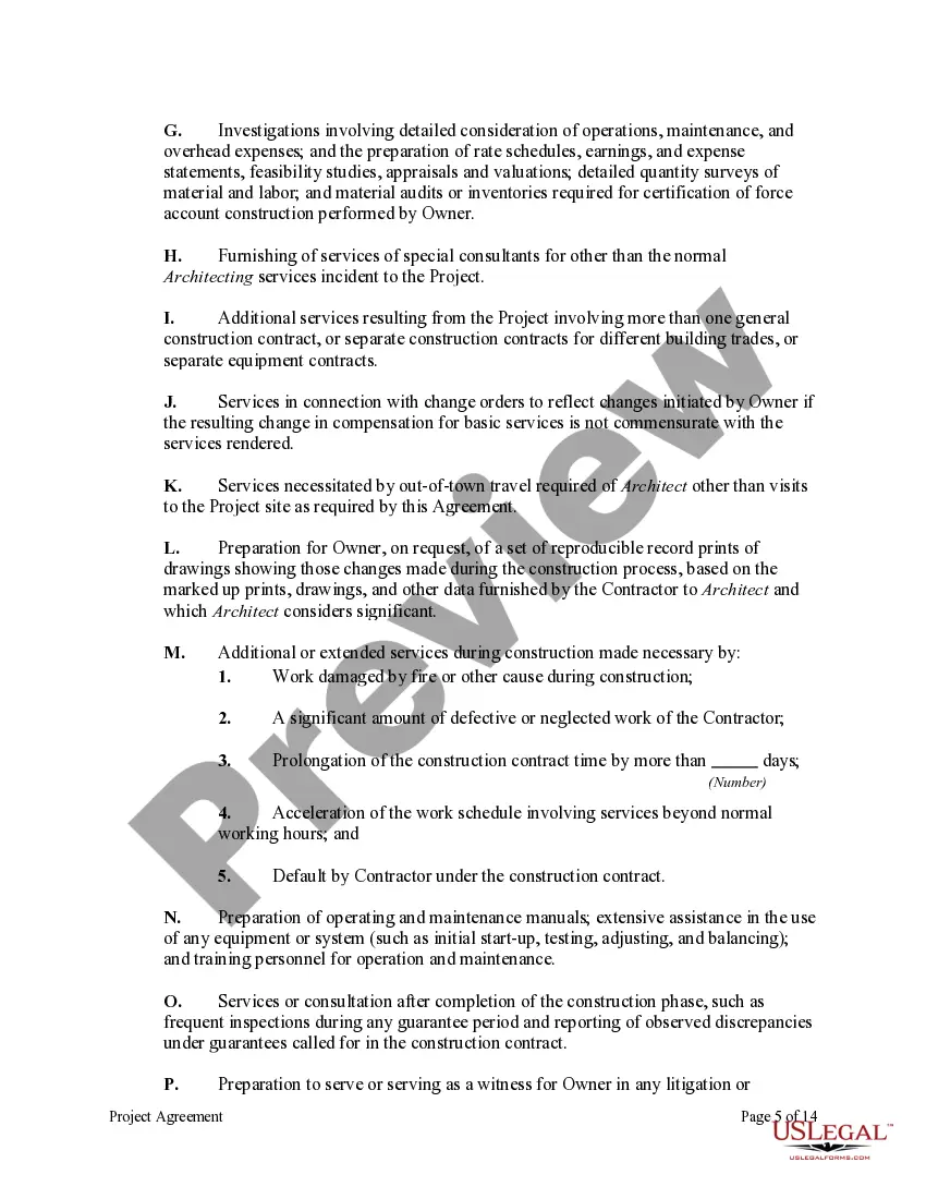
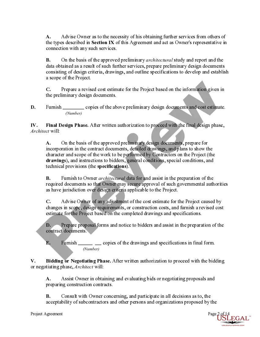
A contract for the employment of an architect, an engineer, or a surveyor should identify the parties clearly, state the relationship between them, and spell out in reasonable detail the services to be performed under the contract. The contract should also clearly specify the rights of the architect, engineer, or surveyor in respect to such things as compensation, ownership and use of plans, working drawings, etc.



This form is a generic example that may be referred to when preparing such a form for your particular state. It is for illustrative purposes only. Local laws should be consulted to determine any specific requirements for such a form in a particular jurisdiction.

Free preview
  • Preview Project Agreement Between A Non-Profit Church Corporation and Architect
  • Preview Project Agreement Between A Non-Profit Church Corporation and Architect
  • Preview Project Agreement Between A Non-Profit Church Corporation and Architect
  • Preview Project Agreement Between A Non-Profit Church Corporation and Architect
  • Preview Project Agreement Between A Non-Profit Church Corporation and Architect
  • Preview Project Agreement Between A Non-Profit Church Corporation and Architect
  • Preview Project Agreement Between A Non-Profit Church Corporation and Architect
  • Preview Project Agreement Between A Non-Profit Church Corporation and Architect
  • Preview Project Agreement Between A Non-Profit Church Corporation and Architect
  • Preview Project Agreement Between A Non-Profit Church Corporation and Architect
  • Preview Project Agreement Between A Non-Profit Church Corporation and Architect

How to fill out Project Agreement Between A Non-Profit Church Corporation And Architect?

If you desire to complete, obtain, or create sanctioned document templates, utilize US Legal Forms, the premier collection of legal forms, accessible online.

Employ the site`s straightforward and user-friendly search to retrieve the documents you require.

Various templates for business and personal purposes are categorized by types and states, or keywords.

Step 3. If you are not satisfied with the form, employ the Search field at the top of the screen to find other versions in the legal form format.

Step 4. Once you have found the form you need, click on the Buy now button. Select the payment plan you prefer and enter your information to register for the account.

  1. Utilize US Legal Forms to acquire the North Carolina Project Agreement Between A Non-Profit Church Corporation and Architect in just a few clicks.
  2. If you are already a US Legal Forms customer, sign into your account and click on the Download button to find the North Carolina Project Agreement Between A Non-Profit Church Corporation and Architect.
  3. You can also access forms you previously obtained from the My documents tab of your account.
  4. If you are using US Legal Forms for the first time, follow the instructions below.
  5. Step 1. Ensure you have selected the form for the correct city/state.
  6. Step 2. Use the Review option to examine the form`s content. Don’t forget to read through the details.

Form popularity

FAQ

Yes, nonprofits can pursue government contracts for various services and projects. These contracts can provide vital funding and resources for your organization. If you are drafting a North Carolina Project Agreement Between A Non-Profit Church Corporation and Architect, understanding how to engage with government contracts could greatly enhance your organization's capabilities.

The purpose of nonprofit organizations is generally to improve quality of life for others at a community, local, state, national, or even global level. These organizations are not dedicated to private or financial gain but to the advancement of public interest.

Bylaws are internal governing documents for corporations, while an operating agreement lays out internal operating procedures for an LLC.

An operating agreement is a key document used by LLCs because it outlines the business' financial and functional decisions including rules, regulations and provisions. The purpose of the document is to govern the internal operations of the business in a way that suits the specific needs of the business owners.

Nonprofits must have at least three board members when they form.

Nonprofit organizations can't legally operate without a designated board of directors that takes responsibility for ensuring legal compliance and accountability. A nonprofit board of directors is responsible for hiring capable staff, making big decisions and overseeing all operations.

Non-profit LLC operating agreements specify that the limited liability company cannot violate the bylaws or restrictions of its member non-profit 501(c)(3) corporation.

North Carolina law requires only one board member, but best practices recommend that you have no fewer than five; seven or more are preferable. As you recruit board members, make sure they are aware of their roles and responsibilities.

So while a for-profit business can't own a nonprofit, they can establish one or partner with one in a way that gives them not only recognition for doing so, but operational control over the nonprofit as well.

Churches and ministries are formed as non-profit corporations. Unlike for-profit corporations, non-profit corporations have no owners / shareholders and do not issues shares. They are not C Corporations or Subchapter S Corporations, although the C Corporation designation is sometimes used to describe them.

Trusted and secure by over 3 million people of the world’s leading companies

North Carolina Project Agreement Between A Non-Profit Church Corporation and Architect