The Painting Contract for Contractor is a legal document designed for use between painting contractors and property owners. This form outlines the agreement regarding the scope of painting services, payment arrangements (cost-plus or fixed fee), and responsibilities related to permits, insurance, and change orders. Unlike other contractor agreements, this specific contract is tailored to comply with the laws of Massachusetts, ensuring its legal effectiveness within the state.
This form should be used when a property owner hires a painting contractor to perform painting work. It is particularly useful when there is a need to clearly outline the scope of work, payment agreements, and responsibilities of each party to avoid misunderstandings. Use this contract in scenarios where modifications to the work plan may be necessary during the project and in locations where Massachusetts law applies.
This form is intended for:
This form does not typically require notarization to be legally valid. However, some jurisdictions or document types may still require it. US Legal Forms provides secure online notarization powered by Notarize, available 24/7 for added convenience.
Our built-in tools help you complete, sign, share, and store your documents in one place.
Make edits, fill in missing information, and update formatting in US Legal Forms—just like you would in MS Word.
Download a copy, print it, send it by email, or mail it via USPS—whatever works best for your next step.
Sign and collect signatures with our SignNow integration. Send to multiple recipients, set reminders, and more. Go Premium to unlock E-Sign.
If this form requires notarization, complete it online through a secure video call—no need to meet a notary in person or wait for an appointment.
We protect your documents and personal data by following strict security and privacy standards.

Make edits, fill in missing information, and update formatting in US Legal Forms—just like you would in MS Word.

Download a copy, print it, send it by email, or mail it via USPS—whatever works best for your next step.

Sign and collect signatures with our SignNow integration. Send to multiple recipients, set reminders, and more. Go Premium to unlock E-Sign.

If this form requires notarization, complete it online through a secure video call—no need to meet a notary in person or wait for an appointment.

We protect your documents and personal data by following strict security and privacy standards.
Visit the client's space for a consultation and measurements. Estimate how much time it will take you to complete the job. Multiply the time by the cost of labor. Add your materials, overhead costs, and your desired profit margin.
Some painters keep it simple and just charge by square foot; If you charge $1.25 per square foot, 2500 sq ft. would cost $3,125 for the homeowner etc. (for exterior). For interior you'll want to charge $2 per square foot minimum.
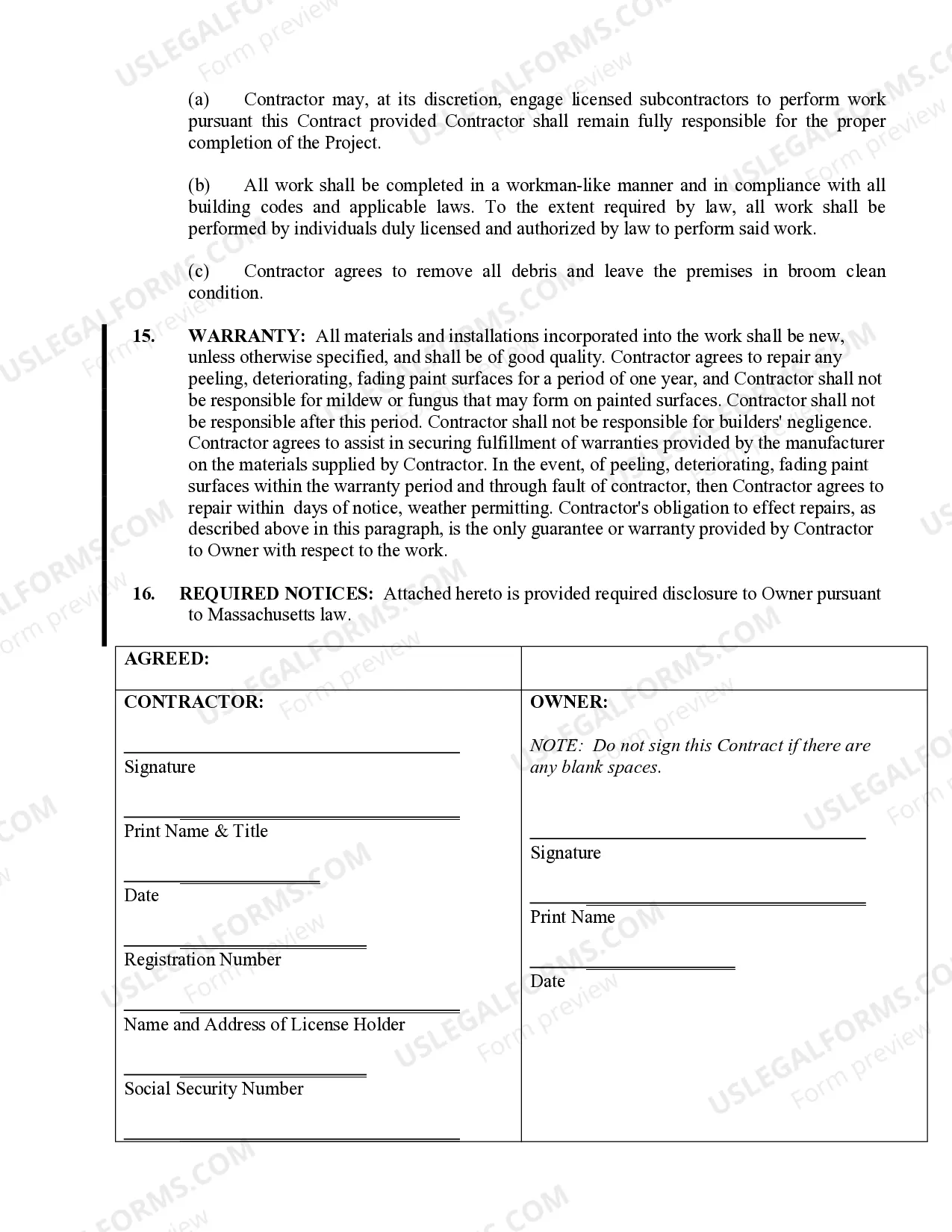
What should be in a Painting Contract?Generally, the contract should contain the name of the customer, the name of the person or business doing the work as well as the address of each. Additionally, the contract should also have a full description of the work to be completed as well as a breakdown of costs.
Call up your local property managers and ask them if they have or need any painting services. Ask if you can send them an email containing recent job photos, testimonials, and references. If you can send them a company packet in the mail, this will really impress them.
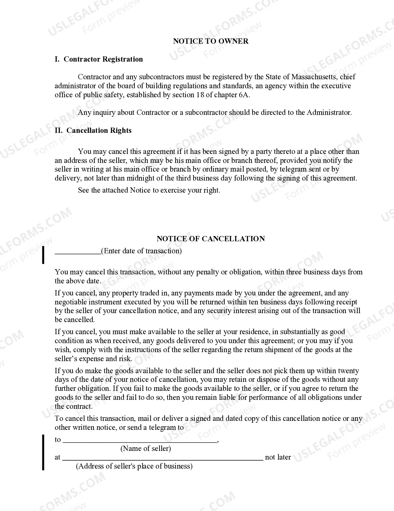
Massachusetts law prohibits a contractor requiring an initial deposit of over 33% of the total contract price unless special materials are ordered. Any contractor demanding over a 33% deposit should raise a huge red flag .
Do you have a list of customers who would be willing to verify the quality of your work? Do you cover all of your employees with Workman's Compensation Insurance? How will my house be prepped for painting? What grade of paint will be used? How many painters will be on the job and how long will the job take?
The client and contractor's name and information. An area describing the scope of work, which will detail all of the services that will be provided. The cost of both the supplies as well as the labor to paint the house.