Iowa Joint Research and Development Agreement

State:
Multi-State
Control #:
US-1038BG
Format:
Word; 
Rich Text
Instant download

Description

A Research and Development Agreement is a systematic activity combining both basic and applied research, and aimed at discovering solutions to problems or creating new goods and knowledge.
Free preview
  • Preview Joint Research and Development Agreement
  • Preview Joint Research and Development Agreement
  • Preview Joint Research and Development Agreement
  • Preview Joint Research and Development Agreement
  • Preview Joint Research and Development Agreement

How to fill out Joint Research And Development Agreement?

It is feasible to spend numerous hours online searching for the legal document template that meets the federal and state specifications you need.

US Legal Forms offers a vast array of legal forms that can be reviewed by experts.

You can conveniently download or print the Iowa Joint Research and Development Agreement from the service.

If available, use the Review option to preview the document template as well.

  1. If you already possess a US Legal Forms account, you may Log In and then click the Acquire button.
  2. Following this, you may complete, modify, print, or sign the Iowa Joint Research and Development Agreement.
  3. Every legal document template you purchase is yours to keep eternally.
  4. To obtain another copy of the purchased form, navigate to the My documents section and click the appropriate option.
  5. If you are using the US Legal Forms site for the first time, follow the straightforward instructions below.
  6. First, confirm that you have selected the correct document template for your chosen county/area.
  7. Examine the form description to ensure you have chosen the right form.

Form popularity

FAQ

The Iowa Policy Research Organization is dedicated to providing data-driven insights to inform public policy decisions. It conducts comprehensive analysis while fostering partnerships that enhance policymaking processes. Through initiatives like the Iowa Joint Research and Development Agreement, the organization promotes cooperative research efforts that lead to effective policy solutions, ultimately benefiting the citizens of Iowa.

The Iowa model of research in practice emphasizes the application of research findings to improve health care and outcomes. It encourages a continuous feedback loop between research and practice, ensuring that new insights benefit the community. This approach often utilizes frameworks similar to the Iowa Joint Research and Development Agreement, which facilitates collaboration among researchers and practitioners to bridge the gap between theory and real-world application.

Yes, the University of Iowa is designated as a research university, recognized for its extensive contributions to various fields of study. With a strong emphasis on innovation, it frequently engages in collaborative projects that may involve the Iowa Joint Research and Development Agreement. This partnership enhances research capabilities and fosters advancements in numerous disciplines, making it a leader in academic excellence.

The Iowa Institute of Public Health Research and Policy focuses on promoting health initiatives through research and collaboration. By integrating various sectors, it aims to provide evidence-based solutions for public health challenges. This aligns with the principles of the Iowa Joint Research and Development Agreement, which supports collaborative efforts for sustainable development and innovation.

A cooperative agreement is more akin to a contract than a grant, as it involves substantial collaboration between the government and the recipient. Unlike traditional grants, cooperative agreements require significant involvement from the government in the project's execution. The Iowa Joint Research and Development Agreement can serve as a solid framework for these types of collaborations.

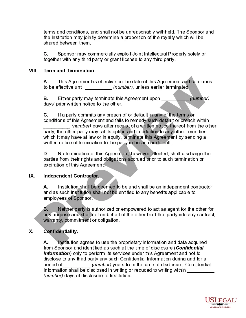
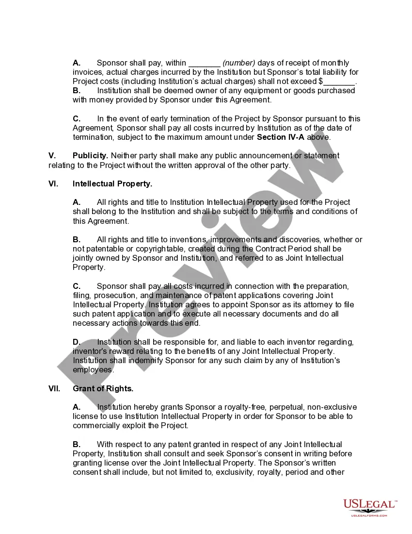
The structure of an Iowa Joint Research and Development Agreement typically includes distinct sections outlining the roles and responsibilities of each party involved. It defines the scope of work, funding mechanisms, and intellectual property rights. This clear framework helps ensure all parties understand their commitments and aids in the smooth execution of collaborative research efforts.

A CRADA is a legal framework that allows federal laboratories to partner with non-federal parties for research and development initiatives. Through an Iowa Joint Research and Development Agreement, parties can share knowledge, resources, and funding to advance specific projects or technologies. This collaborative approach helps streamline innovation and enhances the potential for successful outcomes.

A CRADA, or Cooperative Research and Development Agreement, is a formal agreement established within government contracting. It enables government agencies to collaborate with private firms or universities on research projects. This collaboration can lead to advanced technological developments, making the Iowa Joint Research and Development Agreement a vital tool for fostering innovation.

The Iowa Joint Research and Development Agreement offers several advantages to participants. It fosters collaboration between government entities and private sectors, leading to shared resources and knowledge. Additionally, it promotes innovation by enabling participants to jointly develop new technologies while benefiting from reduced costs associated with research and development.

A 28E agreement in Iowa is a formal contract that enables two or more governmental entities to jointly share services and resources. It is particularly useful for collaborative projects that require extensive cooperation. If you're involved in a research initiative, an Iowa Joint Research and Development Agreement can serve as an effective tool to specify project deliverables and streamline inter-agency collaborations.

Trusted and secure by over 3 million people of the world’s leading companies

Iowa Joint Research and Development Agreement