Iowa Agreement to Provide Emergency Services to Owner of Condominium Complex Following a Hurricane or Coastal Storm

State:
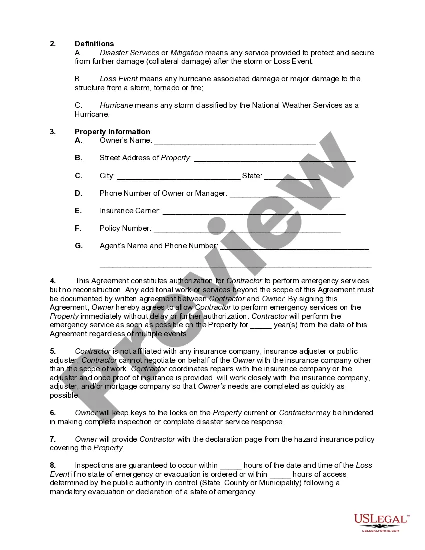
Multi-State
Control #:
US-02323BG
Format:
Word; 
PDF; 
Rich Text
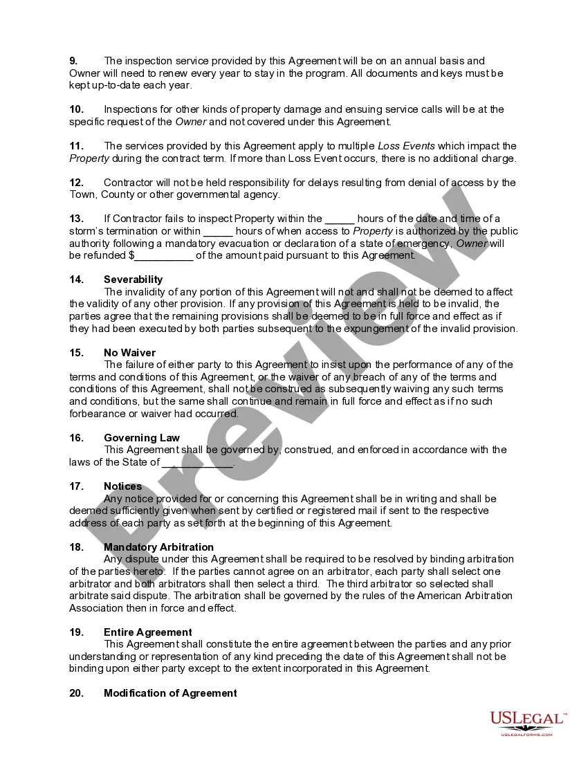
Instant download

Description

Agreement to Provide Emergency Services to Owner of Condominium Complex Following a Hurricane or Coastal Storm
Free preview
  • Preview Agreement to Provide Emergency Services to Owner of Condominium Complex Following a Hurricane or Coastal Storm
  • Preview Agreement to Provide Emergency Services to Owner of Condominium Complex Following a Hurricane or Coastal Storm
  • Preview Agreement to Provide Emergency Services to Owner of Condominium Complex Following a Hurricane or Coastal Storm
  • Preview Agreement to Provide Emergency Services to Owner of Condominium Complex Following a Hurricane or Coastal Storm

How to fill out Agreement To Provide Emergency Services To Owner Of Condominium Complex Following A Hurricane Or Coastal Storm?

Have you ever been in a location where you frequently require documents for business or specific purposes? There are numerous reliable document templates accessible online, but finding versions you can trust is not straightforward.

US Legal Forms offers thousands of form templates, including the Iowa Agreement to Provide Emergency Services to Owner of Condominium Complex Following a Hurricane or Coastal Storm, which can be tailored to meet federal and state requirements.

If you are already familiar with the US Legal Forms website and possess an account, simply Log In. After that, you can obtain the Iowa Agreement to Provide Emergency Services to Owner of Condominium Complex Following a Hurricane or Coastal Storm template.

You can find all the document templates you have purchased in the My documents section. You can access an additional copy of the Iowa Agreement to Provide Emergency Services to Owner of Condominium Complex Following a Hurricane or Coastal Storm at any time, if necessary. Just click on the required form to download or print the document template.

Utilize US Legal Forms, the most comprehensive collection of legitimate forms, to save time and minimize errors. The service provides professionally crafted legal document templates for various purposes. Create an account on US Legal Forms and begin simplifying your life.

  1. Retrieve the form you need and ensure it is for your specific locality.
  2. Utilize the Review option to evaluate the form.
  3. Check the details to confirm that you have selected the correct document.
  4. If the document isn’t what you’re looking for, use the Lookup section to find the form that meets your needs and requirements.
  5. Once you find the right document, click on Acquire now.
  6. Select the pricing plan you desire, provide the necessary information to create your account, and make a payment using your PayPal or credit card.
  7. Choose a suitable file format and download your copy.

Form popularity

FAQ

A FEMA state agreement is a formal contract between FEMA and a state government, which defines the framework for disaster response and recovery efforts. This agreement ensures that necessary resources and support are available during emergencies. With the Iowa Agreement to Provide Emergency Services to Owner of Condominium Complex Following a Hurricane or Coastal Storm, it’s crucial to understand how these state agreements impact assistance and recovery options for condo owners.

The agreement that outlines these understandings is typically known as a 'disaster assistance agreement.' This agreement details the roles and responsibilities of all parties involved, ensuring clarity in the delivery of services. For those managing a condominium complex, the Iowa Agreement to Provide Emergency Services to Owner of Condominium Complex Following a Hurricane or Coastal Storm is especially important to safeguard your interests.

The term you’re looking for is 'prioritization.' FEMA prioritizes assistance based on needs and circumstances to provide effective support to those most affected. When you refer to the Iowa Agreement to Provide Emergency Services to Owner of Condominium Complex Following a Hurricane or Coastal Storm, understanding how prioritization works will help you navigate your recovery options more effectively.

FEMA contracts are agreements that govern how FEMA provides assistance and services in disaster situations. These contracts involve partnerships with organizations and businesses that deliver crucial support to communities. Under the Iowa Agreement to Provide Emergency Services to Owner of Condominium Complex Following a Hurricane or Coastal Storm, these contracts can facilitate timely and effective response efforts.

FEMA offers various forms of assistance to individuals affected by disasters, including financial assistance for temporary housing, home repairs, and other disaster-related expenses. They also provide grants for public facilities and infrastructure repairs. Understanding the Iowa Agreement to Provide Emergency Services to Owner of Condominium Complex Following a Hurricane or Coastal Storm can ensure that you receive the right support when you need it.

The most significant impact of Hurricane Katrina was the loss of life and widespread displacement of communities. The disaster highlighted deficiencies in emergency response and preparedness. In response to these challenges, the Iowa Agreement to Provide Emergency Services to Owner of Condominium Complex Following a Hurricane or Coastal Storm aims to streamline emergency assistance to ensure that residents receive the help they need promptly.

Hurricane Katrina fundamentally reshaped disaster response policies in the United States. It underscored the urgency for better infrastructure, communication systems, and resource distribution. The Iowa Agreement to Provide Emergency Services to Owner of Condominium Complex Following a Hurricane or Coastal Storm exemplifies how we can implement lessons learned from such events to improve emergency services for vulnerable communities.

The most important lesson from Hurricane Katrina is the need for comprehensive disaster preparedness. Ensuring community readiness involves effective collaboration between local agencies and residents. Utilizing the Iowa Agreement to Provide Emergency Services to Owner of Condominium Complex Following a Hurricane or Coastal Storm fosters a proactive approach to disaster management, ultimately saving lives and resources.

Hurricane Katrina revealed critical gaps in emergency management and communication systems. Key takeaways include the need for clear evacuation routes and accessible shelters. Implementing the Iowa Agreement to Provide Emergency Services to Owner of Condominium Complex Following a Hurricane or Coastal Storm helps address these issues by establishing guidelines for timely assistance and resource deployment.

Past hurricanes have taught us the importance of proactive planning and quick response measures. The Iowa Agreement to Provide Emergency Services to Owner of Condominium Complex Following a Hurricane or Coastal Storm highlights the necessity for communities to have robust emergency protocols. These lessons encourage collaboration among local governments, emergency services, and residents to minimize damage and enhance recovery efforts.

Trusted and secure by over 3 million people of the world’s leading companies

Iowa Agreement to Provide Emergency Services to Owner of Condominium Complex Following a Hurricane or Coastal Storm