Iowa Agreement Between Sales Representative and Magazine to Sale Advertising

State:
Multi-State
Control #:
US-02163BG
Format:
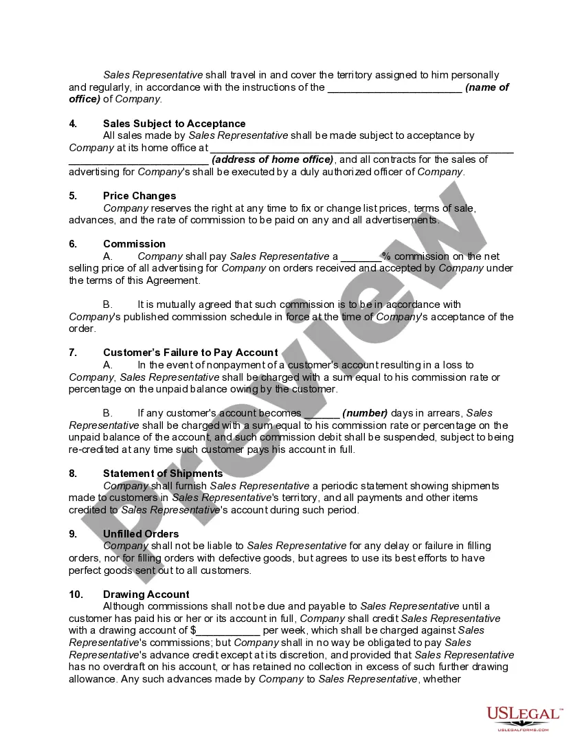
Word; 
Rich Text
Instant download

Description

This form is a generic example that may be referred to when preparing such a form for your particular state. It is for illustrative purposes only. Local laws should be consulted to determine any specific requirements for such a form in a particular jurisdiction.

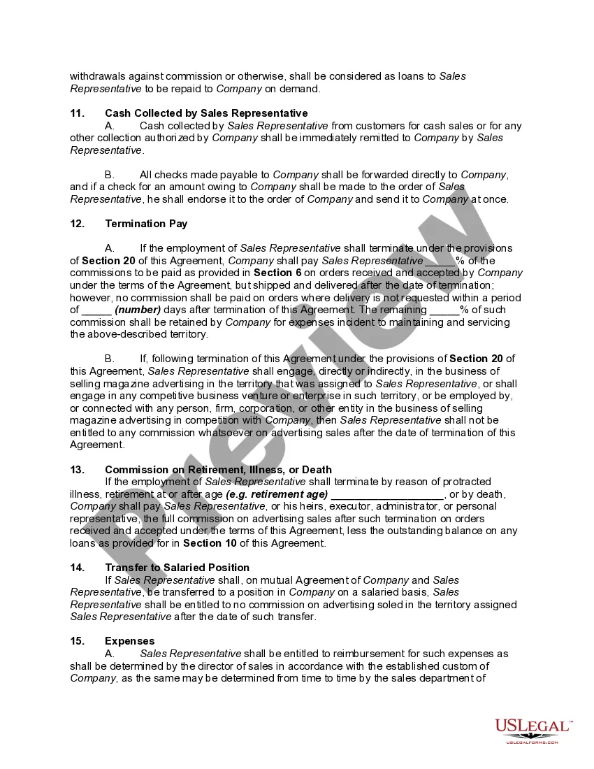
Free preview
  • Preview Agreement Between Sales Representative and Magazine to Sale Advertising
  • Preview Agreement Between Sales Representative and Magazine to Sale Advertising
  • Preview Agreement Between Sales Representative and Magazine to Sale Advertising
  • Preview Agreement Between Sales Representative and Magazine to Sale Advertising
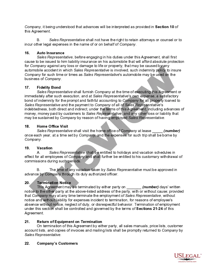
  • Preview Agreement Between Sales Representative and Magazine to Sale Advertising
  • Preview Agreement Between Sales Representative and Magazine to Sale Advertising

How to fill out Agreement Between Sales Representative And Magazine To Sale Advertising?

Are you presently in a situation where you frequently require documents for organizational or personal reasons almost every day.

There are numerous legal document templates accessible online, but finding reliable ones can be challenging.

US Legal Forms offers thousands of form templates, including the Iowa Agreement Between Sales Representative and Magazine to Sale Advertising, designed to meet federal and state requirements.

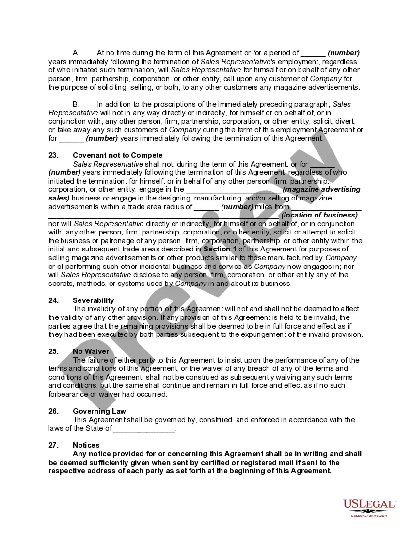
Choose the payment plan you prefer, fill out the required information to create your account, and complete the order using your PayPal or Visa or Mastercard.

Select a preferred document format and download your copy.

  1. If you are already familiar with the US Legal Forms website and have an account, simply Log In.
  2. Then, you can download the Iowa Agreement Between Sales Representative and Magazine to Sale Advertising template.
  3. If you do not have an account and wish to start using US Legal Forms, follow these steps.
  4. Find the form you need and ensure it is for your specific city/county.
  5. Use the Preview button to inspect the form.
  6. Read the description to confirm you have selected the correct form.
  7. If the form does not meet your requirements, use the Search field to locate the form that suits your needs.
  8. Once you find the appropriate form, click Get now.

Form popularity

FAQ

A sales agreement includes several key elements: the parties' names, a description of the items being sold, payment terms, and delivery expectations. It may also include clauses related to breach of contract, warranties, and governing law. For anyone drafting an Iowa Agreement Between Sales Representative and Magazine to Sale Advertising, incorporating these details helps prevent misunderstandings and ensures smooth transactions.

A standard sales agreement is a written document that outlines the terms and conditions of a transaction between a buyer and a seller. It typically includes details like the description of the product, payment terms, and delivery schedules. For those looking to create an Iowa Agreement Between Sales Representative and Magazine to Sale Advertising, utilizing a standard sales agreement can simplify the process and ensure compliance with legal requirements.

A sales contract typically includes essential elements such as the identities of the parties involved, a detailed description of the goods or services provided, payment terms, and any warranties or guarantees. Additionally, it should outline the responsibilities and obligations of each party, as well as any relevant timelines. For a specific context like the Iowa Agreement Between Sales Representative and Magazine to Sale Advertising, these aspects ensure clarity and protect the interests of all parties.

To write a simple commission agreement, keep the language clear and straightforward. Include the essential details such as the sales representative’s role, commission rates, and payment schedules. You can refer to the Iowa Agreement Between Sales Representative and Magazine to Sale Advertising for a concise outline that simplifies the process. A straightforward contract helps ensure both parties agree on expectations, reducing misunderstandings down the line.

Creating a contract for commissions involves outlining key elements such as commission percentage, payment methods, and responsibilities of each party. It’s important to incorporate details about the scope of work, including advertising sales goals and timelines. The Iowa Agreement Between Sales Representative and Magazine to Sale Advertising provides an excellent template that covers essential components for your contract. Properly formatted contracts protect both the magazine and the sales representatives.

To write a sales commission agreement, start by detailing the parties involved and the nature of the sales arrangement. Specify the commission structure, payment terms, and duration of the agreement. The Iowa Agreement Between Sales Representative and Magazine to Sale Advertising can guide you in drafting a clear and comprehensive document. Ensuring transparency and clarity in your agreement helps build trust and accountability between all parties.

A typical sales commission contract outlines the terms between a sales representative and a business, like a magazine, regarding the sale of advertising. This document clearly defines the commission rate, payment schedule, and sales targets. The Iowa Agreement Between Sales Representative and Magazine to Sale Advertising serves as a framework for establishing mutual understanding and expectations. Having a well-defined contract protects both parties and fosters a professional relationship.

Not all legal contracts need to be in writing; it depends on the nature of the agreement. For instance, while the Iowa Agreement Between Sales Representative and Magazine to Sale Advertising is best kept in writing for clarity, many verbal contracts are legally binding. Nonetheless, having written agreements can simplify enforcement and serve as crucial evidence in disputes. Platforms like USLegalForms can provide templates and guidance on creating effective written contracts.

The Statute of Frauds is the key law that specifies which contracts must be in writing. This law ensures that certain important agreements, including the Iowa Agreement Between Sales Representative and Magazine to Sale Advertising, are documented to protect the parties involved. Understanding the requirements outlined in the Statute of Frauds can provide clarity and security in your contract dealings. It's advisable to consult legal resources when drafting contracts to ensure compliance with relevant laws.

In most cases, common law contracts do not need to be in writing to be enforceable. However, certain agreements, such as the Iowa Agreement Between Sales Representative and Magazine to Sale Advertising, benefit from written documentation. A written contract can help clarify terms and protect both parties in case of disputes. Always consider putting significant agreements in writing to avoid misunderstandings.

Trusted and secure by over 3 million people of the world’s leading companies

Iowa Agreement Between Sales Representative and Magazine to Sale Advertising