Colorado Service Agreement between Internet Service Provider and Subscriber with a Liquidated Damage and Exculpatory Provision

State:
Multi-State
Control #:
US-00448BG
Format:
Word; 
Rich Text
Instant download

Description

This is an Internet Service Provider service agreement (contract) with a mythical
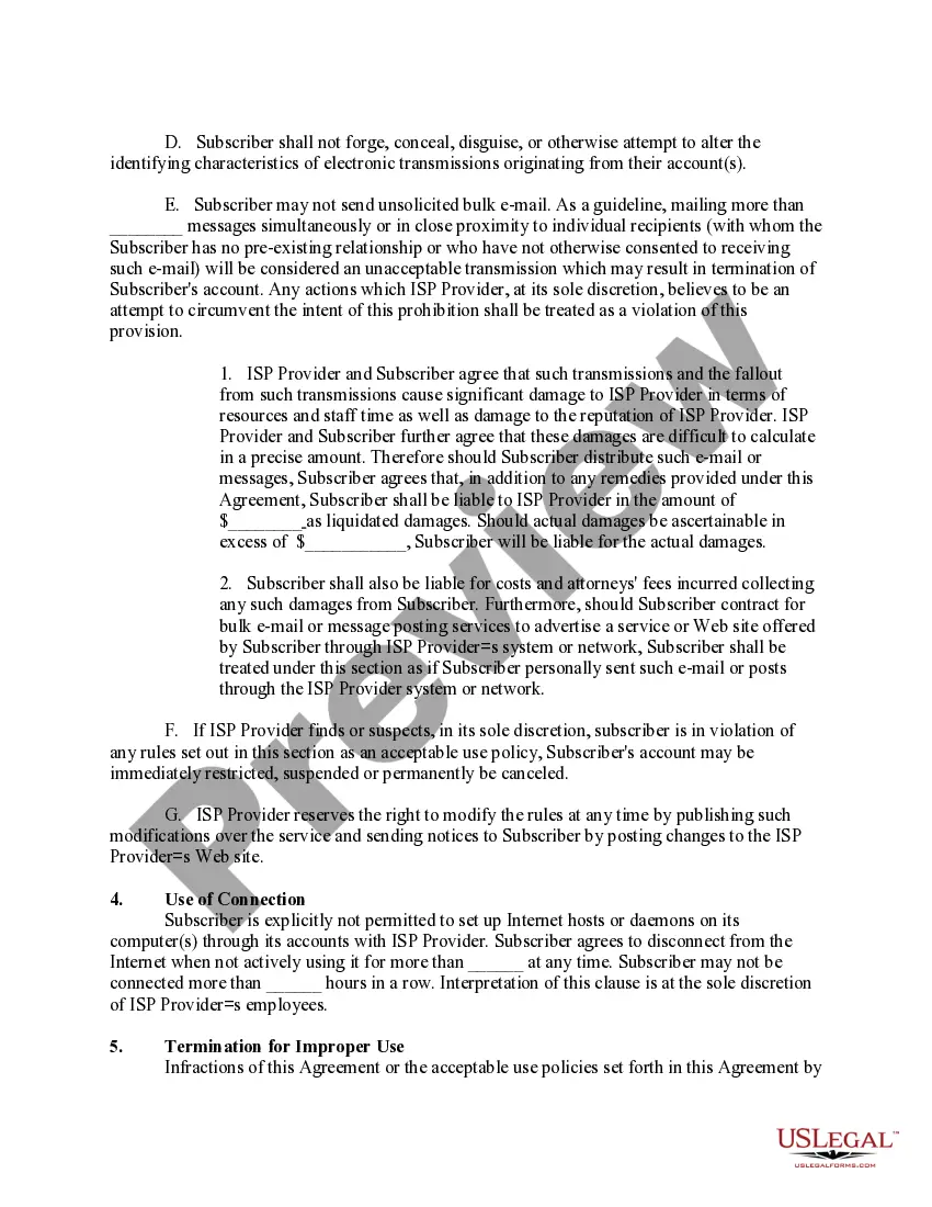
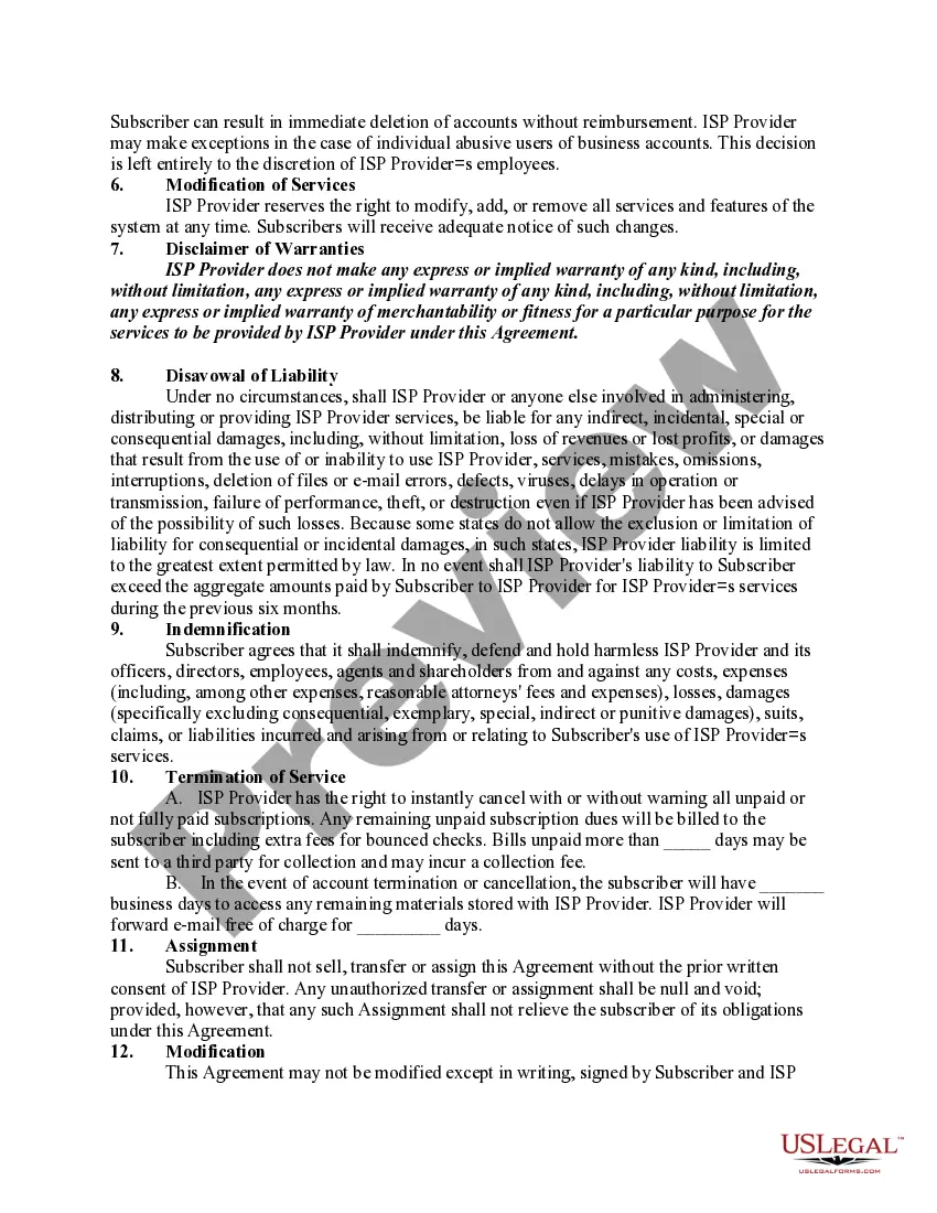
company to provide internet access and services. This contract has a liquidated damages provision in paragraph 3(E) to be paid if the Use Policy is breached. Pursuant to a liquidated damage provision, upon a party's breach, the other party will recover this amount of damages whether actual damages are more or less than the liquidated amount.

Free preview
  • Preview Service Agreement between Internet Service Provider and Subscriber with a Liquidated Damage and Exculpatory Provision
  • Preview Service Agreement between Internet Service Provider and Subscriber with a Liquidated Damage and Exculpatory Provision
  • Preview Service Agreement between Internet Service Provider and Subscriber with a Liquidated Damage and Exculpatory Provision
  • Preview Service Agreement between Internet Service Provider and Subscriber with a Liquidated Damage and Exculpatory Provision

How to fill out Service Agreement Between Internet Service Provider And Subscriber With A Liquidated Damage And Exculpatory Provision?

US Legal Forms - one of the largest collections of legal documents in the United States - offers a broad selection of legal form templates that you can download or print.

By using the website, you can access thousands of forms for business and personal purposes, organized by categories, states, or keywords.

You can obtain the latest versions of forms such as the Colorado Service Agreement between Internet Service Provider and Subscriber with a Liquidated Damage and Exculpatory Provision in just minutes.

Read the form description to ensure you have selected the correct one.

If the form does not meet your requirements, utilize the Search field at the top of the screen to find one that does.

  1. If you are already registered, Log In and download the Colorado Service Agreement between Internet Service Provider and Subscriber with a Liquidated Damage and Exculpatory Provision from the US Legal Forms library.
  2. The Download button will appear on every form you view.
  3. You can access all previously saved forms in the My documents section of your account.
  4. If you want to use US Legal Forms for the first time, here are some simple steps to help you get started.
  5. Ensure you select the correct form for your city/state.
  6. Use the Preview button to review the form's details.

Form popularity

FAQ

A liquidated damages clause is generally enforceable if it meets legal standards and genuinely reflects anticipated harm resulting from a breach. It should be carefully drafted to avoid being perceived as a penalty. When creating a Colorado Service Agreement between Internet Service Provider and Subscriber with a Liquidated Damage and Exculpatory Provision, consider consulting legal resources or platforms like uslegalforms for guidance.

A liquidated damages clause can be ruled unenforceable if it is excessively punitive or not reflective of potential damages. Courts look for a reasonable relationship between the clause and the anticipated harm. To avoid this, ensure that your Colorado Service Agreement between Internet Service Provider and Subscriber with a Liquidated Damage and Exculpatory Provision establishes fair and realistic amounts.

A clause may become unenforceable if it violates state law, is ambiguous, or is deemed unconscionable. Additionally, if the terms are unfairly balanced against one party, courts may refuse to enforce it. Understanding these factors is crucial when drafting a Colorado Service Agreement between Internet Service Provider and Subscriber with a Liquidated Damage and Exculpatory Provision.

To effectively use liquidated damages in a contract, clearly define the circumstances that trigger the clause and the specific amount of damages involved. This clarity helps prevent misunderstandings and disputes later on. For your Colorado Service Agreement between Internet Service Provider and Subscriber with a Liquidated Damage and Exculpatory Provision, ensure both parties understand the terms thoroughly before signing.

A liquidated damage provision may become unenforceable if it is deemed to be a penalty rather than a genuine pre-estimate of loss. Courts might rule it unenforceable if the amount significantly exceeds the actual damages that could arise from a breach. Thus, when drafting your Colorado Service Agreement between Internet Service Provider and Subscriber with a Liquidated Damage and Exculpatory Provision, it is vital to ensure that the stipulated damages are reasonable.

The damage clause in a service contract outlines the compensation one party can receive if the other party fails to comply with the terms of the agreement. In a Colorado Service Agreement between Internet Service Provider and Subscriber with a Liquidated Damage and Exculpatory Provision, this clause helps ensure that service standards are met. It gives subscribers a sense of security regarding the services provided, fostering trust.

The conditions for liquidated damages often revolve around the reasonableness of the estimate and the clarity of breach definitions within the agreement. In a Colorado Service Agreement between Internet Service Provider and Subscriber with a Liquidated Damage and Exculpatory Provision, liquidated damages should align with the actual harm that could result from a breach. Moreover, both parties must agree to these conditions during the drafting phase. Consulting tools like Uslegalforms can guide you in structuring these terms correctly.

To make liquidated damages enforceable in a Colorado Service Agreement between Internet Service Provider and Subscriber with a Liquidated Damage and Exculpatory Provision, you should ensure that the damages are truly a reasonable estimate of actual damages that might occur in the event of a breach. It is crucial to include detailed terms in the agreement that clearly outline the breach and the associated damages. Additionally, both parties must acknowledge and consent to these terms. Using platforms like Uslegalforms can help you draft clear provisions that comply with state laws.

To ensure a liquidated damages clause is enforceable in a Colorado Service Agreement between Internet Service Provider and Subscriber, it should be reasonable and not punitive. Courts require that the amount reflects a valid pre-estimate of damages at the time the contract was formed. Furthermore, the clause must be clear and explicitly stated within the agreement to avoid ambiguity.

In Colorado, a contract becomes legally binding when it includes an offer, acceptance, consideration, and mutual intent to create an obligation. Specifically, a Colorado Service Agreement between Internet Service Provider and Subscriber with a Liquidated Damage and Exculpatory Provision should be in writing for clarity. Additionally, both parties must have the capacity to enter into the contract, ensuring it is enforceable.

Trusted and secure by over 3 million people of the world’s leading companies

Colorado Service Agreement between Internet Service Provider and Subscriber with a Liquidated Damage and Exculpatory Provision