Alabama Petition to for Restraining Order due to Domestic Violence

State:
Multi-State
Control #:
US-02223BG
Format:
Word; 
Rich Text
Instant download

Description

A restraining order is a court order restricting a person from doing something. It can be temporary or permanent. For example, a court order prohibiting family violence is a restraining order. This type of order is issued most commonly in cases of domestic violence. The court order can prohibit a person from harassing, threatening, and sometimes merely contacting or approaching another specified person. A court may grant an ex parte restraining order in a family-violence case if it is necessary to (1) achieve the government's interest in protecting victims of family violence from further abuse, (2) ensure prompt action where there is an immediate threat of danger, and (3) provide governmental control by ensuring that judges grant such orders only where there is an immediate danger of such abuse.

Free preview
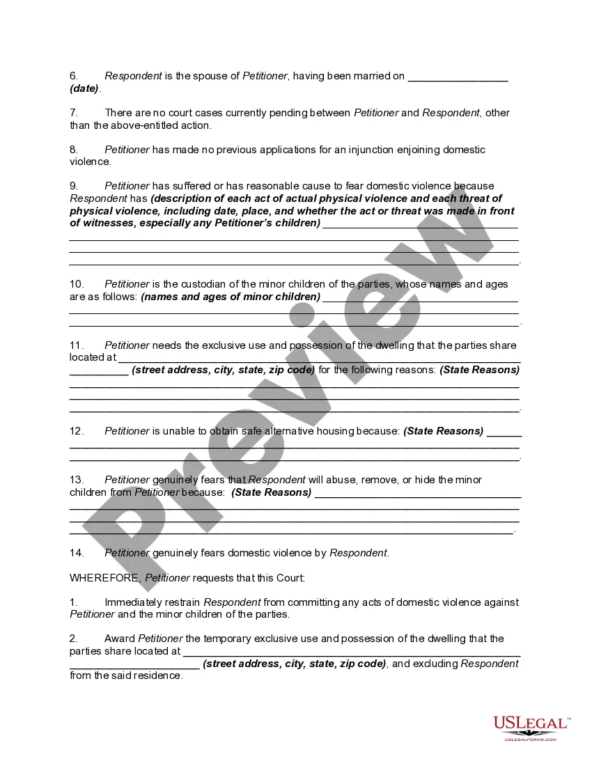
  • Preview Petition to for Restraining Order due to Domestic Violence
  • Preview Petition to for Restraining Order due to Domestic Violence
  • Preview Petition to for Restraining Order due to Domestic Violence
  • Preview Petition to for Restraining Order due to Domestic Violence

How to fill out Petition To For Restraining Order Due To Domestic Violence?

You are able to spend hours on the web attempting to find the lawful file template that suits the state and federal requirements you need. US Legal Forms gives a huge number of lawful kinds which can be reviewed by specialists. You can actually obtain or print out the Alabama Petition to for Restraining Order due to Domestic Violence from your services.

If you already possess a US Legal Forms profile, you can log in and click the Obtain key. Next, you can total, revise, print out, or signal the Alabama Petition to for Restraining Order due to Domestic Violence. Every single lawful file template you get is your own property forever. To acquire yet another backup associated with a purchased kind, check out the My Forms tab and click the corresponding key.

If you are using the US Legal Forms internet site initially, keep to the basic instructions below:

  • Initial, make certain you have selected the right file template for the county/city of your liking. See the kind explanation to ensure you have picked out the proper kind. If offered, use the Preview key to search from the file template as well.
  • If you want to locate yet another variation in the kind, use the Research area to discover the template that meets your requirements and requirements.
  • After you have discovered the template you would like, just click Buy now to continue.
  • Find the rates program you would like, type your credentials, and register for a free account on US Legal Forms.
  • Total the transaction. You can utilize your Visa or Mastercard or PayPal profile to purchase the lawful kind.
  • Find the formatting in the file and obtain it in your product.
  • Make adjustments in your file if needed. You are able to total, revise and signal and print out Alabama Petition to for Restraining Order due to Domestic Violence.

Obtain and print out a huge number of file web templates utilizing the US Legal Forms website, that provides the greatest assortment of lawful kinds. Use specialist and condition-certain web templates to deal with your small business or individual requirements.

Form popularity

FAQ

Restraining orders not only disrupt your life; they can also be damaging to your personal and professional reputation. A restraining order becomes part of the public record, meaning that anyone who runs a public record search online in the State of Alabama can find out about the case and the order.

Section 8-19-8 - Restraining orders (a) Whenever the office of the Attorney General or the office of the district attorney has reason to believe that any person is engaging in, has engaged in or is about to engage in any act or practice declared to be unlawful by this chapter, the Attorney General or the district ...

Restrain and enjoin the defendant from harassing, stalking, annoying, threatening, or engaging in conduct that would place the plaintiff, minors, children of the plaintiff, or any other person designated by the court in reasonable fear of bodily injury or from contacting the plaintiff or children of the plaintiff.

A: A PFA order is entered against the Defendant, and not against the Plaintiff. So in most PFA situations, there is no violation if the Plaintiff contacts the defendant- unless the defendant responds.

Under Ala. Code § 30-5A-3, violating a protection order is a Class A misdemeanor which carries a sentence of up to a year of imprisonment and/or a $6,000 fine.

Ing to Ala. Code § 30-5A-4, an individual can be arrested for violating any provision that is listed in a protective order that has been formally served or has received sufficient notice that the protection order has been issued.

Harassment in Alabama Harassment is defined by Ala. Code Ann. § 13A-11-8(a) as touching or subjecting a person to physical contact with intent to harass, annoy, or alarm that person. Harassment also includes threats that a person intends to carry out that would cause a reasonable person to fear for his or her safety.

(a) A person commits the crime of violation of a domestic violence protection order if the person knowingly commits any act prohibited by a domestic violence protection order or willfully fails to abide by any term of a domestic violence protection order.

Trusted and secure by over 3 million people of the world’s leading companies

Alabama Petition to for Restraining Order due to Domestic Violence