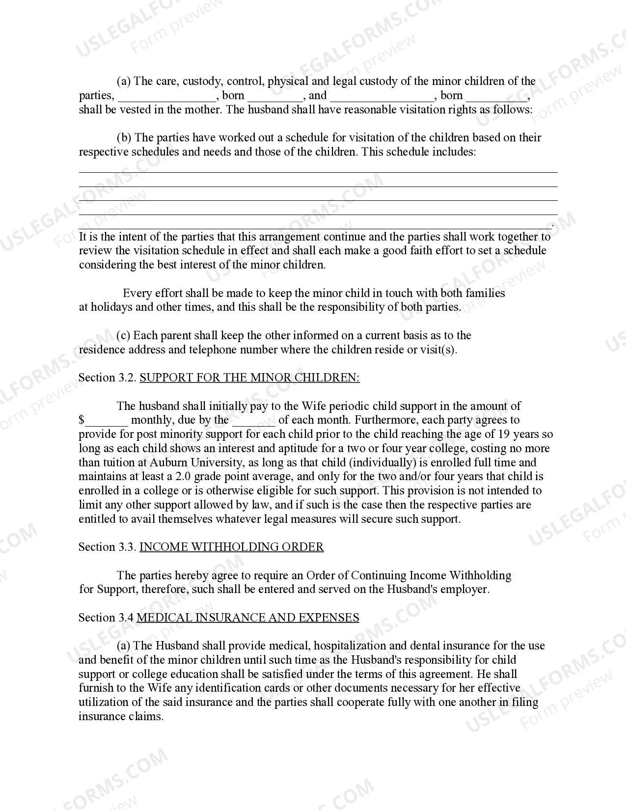
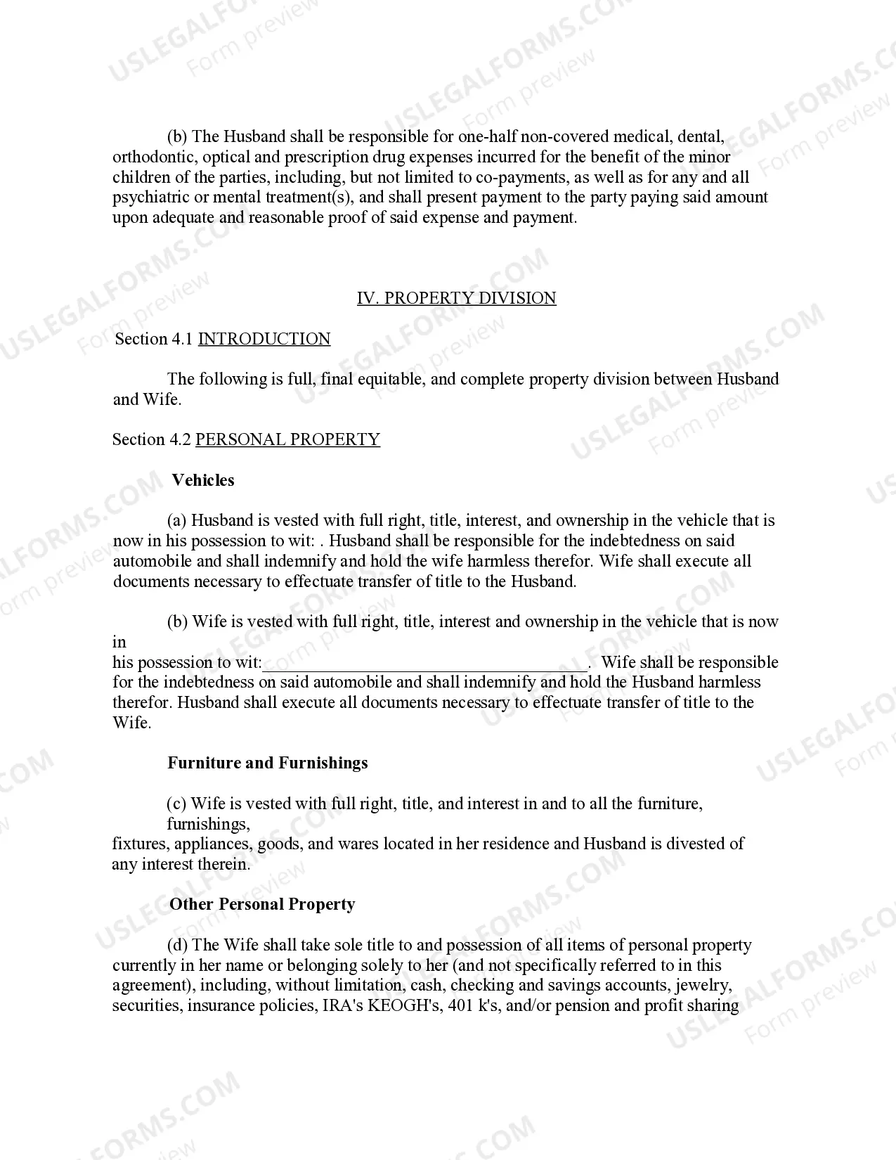
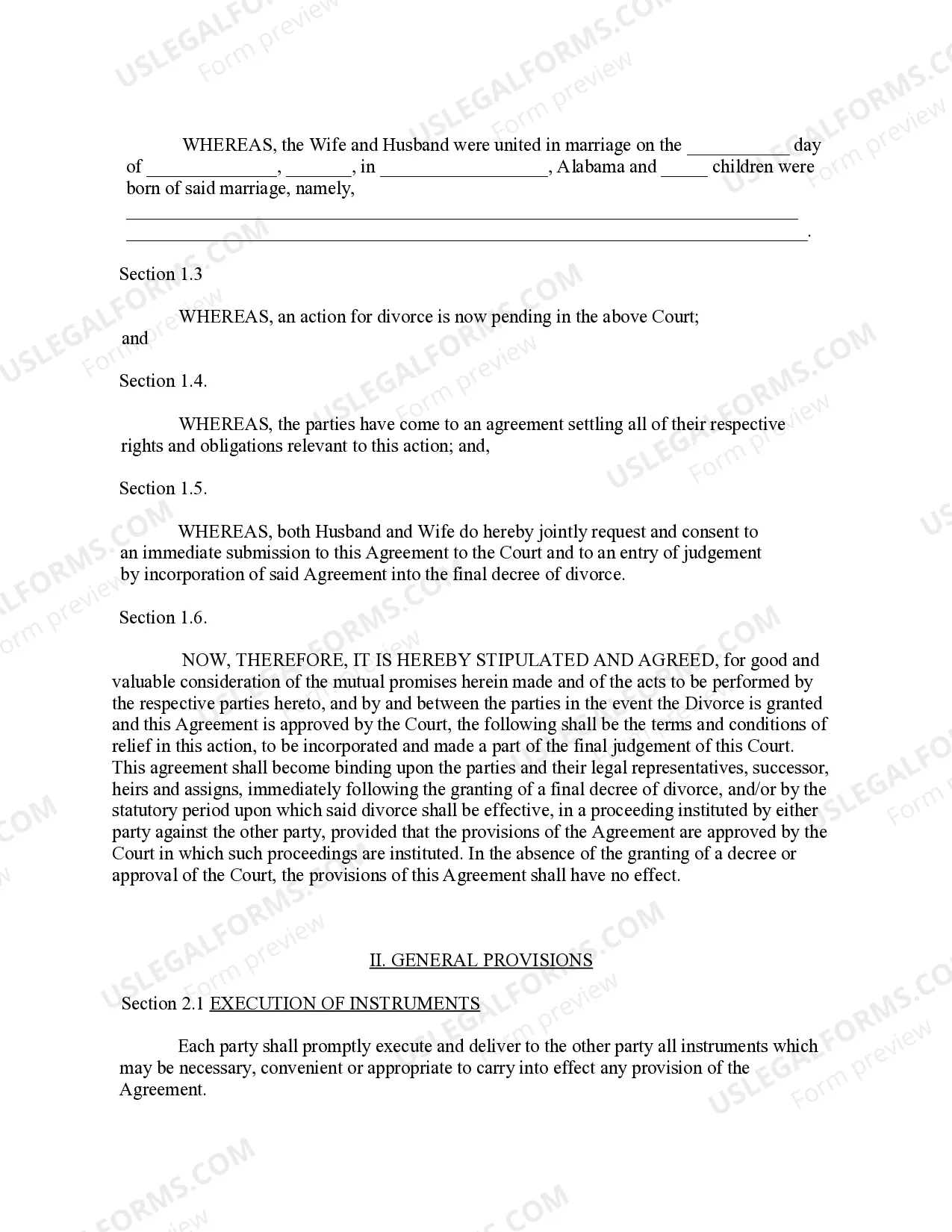
The Marital Settlement Agreement is a legal document used to finalize the terms of a divorce between married individuals. It outlines agreements on property division, custody, and support, ensuring that both parties can settle their affairs amicably. This form differs from other divorce-related forms because it specifically focuses on the comprehensive terms of settlement that both spouses agree upon, which can later be incorporated into the final divorce decree.
This form is appropriate when a couple has decided to divorce and has reached an agreement on the division of their assets, child custody, and support arrangements. It is beneficial in situations where both parties wish to ensure their rights are respected and responsibilities are clearly defined. The agreement can streamline the divorce process by providing clarity and reducing potential conflicts.
Individuals who should consider this form include:
In most cases, this form does not require notarization. However, some jurisdictions or signing circumstances might. US Legal Forms offers online notarization powered by Notarize, accessible 24/7 for a quick, remote process.
Our built-in tools help you complete, sign, share, and store your documents in one place.
Make edits, fill in missing information, and update formatting in US Legal Forms—just like you would in MS Word.
Download a copy, print it, send it by email, or mail it via USPS—whatever works best for your next step.
Sign and collect signatures with our SignNow integration. Send to multiple recipients, set reminders, and more. Go Premium to unlock E-Sign.
If this form requires notarization, complete it online through a secure video call—no need to meet a notary in person or wait for an appointment.
We protect your documents and personal data by following strict security and privacy standards.

Make edits, fill in missing information, and update formatting in US Legal Forms—just like you would in MS Word.

Download a copy, print it, send it by email, or mail it via USPS—whatever works best for your next step.

Sign and collect signatures with our SignNow integration. Send to multiple recipients, set reminders, and more. Go Premium to unlock E-Sign.

If this form requires notarization, complete it online through a secure video call—no need to meet a notary in person or wait for an appointment.

We protect your documents and personal data by following strict security and privacy standards.
This Marital Settlement Agreement serves as a legally binding document once it is approved by the court. It outlines each party's rights and obligations and helps prevent future disputes. Non-compliance can lead to legal consequences, making it crucial for both parties to adhere to the terms established in the agreement.
In Alabama, there is no specific duration of marriage required to qualify for half of the marital property; instead, the key factor is the concept of equitable distribution. However, marriages lasting longer may lead to larger claims under the Alabama Marital Settlement Agreement. To navigate this process effectively, consulting with a legal expert is beneficial.
After 20 years of marriage in Alabama, a wife may be entitled to a significant portion of the marital assets, which can include property, retirement benefits, and possibly alimony. The Alabama Marital Settlement Agreement helps define these entitlements and ensures a smooth transition during the divorce process. It's advisable to seek professional advice to accurately assess your situation.
In a divorce in Alabama, a spouse is typically entitled to an equitable distribution of marital property, which may include assets, debts, and alimony considerations. The Alabama Marital Settlement Agreement can play a crucial role in outlining these entitlements clearly, ensuring both parties understand their rights. Legal advice is recommended for a comprehensive understanding of individual circumstances.
In Alabama, the amount of alimony a wife can receive varies based on several factors such as the length of the marriage, the standard of living during the marriage, and the financial condition of both spouses. The Alabama Marital Settlement Agreement can clarify alimony arrangements, helping couples reach a fair decision. It's essential to consult with a legal professional for accurate guidance tailored to your situation.
Yes, you can look up divorces in Nebraska through public court records. These records often include details about divorce cases, including any marital settlement agreements filed. Access may vary based on technology availability in different counties. To find comprehensive and reliable information, you might consider visiting Nebraska's official judicial website.
Yes, you can check if someone is getting divorced through public record databases. These databases typically include court filings, which denote pending divorce cases, including any filed Alabama Marital Settlement Agreements. However, the level of information available can depend on local laws and regulations. For specific inquiries, visit the relevant court's website.
Yes, once you file a marital settlement agreement in Alabama, it becomes a public record. This means the document can be accessed by anyone interested, including third parties. It's crucial to consider the implications of disclosing personal financial details when drafting these agreements. To keep your agreement organized, using platforms like USLegalForms can streamline the process.
In Alabama, there is no specific minimum duration of marriage required to qualify for a division of assets or debts during a divorce. The law emphasizes equitable distribution, which means that even short marriages could result in a fair division based on circumstances. Each case is different, and factors like contributions, needs, and agreements play significant roles. An Alabama Marital Settlement Agreement can outline these distributions clearly.
In Alabama, marital settlement agreements, once filed with the court, typically become public records. Therefore, anyone can view these documents, including financial details and arrangements made by the parties. It’s important to understand what information is included and how it can be accessed. Using a service like USLegalForms can help you prepare these agreements securely.
Yes, filing for divorce in the USA is generally considered a public record, including in Alabama. This means that anyone can access these records, which may include the Alabama Marital Settlement Agreement if it has been filed with the court. However, specific details about the case may vary by state and local jurisdiction. Always check your local court's regulations for accurate information.