Alaska Shareholders' Buy-sell Agreement for Professional Corporation with Option to Purchase Shares on Termination of Employment or Death of Shareholder -- Purchase by Corporation or Remaining Shareholders

State:
Multi-State
Control #:
US-0944BG
Format:
Word; 
Rich Text
Instant download

Description

Shareholders' Buy-sell Agreement for Professional Corporation with Option to Purchase Shares on Termination of Employment or Death of Shareholder -- Purchase by Corporation or Remaining Shareholders
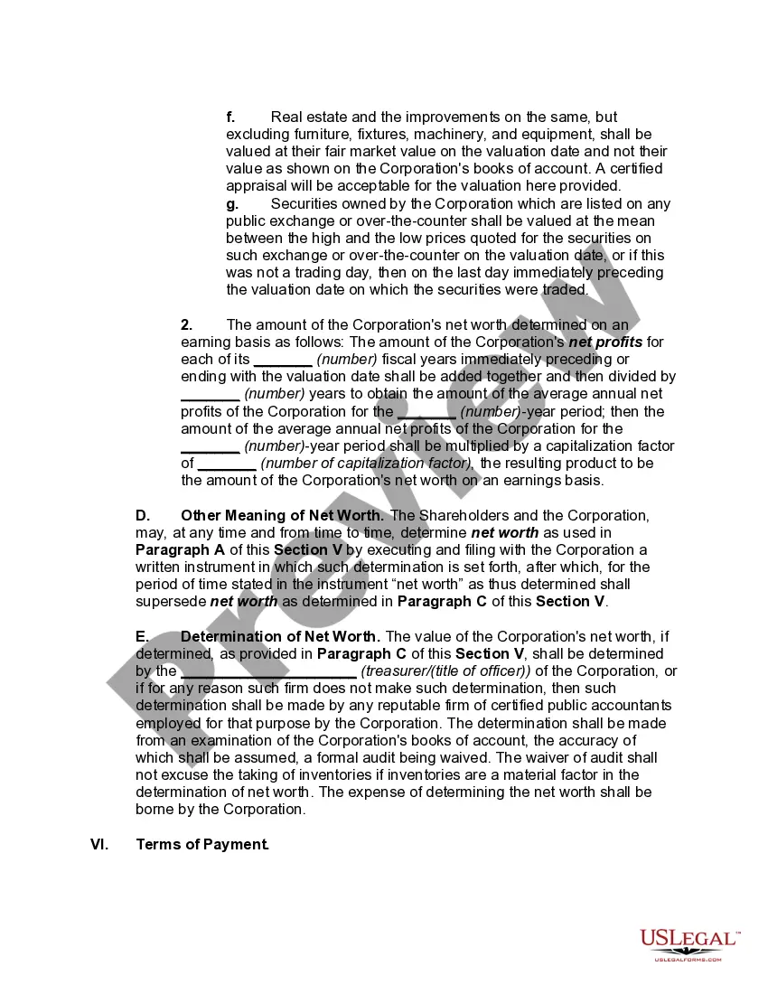
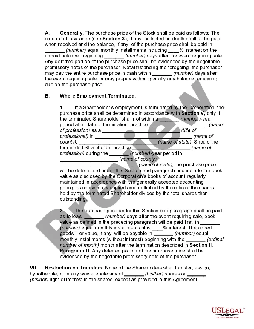
A buy-sell agreement is an agreement between partners of a partnership or between a shareholder and a corporation whereby the parties agree to the terms and conditions of a future sale of the partners or shareholder's interest. By signing the agreement, the party contractually limits his or her ability to dispose of his or her interest in the partnership or corporation to the terms of the agreement.
A buy-sell agreement is useful in assuring the orderly transfer of interests in the partnership or corporation. By limiting a party's ability to dispose of his or her interest in the partnership or corporation, control of the partnership or corporation may be assured.
Free preview
  • Preview Shareholders' Buy-sell Agreement for Professional Corporation with Option to Purchase Shares on Termination of Employment or Death of Shareholder -- Purchase by Corporation or Remaining Shareholders
  • Preview Shareholders' Buy-sell Agreement for Professional Corporation with Option to Purchase Shares on Termination of Employment or Death of Shareholder -- Purchase by Corporation or Remaining Shareholders
  • Preview Shareholders' Buy-sell Agreement for Professional Corporation with Option to Purchase Shares on Termination of Employment or Death of Shareholder -- Purchase by Corporation or Remaining Shareholders
  • Preview Shareholders' Buy-sell Agreement for Professional Corporation with Option to Purchase Shares on Termination of Employment or Death of Shareholder -- Purchase by Corporation or Remaining Shareholders
  • Preview Shareholders' Buy-sell Agreement for Professional Corporation with Option to Purchase Shares on Termination of Employment or Death of Shareholder -- Purchase by Corporation or Remaining Shareholders
  • Preview Shareholders' Buy-sell Agreement for Professional Corporation with Option to Purchase Shares on Termination of Employment or Death of Shareholder -- Purchase by Corporation or Remaining Shareholders
  • Preview Shareholders' Buy-sell Agreement for Professional Corporation with Option to Purchase Shares on Termination of Employment or Death of Shareholder -- Purchase by Corporation or Remaining Shareholders
  • Preview Shareholders' Buy-sell Agreement for Professional Corporation with Option to Purchase Shares on Termination of Employment or Death of Shareholder -- Purchase by Corporation or Remaining Shareholders

Form popularity

Trusted and secure by over 3 million people of the world’s leading companies

Alaska Shareholders' Buy-sell Agreement for Professional Corporation with Option to Purchase Shares on Termination of Employment or Death of Shareholder -- Purchase by Corporation or Remaining Shareholders