Any Child Support Without Visitation

State:
Multi-State
Control #:
US-02755BG
Format:
Word; 
Rich Text
Instant download

Description

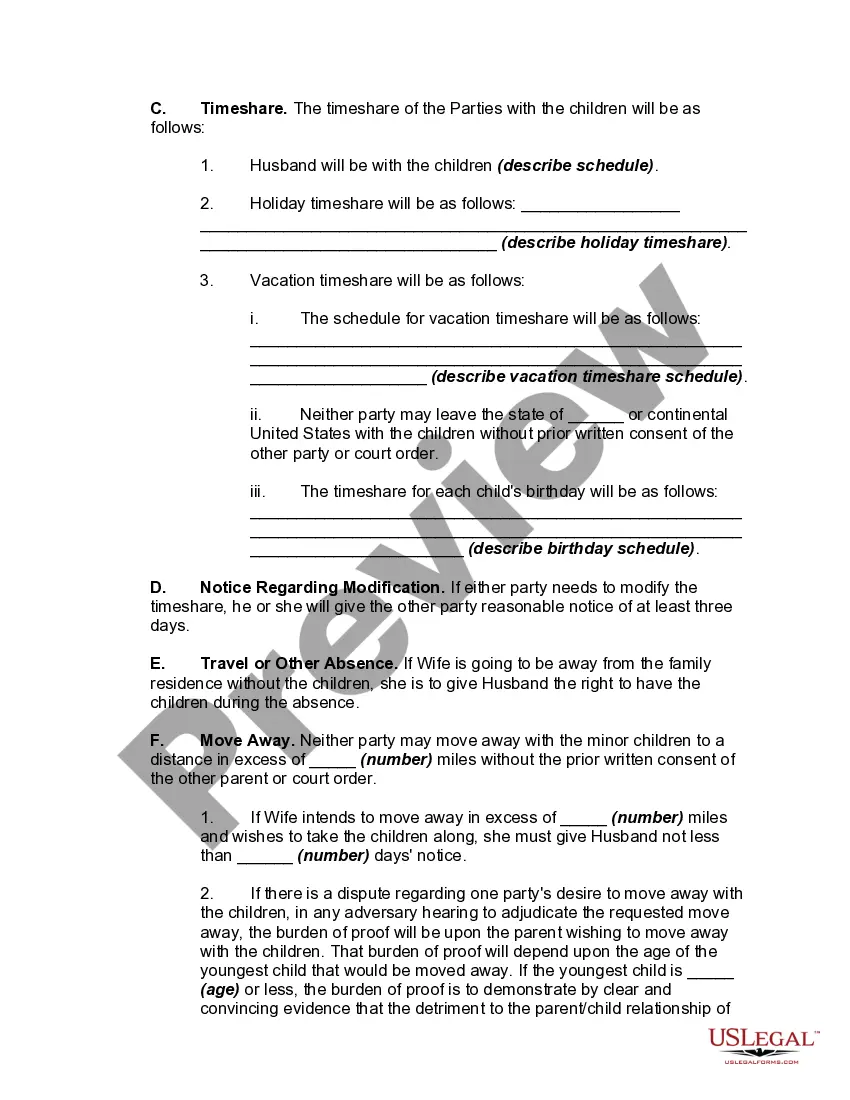
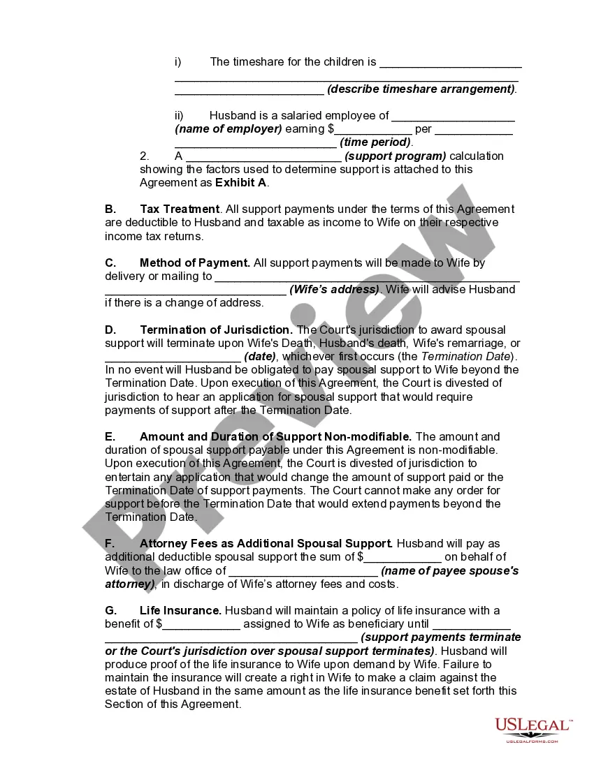
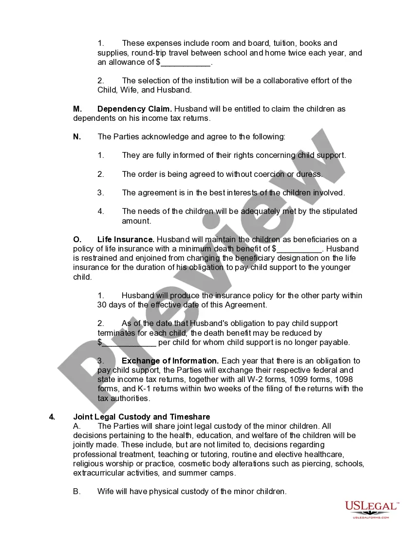
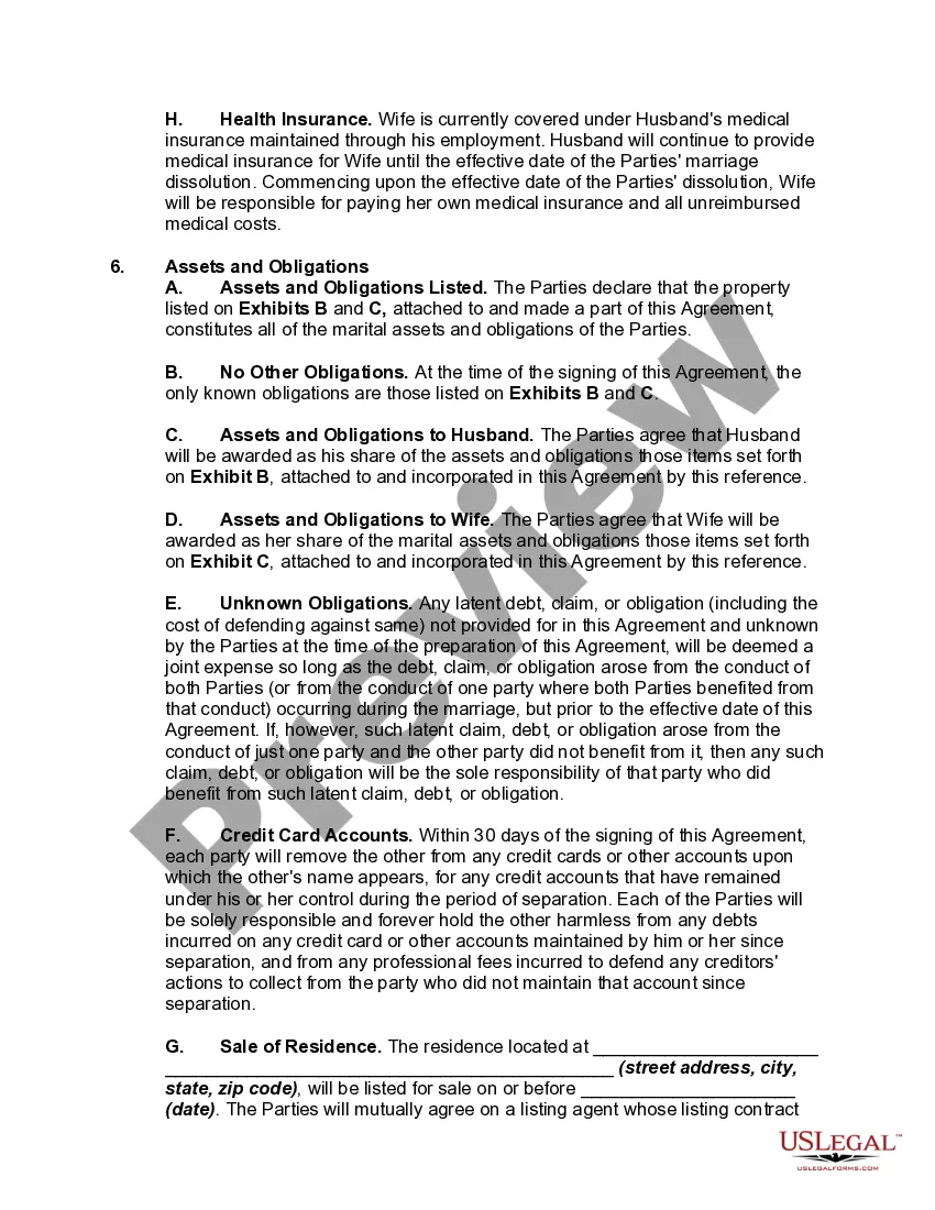
The document is a Marital Settlement Agreement that specifically addresses child support without visitation rights. It outlines the agreement between the parties regarding their responsibilities for child support, detailing the amount to be paid monthly, the duration of payments until the children reach a certain age, and how health care and educational expenses will be divided. It emphasizes that joint legal custody is shared but physical custody is designated primarily to one partner. Key features include a thorough breakdown of child support obligations, provisions for health insurance, and clear methods for payment. This agreement can benefit attorneys, partners, and legal assistants who need to navigate custody and support issues efficiently, facilitating better understanding of obligations. Paralegals will appreciate the structured layout for easy fill-in and modification according to individual cases. Overall, the document serves as a comprehensive resource for anyone involved in divorce or custody proceedings, ensuring clear terms for child support without visitation.
Free preview
  • Preview Marital Settlement Agreement Dealing with Domiciliary Custody and Moving Away
  • Preview Marital Settlement Agreement Dealing with Domiciliary Custody and Moving Away
  • Preview Marital Settlement Agreement Dealing with Domiciliary Custody and Moving Away
  • Preview Marital Settlement Agreement Dealing with Domiciliary Custody and Moving Away
  • Preview Marital Settlement Agreement Dealing with Domiciliary Custody and Moving Away
  • Preview Marital Settlement Agreement Dealing with Domiciliary Custody and Moving Away
  • Preview Marital Settlement Agreement Dealing with Domiciliary Custody and Moving Away
  • Preview Marital Settlement Agreement Dealing with Domiciliary Custody and Moving Away
  • Preview Marital Settlement Agreement Dealing with Domiciliary Custody and Moving Away
  • Preview Marital Settlement Agreement Dealing with Domiciliary Custody and Moving Away
  • Preview Marital Settlement Agreement Dealing with Domiciliary Custody and Moving Away

How to fill out Marital Settlement Agreement Dealing With Domiciliary Custody And Moving Away?

Whether you handle documentation frequently or occasionally need to submit a legal report, it is essential to find a source of information where all the samples are pertinent and current.

The initial step you need to take with an Any Child Support Without Visitation is to confirm that it is the most recent version, as it determines its eligibility for submission.

If you wish to streamline your search for the most recent document examples, look for them on US Legal Forms.

Utilize the search menu to locate the form you need.

  1. US Legal Forms is a compilation of legal documents that includes almost any sample you might seek.
  2. Search for the templates you require, evaluate their applicability immediately, and learn more about their purpose.
  3. With US Legal Forms, you have access to approximately 85,000 form templates across a broad range of fields.
  4. Find the Any Child Support Without Visitation examples in just a few clicks and store them any time in your account.
  5. A US Legal Forms account will assist you in accessing all the samples you need conveniently and with reduced hassle.
  6. You only need to click Log In in the site header and navigate to the My documents section with all the forms you require at your disposal, eliminating the need to spend time either searching for the ideal template or verifying its authenticity.
  7. To obtain a form without an account, follow these procedures.

Form popularity

FAQ

If your child resists going to see their father, it is important to understand their perspective and validate their feelings. Open dialogue helps to foster trust and can identify underlying issues. If necessary, consider seeking mediation or resources like US Legal Forms to facilitate a smoother transition for your child. Addressing any child support without visitation can also be part of a balanced solution that prioritizes your child's needs.

While there is no specific age for children to express their preference about visitation, courts often consider a child's opinions starting around the age of 12. At this age, children typically possess the maturity to understand the implications of their feelings. However, the court will assess each situation individually, factoring in the child's best interests alongside any child support without visitation.

If your child does not want to visit their father, it is crucial to communicate openly with them about their feelings. Listen to their concerns and try to understand the root of their discomfort. In some cases, professional help can provide guidance in addressing these emotions. You can also explore options for any child support without visitation to focus on your child's best interests.

Yes, children can express their feelings about visiting a parent. However, their wishes may not dictate the final decision in a custody arrangement. Courts often consider the child's opinion based on their age and maturity. It is essential to navigate these feelings carefully, especially when discussing any child support without visitation.

You have the right to refuse child support payments; however, that does not eliminate the legal obligations of your ex. If your living situation changes, or if you want to terminate support, it's best to go through the legal system for official documentation. Any child support without visitation can complicate your rights, so it is beneficial to seek legal advice. The US Legal Forms platform offers tools and information to assist you with this process.

Legally, one cannot opt out of parenthood or the responsibilities associated with being a father. Child support obligations typically remain regardless of whether visitation rights exist. In cases of any child support without visitation, it’s essential to understand your rights and obligations. Consulting with a family law attorney can help clarify your situation.

Fathers cannot opt out of child support responsibilities as they are typically mandated by the court. However, in specific situations, such as a significant change in income or agreement from the other parent, modifications may be possible. When discussing any child support without visitation, it's crucial to have legal representation to explore your options. US Legal Forms offers resources to help navigate such situations effectively.

In general, a father cannot simply remove himself from child support obligations without a court order. If you believe you have valid reasons, such as a change in financial circumstances, you need to petition the court for a modification. It’s advisable to consult with a legal expert on any child support without visitation. Using the US Legal Forms platform can help guide you through this process.

If your child expresses a desire not to visit their father, it is vital to consider the child's feelings while also addressing legal aspects. A child's preference can influence visitation agreements but does not solely determine child support decisions. Ensuring your child feels safe and valued is essential, and consulting with a legal expert or using services like US Legal Forms can help protect your rights while considering your child's wishes.

You can certainly file for any child support without visitation. The filing process does not mandate that you establish a visitation agreement first. It's important to gather your documentation and present your case clearly, as the court will focus on the child's needs. Utilizing resources from US Legal Forms can streamline this process and provide necessary guidance.

Trusted and secure by over 3 million people of the world’s leading companies

Any Child Support Without Visitation