• US Legal Forms

Example Of Service Contract Agreement

State:
Multi-State
Control #:
US-02000BG
Format:
Word; 
Rich Text
Instant download

Description

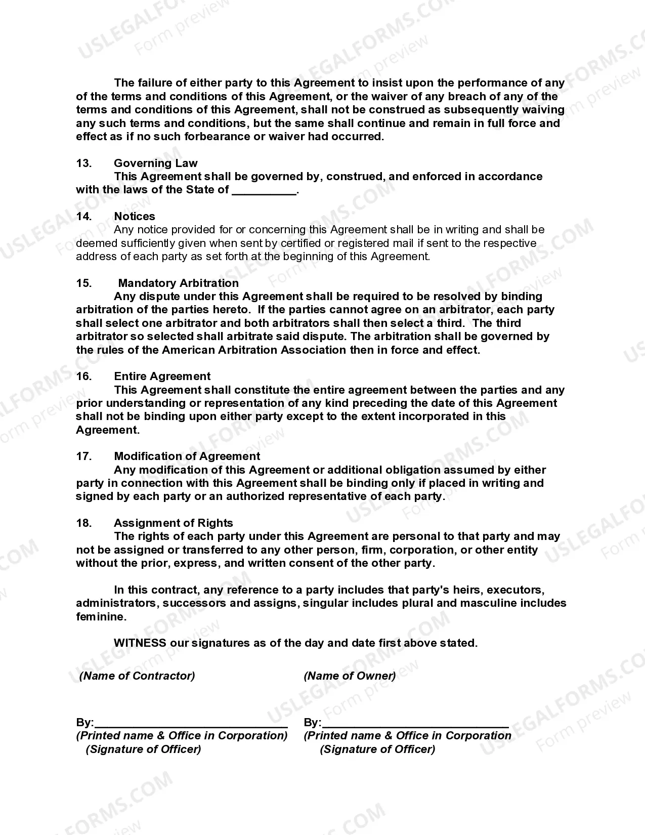
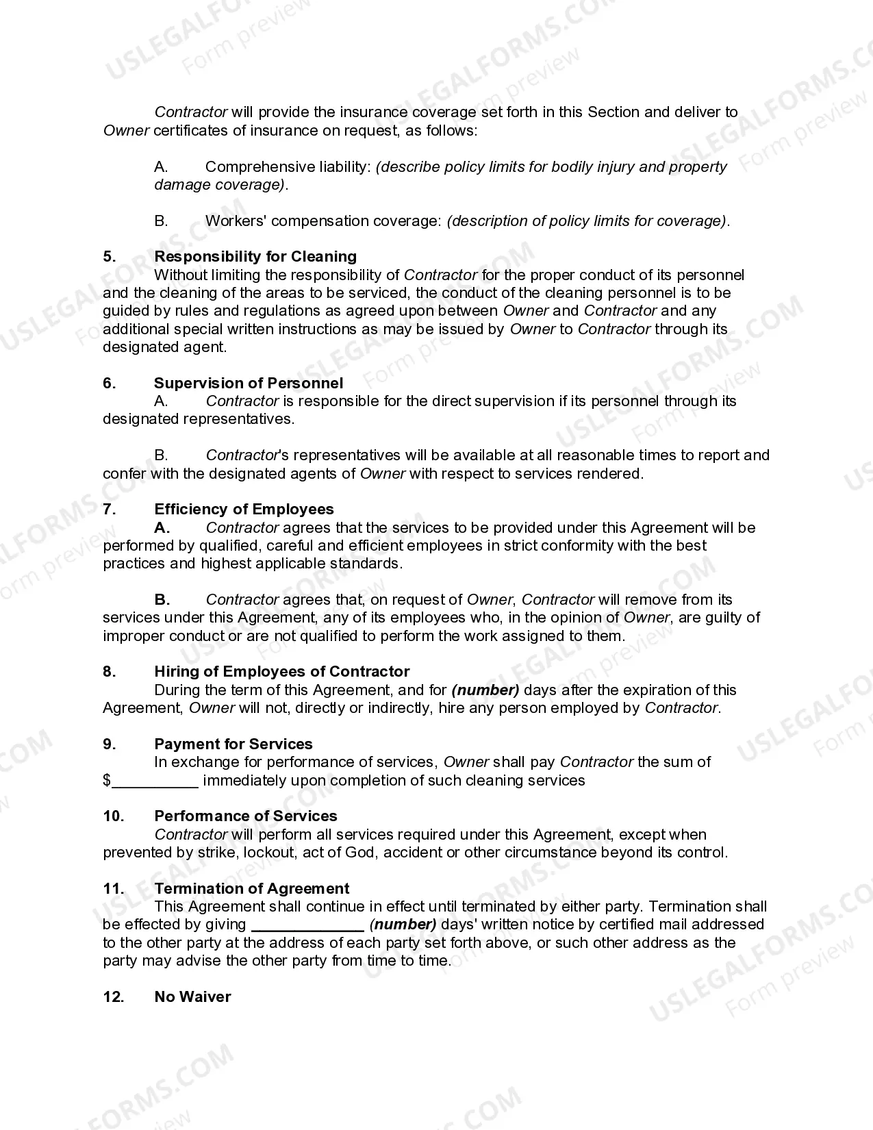
The Example of Service Contract Agreement outlines the terms between an Owner and a Contractor providing carpet and upholstery cleaning services. The document specifies the services to be performed, the responsibilities of both parties, and the financial arrangements. Key features include clauses on employee management, insurance requirements, safeguards, and procedures for supervision. It also covers termination processes, no waiver, governing law, notices, mandatory arbitration, and modification of the agreement. This contract is particularly useful for attorneys, partners, owners, associates, paralegals, and legal assistants as it provides a clear framework for service agreements and helps in managing legal obligations effectively. The form can be filled by entering specific details relevant to the parties involved, ensuring compliance and clarity in expectations. Users can edit the form to fit their particular service needs and company policies, making it versatile for both home and commercial service contexts.
Free preview
  • Preview Home and Commercial Carpet and Upholstery Cleaning Services Agreement
  • Preview Home and Commercial Carpet and Upholstery Cleaning Services Agreement
  • Preview Home and Commercial Carpet and Upholstery Cleaning Services Agreement

How to fill out Home And Commercial Carpet And Upholstery Cleaning Services Agreement?

Regardless of whether it is for corporate reasons or personal issues, everyone must confront legal circumstances at some point in their lives.

Completing legal documents requires meticulous attention, starting with choosing the appropriate form prototype.

With an extensive US Legal Forms catalog available, you will never need to waste time searching for the correct template online. Utilize the library’s simple navigation to find the right template for any circumstance.

  1. For instance, if you choose an incorrect version of a Sample Service Contract Agreement, it will be rejected once submitted.
  2. Thus, it is crucial to have a reliable source of legal documents such as US Legal Forms.
  3. If you need to obtain a Sample Service Contract Agreement, follow these straightforward steps.
  4. Search for the template you require using the search bar or through the catalog.
  5. Check the form’s details to confirm it corresponds to your case, region, and jurisdiction.
  6. Click on the form’s preview to examine it.
  7. If it is the incorrect form, return to the search tool to find the Sample Service Contract Agreement you need.
  8. Acquire the template if it fulfills your criteria.
  9. If you already possess a US Legal Forms account, click Log in to access previously stored files in My documents.
  10. If you do not have an account yet, you can obtain the form by clicking Buy now.
  11. Select the appropriate pricing option.
  12. Fill out the profile registration form.
  13. Choose your payment method: either credit card or PayPal account.
  14. Select the file format desired and download the Sample Service Contract Agreement.
  15. Once downloaded, you can fill out the form using editing software or print it and complete it by hand.

Form popularity

FAQ

A simple contract might include an agreement between two acquaintances to exchange one service for another. For example, if one person is a plumber and the other an electrician, they might agree to complete certain work for each other as a trade exchange.

Write the contract in six steps Start with a contract template. ... Open with the basic information. ... Describe in detail what you have agreed to. ... Include a description of how the contract will be ended. ... Write into the contract which laws apply and how disputes will be resolved. ... Include space for signatures.

Service Contracts are agreements between a customer or client and a person or company who will be providing services. For example, a Service Contract might be used to define a work-agreement between a contractor and a homeowner. Or, a contract could be used between a business and a freelance web designer.

Your contract service agreement should include information on services being provided, compensation, taxes, terms and conditions of service, confidentiality clauses, warranties, force majeure clauses, indemnification clauses, limitation of liability clauses, and governing law and dispute resolution clauses.

Generally speaking, a service contract template should include: Parties involved. Project end date. Services to be provided. Payment process. Termination details. Amendments. Dispute resolution. A section for parties to sign.

Trusted and secure by over 3 million people of the world’s leading companies

Example Of Service Contract Agreement