Musician Contracts With

State:
Multi-State
Control #:
US-00923BG
Format:
Word; 
Rich Text
Instant download

Description

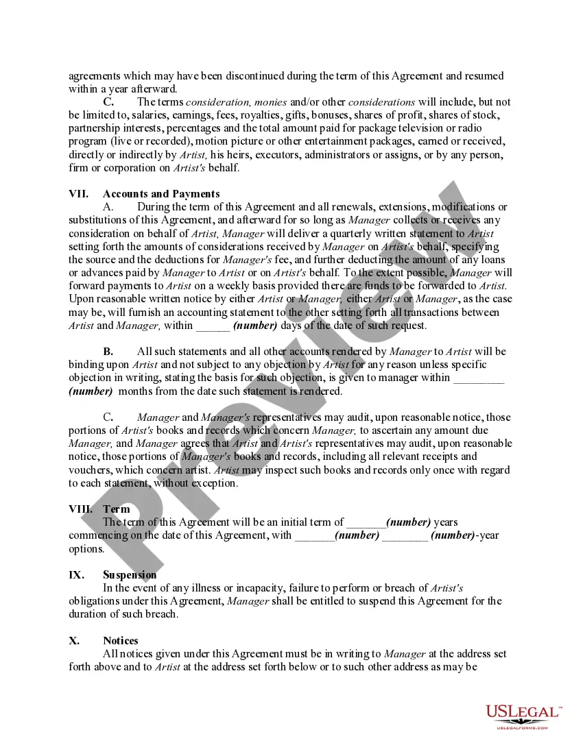
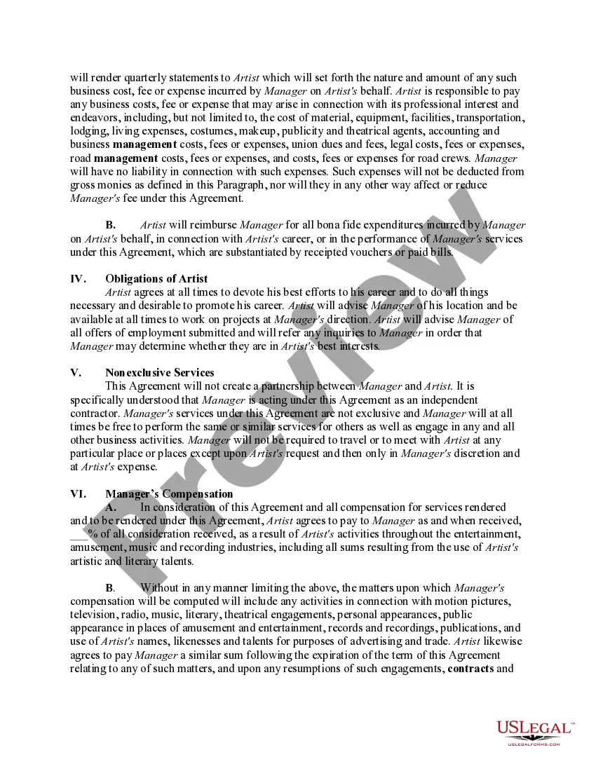
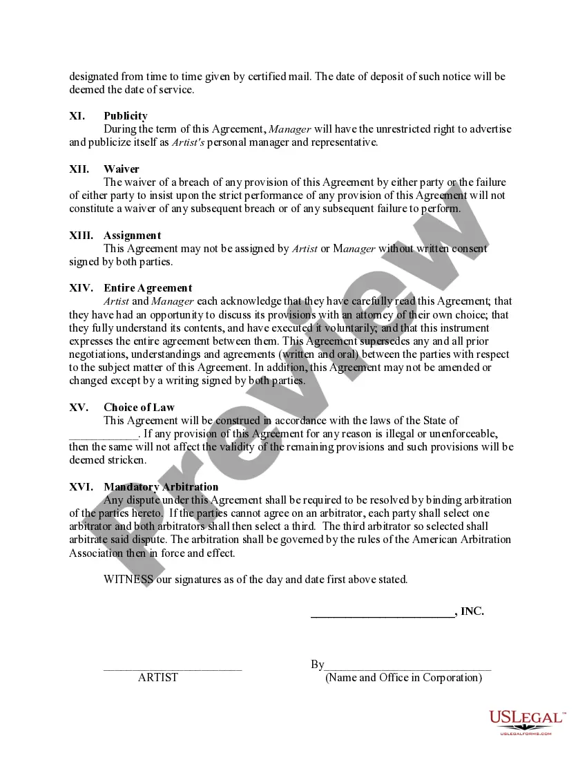
The Employment Agreement Between Musician and Personal Manager is a contractual document that outlines the terms of employment between an artist and their manager. This agreement emphasizes the manager's role as the artist's exclusive personal manager, detailing the services to be provided, such as business negotiations, publicity advice, and supervision of engagements. Key features include provisions for expense reimbursement, where the artist is responsible for any related costs incurred by the manager on their behalf. The manager's compensation is explicitly stated, typically defined as a percentage of the artist's earnings in the entertainment industry. The agreement also lays out obligations for both parties, with the artist required to prioritize their career and inform the manager of offers. It clarifies that the manager operates as an independent contractor rather than a partner and contains clauses on account management, termination terms, and dispute resolution through mandatory arbitration. This agreement is particularly useful for attorneys, business partners, owners, associates, paralegals, and legal assistants involved in the entertainment industry, providing a structured framework for managing the professional relationship between musicians and their representatives.
Free preview
  • Preview Employment Agreement Between Musician and Personal Manager
  • Preview Employment Agreement Between Musician and Personal Manager
  • Preview Employment Agreement Between Musician and Personal Manager
  • Preview Employment Agreement Between Musician and Personal Manager

How to fill out Employment Agreement Between Musician And Personal Manager?

Properly formulated official paperwork is one of the essential assurances for preventing complications and legal disputes, but acquiring it without an attorney's assistance may require time.

Whether you need to swiftly locate an up-to-date Musician Contracts With or other forms for employment, family, or business circumstances, US Legal Forms is always ready to assist.

The procedure is even more straightforward for current users of the US Legal Forms library. If your subscription is active, you only need to Log In to your account and click the Download button next to the chosen file. Furthermore, you can access the Musician Contracts With anytime, as all documents ever acquired on the platform remain accessible under the My documents section of your profile. Conserve time and resources on preparing official documents. Give US Legal Forms a try today!

  1. Ensure that the form fits your circumstances and locality by reviewing the description and preview.
  2. Search for an additional sample (if necessary) using the Search bar in the header of the page.
  3. Click on Buy Now once you find the suitable template.
  4. Choose a pricing option, sign in to your account or establish a new one.
  5. Select your preferred payment method to acquire the subscription plan (via credit card or PayPal).
  6. Choose either PDF or DOCX file format for your Musician Contracts With.
  7. Click Download, then print the document to complete it or upload it to an online editor.

Form popularity

FAQ

It's standard for acts to receive around 15% of revenue in traditional deals, 50% with indie labels, and generally between 65% and 85% with AWAL, depending on our level of involvement and the resources we provide. Industry legalese for sales is Exploitations, btw.

A Music Recording Contract should include the following:Recording company details (name, contact info)Artist details (group name, names of each artist, contact info)Production details, e.g. studio address, recording session dates, control over song selections on the recording, and control over album title.More items...

Think of it like a loan. The label invests in your music and development, then you pay them back a set amount from your earnings. The label also agrees to pay you a set share of money from recording sales known as the royalty rate.

In a production deal, the artist usually signs a 50/50 deal with a single producer. The producer agrees to produce one or more of an artist's album in entirety but retains 100% ownership of the master recordings.

A Music Recording Contract should include the following:Recording company details (name, contact info)Artist details (group name, names of each artist, contact info)Production details, e.g. studio address, recording session dates, control over song selections on the recording, and control over album title.More items...

Trusted and secure by over 3 million people of the world’s leading companies

Musician Contracts With