Real Estate Forms Lease Agreements

State:
Multi-State
Control #:
US-00861BG
Format:
Word; 
Rich Text
Instant download

Description

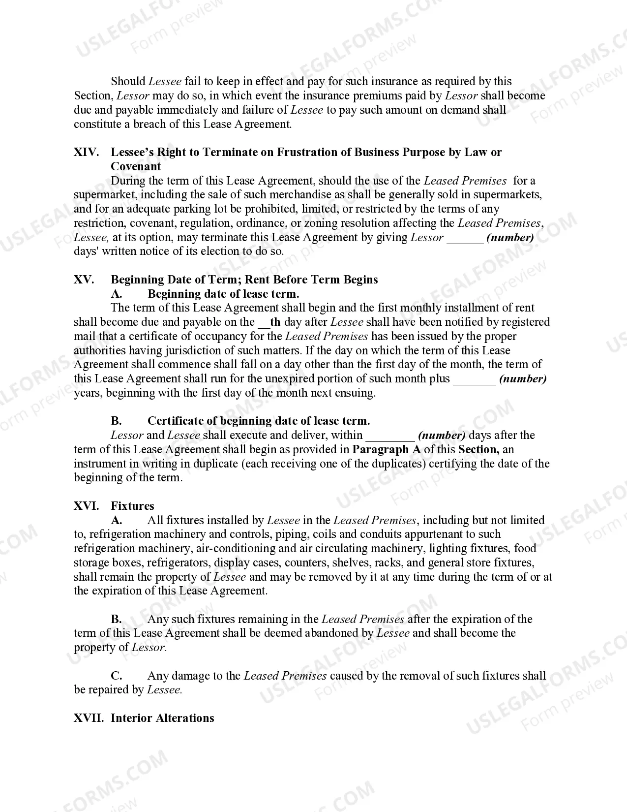
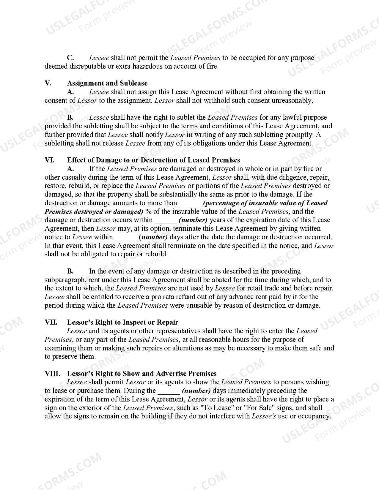
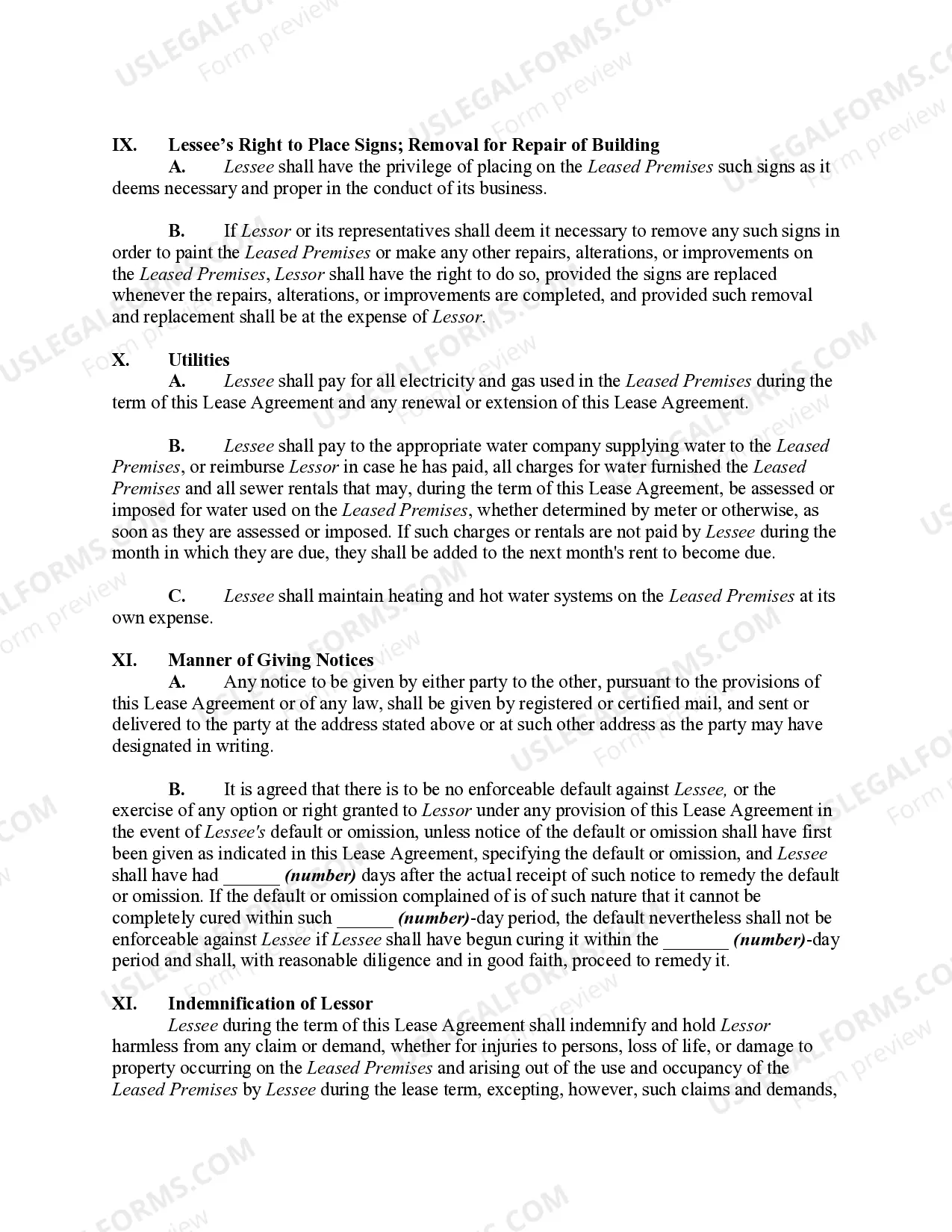
The Lease of Supermarket is a comprehensive lease agreement between a Lessor and a Lessee for a retail space intended for supermarket operations. It outlines essential elements, including the lease duration, rent payment terms, and responsibilities for repairs and maintenance. The agreement defines that the Lessee is responsible for interior repairs, while the Lessor handles exterior maintenance. Important compliance requirements with local laws and fire prevention regulations are also specified. The Lessee's rights regarding subleasing and the Lessor's rights to inspect the premises ensure operational transparency. Additionally, provisions for damage, insurance responsibilities, and scenarios regarding eminent domain are detailed. This form serves as a vital legal resource for parties involved in commercial property leasing, facilitating clear communication and understanding of obligations. Attorneys, partners, owners, associates, paralegals, and legal assistants will find this form useful for minimizing disputes and ensuring compliance with applicable regulations, thereby protecting their interests in commercial leases.
Free preview
  • Preview Lease of Supermarket - Real Estate Rental
  • Preview Lease of Supermarket - Real Estate Rental
  • Preview Lease of Supermarket - Real Estate Rental
  • Preview Lease of Supermarket - Real Estate Rental
  • Preview Lease of Supermarket - Real Estate Rental
  • Preview Lease of Supermarket - Real Estate Rental
  • Preview Lease of Supermarket - Real Estate Rental
  • Preview Lease of Supermarket - Real Estate Rental
  • Preview Lease of Supermarket - Real Estate Rental

How to fill out Lease Of Supermarket - Real Estate Rental?

Maneuvering through the red tape of official documentation and forms can be challenging, particularly if one is not engaged in that field professionally.

Even locating the correct form for a Real Estate Forms Lease Agreement can be labor-intensive, as it needs to be both valid and precise to the last numeral.

Nonetheless, you will need to invest considerably less time sourcing a suitable template from a reliable resource.

Acquire the correct form in just a few simple steps: Enter the title of the document in the search box, find the suitable Real Estate Forms Lease Agreement among the options, review the sample description or view its preview, if the template meets your requirements, click Buy Now, choose your subscription plan, use your email to create a secure password to register an account at US Legal Forms, select a credit card or PayPal for payment, and save the template file on your device in your chosen format. US Legal Forms can help you save a significant amount of time verifying whether the document you discovered online is appropriate for your needs. Create an account and gain unlimited access to all the templates you require.

  1. US Legal Forms serves as a platform that streamlines the process of locating the appropriate documents online.
  2. US Legal Forms is a singular location where one can find the latest examples of paperwork, verify their usage, and download these templates for completion.
  3. This repository contains over 85K forms that pertain to diverse sectors.
  4. While searching for a Real Estate Forms Lease Agreement, you will not have to doubt its authenticity as all documents are validated.
  5. Having an account with US Legal Forms guarantees you access to all essential paperwork at your fingertips.
  6. You can store them in your history or add them to the My documents catalog.
  7. Your saved documents can be accessed from any device simply by clicking Log In on the library's site.
  8. If you have not yet set up an account, you can always conduct a fresh search for the template you require.

Form popularity

FAQ

Microsoft Word's Free Lease Agreement Template is a wonderful template for creating a legally binding contract and setting ground rules between the landlord and the tenant.

The lease forms are on sale at offices of the Tribunal administratif du logement, in bookstores and through Publications du Quebec (1 800 463-2100).

Ten Terms To Include In Your Lease AgreementNames of all tenants.Limits on occupancy.Term of the tenancy.Rent.Deposits and fees.Repairs and maintenance.Entry to rental property.Restrictions on tenant illegal activity.More items...?

Here are some of the most important items to cover in your lease or rental agreement.Names of all tenants.Limits on occupancy.Term of the tenancy.Rent.Deposits and fees.Repairs and maintenance.Entry to rental property.Restrictions on tenant illegal activity.More items...?

Microsoft Word's Free Lease Agreement Template is a wonderful template for creating a legally binding contract and setting ground rules between the landlord and the tenant.

Trusted and secure by over 3 million people of the world’s leading companies

Real Estate Forms Lease Agreements