Example Of Wholesale Contract In Pima

State:
Multi-State
County:
Pima
Control #:
US-0005BG
Format:
Word; 
Rich Text
Instant download

Description

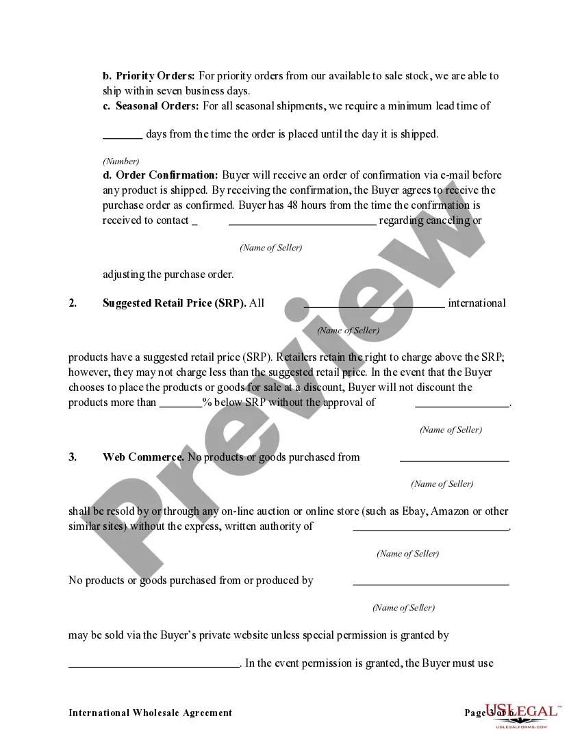
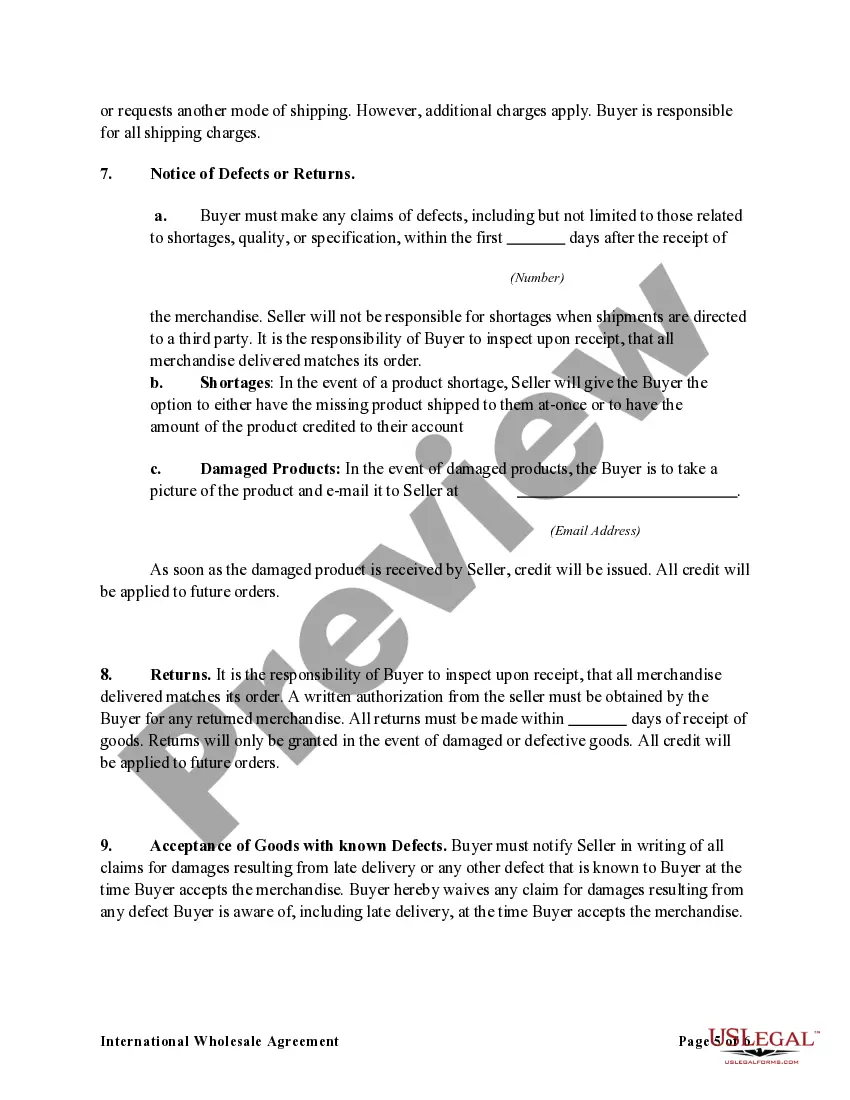
The Example of wholesale contract in Pima is a structured legal document designed to facilitate the relationship between sellers and retailers within the wholesale market. This form includes essential sections for inputting information about the retailer and buyer, including addresses, contact details, and payment terms. Key features address the ordering process, suggested retail pricing, web commerce restrictions, payment methods, and procedures for addressing product defects or returns. Users are required to adhere to specific conditions regarding pricing margins and resale methods, particularly online sales. This document is particularly useful for attorneys, partners, owners, associates, paralegals, and legal assistants as it provides a clear template for establishing contractual agreements while ensuring compliance with terms that protect the seller's interests. Moreover, its organized format facilitates easy editing and filling, allowing users to customize it to their specific needs. The form aids in mitigating disputes by clearly outlining the obligations and expectations of both parties involved in a wholesale transaction.
Free preview
  • Preview International Wholesale Agreement (Online Seller)
  • Preview International Wholesale Agreement (Online Seller)
  • Preview International Wholesale Agreement (Online Seller)
  • Preview International Wholesale Agreement (Online Seller)
  • Preview International Wholesale Agreement (Online Seller)
  • Preview International Wholesale Agreement (Online Seller)

Form popularity

FAQ

Here are the key elements to include in your wholesale contract template: Parties Involved: Names of the seller(s) and buyer(s), along with their signatures. Legal Description: Property description, street address, assessor parcel number (APN), and type of property.

For example, a wholesaler finds a motivated homeowner and gets a distressed property under contract for $200,000. Then, they market the property to their buyers list. A flipper sees potential and agrees to buy the home for $210,000.

You can download a wholesale real estate contract PDF from a legal forms website, obtain one from a real estate agent, title company, real estate attorney, or even write up your own. To fully complete a wholesale real estate contract, you will most importantly need a seller, wholesaler, buyer, and title company.

Legally, a seller's best bet for successfully backing out of a sale is if a contingency written into the contract has not been met. Home sellers can give themselves an “out” by adding contingencies to the contract that make the sale contingent upon certain conditions.

Real estate wholesalers are middlemen who bring together homeowners of distressed houses and investors who want a below-market real estate deal that they can make a profit on. Wholesale real estate offers beginners the opportunity to start investing in real estate. It usually involves little or zero capital investment.

The most common example of a wholesaler is a company that purchases completed products from manufacturers then distributes these products to retailers, which then sell smaller quantities of the product to the end-user. Some wholesalers might also buy from or sell to other wholesale companies.

A wholesaler comes into the situation with an offer for the homeowner – to put the house under contract for $120,000. The wholesaler uses their network to find a potential investor to buy the home for $150,000. The investor takes on this contract as a profitable renovation project.

While wholesale traders provide a range of products, they may also offer materials for production. For example, a wholesaler may sell wood to a chair manufacturer. In comparison, consumer traders deal in completed merchandise that's ready for consumers to take home.

Trusted and secure by over 3 million people of the world’s leading companies

Example Of Wholesale Contract In Pima