O Que é Warranty Void If Removed

State:
South Carolina
Control #:
SC-SDEED-8-1
Format:
Word; 
Rich Text
Instant download

Description

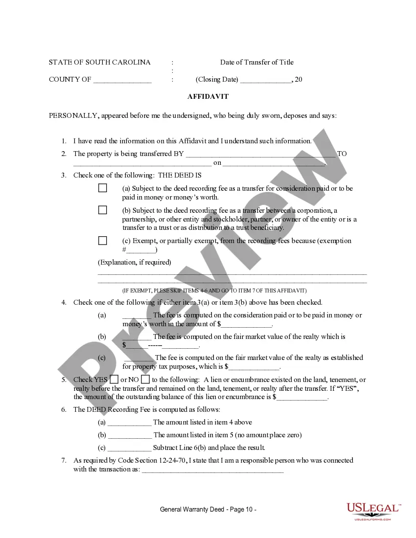
The General Warranty Deed form facilitates the transfer of property ownership in South Carolina, specifically from tenants in common to joint tenants. This document requires original signatures and must adhere to specific filing procedures, including notarization and the presence of witnesses. Users are guided through the process of filling the form, with clear instructions on unlocking the document for edits, should they need to change the content. The form fields are designed for digital completion but can also be printed for manual entry. Key use cases include property transactions between spouses or partners, where legal acknowledgment and a clear title chain are vital for ownership verification. The affidavit section clarifies consideration details which may affect recording fees and helps track any existing encumbrances on the property. Intended for attorneys, partners, owners, associates, paralegals, and legal assistants, it serves as a reliable tool for ensuring legally formatted property transfers while providing important provisions that mitigate issues during the filing process.
Free preview
  • Preview General Warranty Deed for Husband and Wife from Joint Tenants to Tenants in Common
  • Preview General Warranty Deed for Husband and Wife from Joint Tenants to Tenants in Common
  • Preview General Warranty Deed for Husband and Wife from Joint Tenants to Tenants in Common
  • Preview General Warranty Deed for Husband and Wife from Joint Tenants to Tenants in Common
  • Preview General Warranty Deed for Husband and Wife from Joint Tenants to Tenants in Common
  • Preview General Warranty Deed for Husband and Wife from Joint Tenants to Tenants in Common
  • Preview General Warranty Deed for Husband and Wife from Joint Tenants to Tenants in Common
  • Preview General Warranty Deed for Husband and Wife from Joint Tenants to Tenants in Common
  • Preview General Warranty Deed for Husband and Wife from Joint Tenants to Tenants in Common
  • Preview General Warranty Deed for Husband and Wife from Joint Tenants to Tenants in Common
  • Preview General Warranty Deed for Husband and Wife from Joint Tenants to Tenants in Common

How to fill out South Carolina General Warranty Deed For Husband And Wife From Joint Tenants To Tenants In Common?

  1. If you are a returning user, log in to your account and select the required form template by clicking the Download button. Verify that your subscription is active; if not, renew it based on your payment plan.
  2. If you're new to US Legal Forms, start by checking the Preview mode and the form description to confirm you've selected the appropriate document that aligns with your local jurisdiction.
  3. If necessary, search for other templates using the Search tab above to find the correct document. Once you are satisfied with your choice, proceed to the next step.
  4. Purchase the document by clicking the Buy Now button and selecting your preferred subscription plan. Creating an account is essential to access the library.
  5. Complete your transaction by providing your credit card details or opting for PayPal to finalize your subscription.
  6. Download your form to your device. You can also access it anytime in the My Forms menu in your profile.

Before you start, remember that US Legal Forms provides unparalleled support, including access to premium experts who can assist you in completing forms correctly and ensuring they meet legal standards.

In conclusion, using US Legal Forms is a straightforward way to acquire necessary legal documents. With a vast selection and professional assistance available, take the first step today towards simplifying your legal paperwork!

Form popularity

FAQ

Yes, a warranty void if removed clause is legal and commonly used by manufacturers to protect their interests. It acts as a warning to prevent tampering with products, ensuring that consumers understand the limitations of their warranty. Knowing whether warranty void if removed is legal can help you navigate warranty claims more effectively.

Warranty void if removed signifies that if you take off a specific seal or label, you forfeit the protections the warranty offers. This clause is particularly relevant for electronics and appliances. By understanding the meaning of warranty void if removed, you can better protect your investments and ensure continued coverage.

Several actions can void warranty status, including using the product improperly, attempting unauthorized repairs, or removing warranty seals. Often, modifications or alterations to the product may also lead to losing warranty rights. Awareness of the warranty void if removed concept helps consumers avoid common pitfalls that could jeopardize their warranty entitlements.

The term 'void if removed' refers to a label or sticker placed on a product, indicating that tampering with it will result in the warranty being invalidated. This provision serves as a caution to consumers, encouraging them to keep products intact to maintain warranty coverage. Knowing about warranty void if removed helps you make informed decisions when handling products.

When a warranty is void, it indicates that the promise made by the manufacturer or seller to repair, replace, or provide some form of service for a product is no longer valid. This usually happens if certain conditions are not met, such as improper use or damage. Understanding the concept of warranty void if removed is crucial, as it informs consumers about what actions could potentially eliminate warranty protection.

To safely remove a warranty void sticker, apply heat carefully to loosen the adhesive bond. Use a plastic tool for lifting and avoid using sharp items that may scratch the surface. Being cautious is essential since 'O que é warranty void if removed' can affect your warranty rights.

To successfully remove a sticker for reuse, use heat to loosen the adhesive first. Employ a plastic scraper to gently lift the sticker from an edge, ensuring you avoid tearing. This technique allows you to preserve the sticker while remaining mindful of 'O que é warranty void if removed' if it originally served a warranty purpose.

'Warranty void if removed' is a crucial notice indicating that removing certain tags or seals will cancel the warranty. This warning is commonly found on electronics and appliances, highlighting the importance of keeping such labels intact. Thus, being informed about 'O que é warranty void if removed' can save you from unexpected costs related to repairs.

Start by using a hairdryer to warm the registration sticker gently. This process loosens the adhesive, allowing for slower removal for less risk of tearing. Staying aware of 'O que é warranty void if removed' can help you avoid issues if the sticker is connected to a warranty or registration agreement.

To remove a sticker seal without causing damage, apply warmth using a hairdryer or warm water. Gently lift one edge with a plastic scraper, being careful not to dig into the material. This method preserves the sticker's integrity, which is crucial if you want to keep it in one piece while being aware of 'O que é warranty void if removed'.

Interesting Questions

Trusted and secure by over 3 million people of the world’s leading companies

O Que é Warranty Void If Removed