Florida Expungement Application With Clsid

State:
Florida
Control #:
FL-EXPCRI-03
Format:
PDF
Instant download

Description

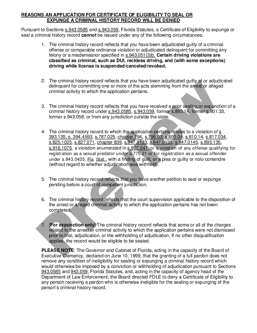
The Florida expungement application with clsid is a formal request designed for individuals seeking to seal or expunge their non-judicial criminal history records. It requires applicants to provide detailed personal information, including full name, date of birth, social security number, and the specific charges they want to expunge. Key features include sections for applicant information, a notarization requirement, and a section specifically for the state attorney's input if the application is for expunction. Users must also submit a processing fee and a certified copy of the final disposition for each charge listed. Filling out this application accurately is crucial, as incomplete submissions can lead to delays or rejections. Target audience members such as attorneys, paralegals, and legal assistants will find this form useful in assisting clients through the expungement process, ensuring compliance with legal requirements. It serves as a vital tool for clearing an applicant's criminal record, thereby aiding in their reintegration into society and improving their employment prospects. Knowledge of the disqualifying factors for expungement is essential for these users to guide clients effectively.
Free preview
  • Preview Florida Application for Certification for Eligibility for Expungement
  • Preview Florida Application for Certification for Eligibility for Expungement
  • Preview Florida Application for Certification for Eligibility for Expungement
  • Preview Florida Application for Certification for Eligibility for Expungement
  • Preview Florida Application for Certification for Eligibility for Expungement
  • Preview Florida Application for Certification for Eligibility for Expungement

How to fill out Florida Application For Certification For Eligibility For Expungement?

Regardless of whether for commercial reasons or personal issues, everyone must handle legal matters at some point during their lifetime.

Filling out legal documents requires meticulous attention, starting with selecting the correct form template.

Once it is saved, you can complete the form using editing software or print it and finish it by hand. With a vast US Legal Forms catalog available, you will never need to waste time searching for the correct sample online. Utilize the library’s straightforward navigation to obtain the appropriate template for any situation.

  1. For instance, if you choose an incorrect version of a Florida Expungement Application With Clsid, it will be declined once you submit it.
  2. Thus, it is crucial to have a trustworthy source of legal documents such as US Legal Forms.
  3. If you need to obtain a Florida Expungement Application With Clsid template, follow these simple steps.
  4. 1. Locate the sample you require by using the search bar or catalog browsing.
  5. 2. Review the form’s description to ensure it aligns with your circumstances, state, and locality.
  6. 3. Click on the form’s preview to assess it.
  7. 4. If it is the incorrect form, return to the search feature to find the Florida Expungement Application With Clsid template you need.
  8. 5. Download the template once it meets your requirements.
  9. 6. If you already possess a US Legal Forms account, merely click Log in to access previously saved templates in My documents.
  10. 7. If you do not have an account yet, you can download the form by clicking Buy now.
  11. 8. Choose the suitable pricing option.
  12. 9. Fill out the account registration form.
  13. 10. Select your payment method: you can utilize a credit card or PayPal account.
  14. 11. Choose the file format you prefer and download the Florida Expungement Application With Clsid.

Form popularity

FAQ

If you can't afford to pay the court fees, you may request a waiver. You can get the form on the Wisconsin courts website and file it electronically with all of the other divorce forms.

Wisconsin CCAP is a system that allows the general public to look up civil and criminal records throughout the state. Although other states have programs similar to CCAP, this system only covers cases that occur within Wisconsin.

Wisconsin Court System Consolidated Court. Automation Programs (CCAP)

The summons and petition (or joint petition) for divorce or legal separation and confidential petition addendum must be filed and a fee paid to the Clerk of Circuit Court. (Note: There is a mandatory 120-day waiting period before the court can hear the final hearing.)

The public may view all nonconfidential portions of a circuit court record in person, at the office of the clerk of court for the county where the case was filed, or may view certain portions of the circuit court record online via the Director of State Courts' public internet website.

Access to criminal history information can be obtained on the Wisconsin Online Record Check System at . Adult criminal history information is public record in the State of Wisconsin. Anyone may obtain this information provided they pay the fee established by the Wisconsin Legislature.

Changes to Wisconsin CCAP Records In other words, two years from the date the case was closed in court, the Wisconsin Circuit Court Access website should remove the record from CCAP. These changes not only modify the misdemeanor CCAP and WI felony CCAP rules but also a handful of non-criminal case types as well.

Consolidated Court Automation Programs (CCAP) Steering Committee. CCAP is responsible for supporting the IT needs of the entire Wisconsin Court System.

Trusted and secure by over 3 million people of the world’s leading companies

Florida Expungement Application With Clsid