• US Legal Forms

Physical Form For Work With Tb Test

State:
California
Control #:
CA-JM-0027
Format:
Word
Instant download

Description

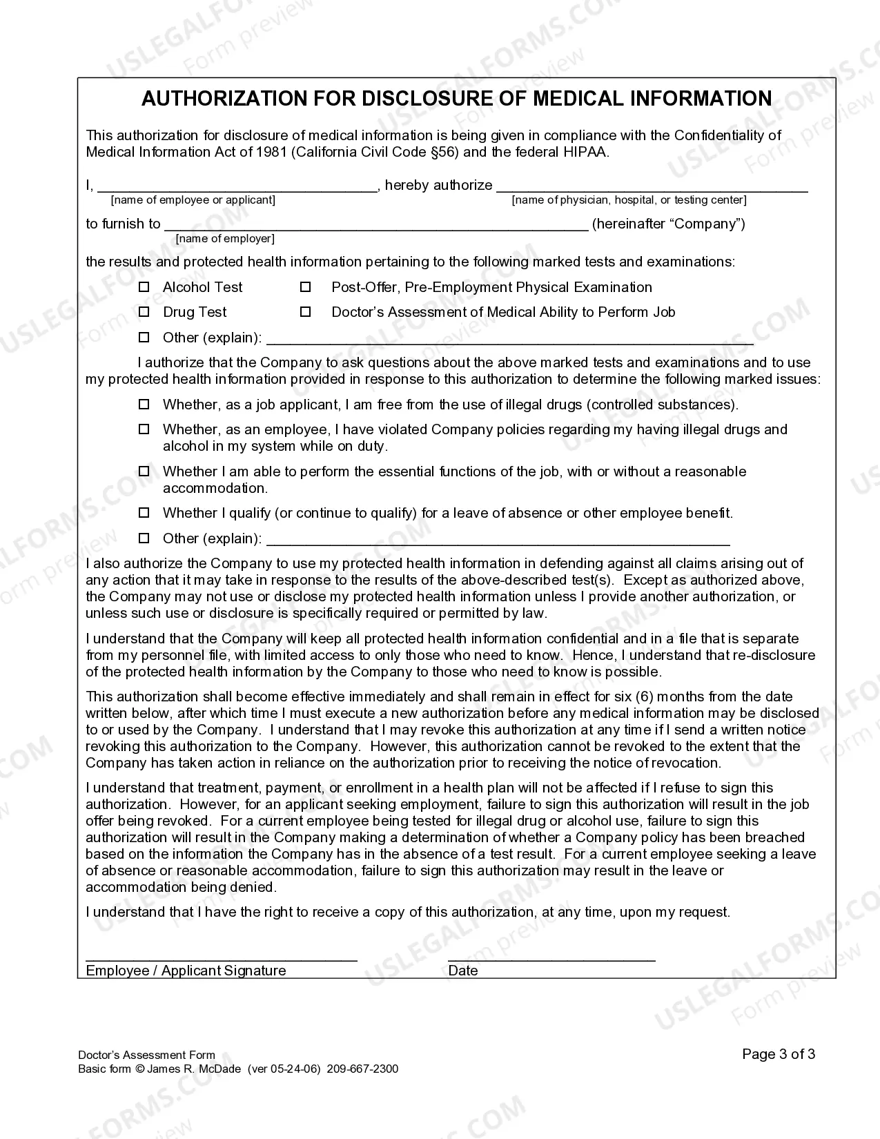
The Physical Form for Work with TB Test serves as a critical document designed to assess an employee's or job applicant's medical ability to perform their job, specifically regarding tuberculosis (TB) testing and overall health evaluation. This form requires the doctor to provide insights into the patient's medical condition and their ability to work safely within the designated job environment. Key features include sections for recording the patient's name, employer details, medical assessments, and any necessary job restrictions or accommodations. Filling out the form entails careful consideration of the patient's current health status and work-related duties, ensuring that all relevant symptoms and conditions are documented. Attorneys, partners, and other legal professionals can utilize this form to verify compliance with health regulations and provide necessary accommodations under laws such as the Americans with Disabilities Act (ADA). Paralegals and legal assistants can aid in gathering required medical signatures and ensuring form accuracy for submission. The clear structure of the form, combined with its detailed medical inquiries, facilitates a comprehensive evaluation that safeguards both employee health and workplace safety.
Free preview
  • Preview Doctor's Assessment of Medical Ability to Perform Job
  • Preview Doctor's Assessment of Medical Ability to Perform Job
  • Preview Doctor's Assessment of Medical Ability to Perform Job

How to fill out California Doctor's Assessment Of Medical Ability To Perform Job?

Finding a reliable source for the latest and pertinent legal templates is a significant part of navigating bureaucracy.

Identifying the correct legal documents requires precision and meticulousness, which clarifies why it is crucial to obtain samples of Physical Form For Work With Tb Test exclusively from reputable sources like US Legal Forms.

Eliminate the hassle that comes with your legal documentation. Explore the extensive US Legal Forms catalog to discover legal templates, assess their relevance to your circumstances, and download them instantly.

  1. Utilize the library navigation or search function to find your sample.
  2. Review the form’s description to confirm it aligns with the requirements of your state and area.
  3. Access the form preview, if available, to ensure the form is indeed the one you need.
  4. Return to the search and seek the appropriate document if the Physical Form For Work With Tb Test does not meet your requirements.
  5. If you are confident about the form’s pertinence, download it.
  6. As a registered customer, click Log in to verify and access your selected templates in My documents.
  7. If you do not yet have an account, click Buy now to acquire the template.
  8. Select the pricing option that suits your needs.
  9. Proceed with the registration to finalize your purchase.
  10. Complete your transaction by selecting a payment method (credit card or PayPal).
  11. Choose the format for downloading Physical Form For Work With Tb Test.
  12. Once you have the form on your device, you can modify it using the editor or print it out and fill it in manually.

Form popularity

FAQ

Typically, you do not need a full physical examination just to take a TB test. However, some organizations may require a brief health check-up prior to testing, which can be documented as part of the physical form for work with tb test. It is best to check with your employer for any specific requirements they may have.

A TB test may be listed under various names, including Mantoux test, PPD test, or tuberculosis skin test. Regardless of the name, it serves as a physical form for work with tb test, providing essential information regarding your status. Employers often accept any official documentation indicating the type of TB test conducted.

You can document your TB test results by asking your healthcare provider for a written report. This report acts as your physical form for work with tb test, containing all relevant data such as your name, the date of the test, and the results. Store this documentation in a safe place for future reference.

To get proof of a TB test, request your test results from the clinic or hospital where you were tested. They will provide you with a physical form for work with tb test, which serves as official documentation. Ensure that the form is complete and contains all necessary information for your records or employer.

A physical examination for a patient with TB involves assessing symptoms like cough, fever, and weight loss. The healthcare provider may also check the lungs and listen for abnormal sounds. This examination is critical for understanding the patient's condition and may be documented as part of the physical form for work with tb test.

The results of a TB test are usually communicated through a formal report from the healthcare provider. This document serves as a physical form for work with tb test, indicating whether the test is positive or negative. It is crucial to consult your healthcare provider if you have any questions regarding the interpretation of your results.

Documenting a TB test result involves receiving a printed report from the healthcare provider. This report typically serves as the required physical form for work with tb test, detailing the results and any necessary follow-up actions. Ensure the report is clear and contains all essential information.

You can prove you have a TB test by obtaining a documented result from the testing facility. This is often provided as a physical form for work with tb test, which includes your name, the date of the test, and the test results. Keep this documentation safe, as employers may require it for specific job roles.

Documenting TB skin test results involves recording the date of the test, the test result, and the interpretation of the reaction. A healthcare provider typically fills out this information on a physical form for work with TB test that you can submit for employment purposes. It's important to keep this documentation safe, as many employers require proof of a negative TB test for compliance with health regulations.

You can prove you do not have tuberculosis by providing recent TB test results, which may include a negative TB skin test or a negative chest X-ray, if applicable. Healthcare providers can also issue documentation to confirm your status. This verification can often be requested as part of your physical form for work with TB test requirements.

Trusted and secure by over 3 million people of the world’s leading companies

Physical Form For Work With Tb Test