Natural Hazard Disclosure Statement
- California Law Summary -
Natural Hazard Disclosure
CALIFORNIA CODES
CIVIL CODE
SECTION 1103-1103.14
1103. (a) Except as provided in Section 1103.1, this article
applies to any transfer by sale, exchange, installment land sale
contract, as defined in Section 2985, lease with an option to
purchase, any other option to purchase, or ground lease coupled with
improvements, of any real property described in subdivision (c), or
residential stock cooperative, improved with or consisting of not
less than one nor more than four dwelling units.
  (b) Except as provided in Section 1103.1, this article shall apply
to a resale transaction entered into on or after January 1, 2000,
for a manufactured home, as defined in Section 18007 of the Health
and Safety Code, that is classified as personal property intended for
use as a residence, or a mobilehome, as defined in Section 18008 of
the Health and Safety Code, that is classified as personal property
intended for use as a residence, if the real property on which the
manufactured home or mobilehome is located is real property described
in subdivision (c).
  (c) This article shall apply to the transactions described in
subdivisions (a) and (b) only if the transferor or his or her agent
are required by one or more of the following to disclose the property's
location within a hazard zone:
  (1) A person who is acting as an agent for a transferor of real
property that is located within a special flood hazard area (any type
Zone "A" or "V") designated by the Federal Emergency Management
Agency, or the transferor if he or she is acting without an agent,
shall disclose to any prospective transferee the fact that the
property is located within a special flood hazard area if either:
  (A) The transferor, or the transferor's agent, has actual
knowledge that the property is within a special flood hazard area.
  (B) The local jurisdiction has compiled a list, by parcel, of
properties that are within the special flood hazard area and a notice
has been posted at the offices of the county recorder, county
assessor, and county planning agency that identifies the location of
the parcel list.
  (2) A person who is acting as an agent for a transferor of real
property that is located within an area of potential flooding,
designated pursuant to Section 8589.5 of the Government Code, or the
transferor if he or she is acting without an agent, shall disclose to
any prospective transferee the fact that the property is located
within an area of potential flooding if either:
  (A) The transferor, or the transferor's agent, has actual
knowledge that the property is within an inundation area.
  (B) The local jurisdiction has compiled a list, by parcel, of
properties that are within the inundation area and a notice has been
posted at the offices of the county recorder, county assessor, and
county planning agency that identifies the location of the parcel
list.
  (3) A transferor of real property that is located within a very
high fire hazard severity zone, designated pursuant to Section 51178
of the Public Resources Code, shall disclose to any prospective
transferee the fact that the property is located within a very high
fire hazard severity zone and is subject to the requirements of
Section 51182 if either:
  (A) The transferor, or the transferor's agent, has actual
knowledge that the property is within a very high fire hazard
severity zone.
  (B) A map that includes the property has been provided to the
local agency pursuant to Section 51178 of the Public Resources Code
and a notice has been posted at the offices of the county recorder,
county assessor, and county planning agency that identifies the
location of the map and any information regarding changes to the map
received by the local agency.
  (4) A person who is acting as an agent for a transferor of real
property that is located within an earthquake fault zone, designated
pursuant to Section 2622 of the Public Resources Code, or the
transferor if he or she is acting without an agent, shall disclose to
any prospective transferee the fact that the property is located
within a delineated earthquake fault zone if either:
  (A) The transferor, or the transferor's agent, has actual
knowledge that the property is within a delineated earthquake fault
zone.
  (B) A map that includes the property has been provided to the city
or county pursuant to Section 2622 of the Public Resources Code and
a notice has been posted at the offices of the county recorder,
county assessor, and county planning agency that identifies the
location of the map and any information regarding changes to the map
received by the county.
  (5) A person who is acting as an agent for a transferor of real
property that is located within a seismic hazard zone, designated
pursuant to Section 2696 of the Public Resources Code, or the
transferor if he or she is acting without an agent, shall disclose to
any prospective transferee the fact that the property is located
within a seismic hazard zone if either:
  (A) The transferor, or the transferor's agent, has actual
knowledge that the property is within a seismic hazard zone.
  (B) A map that includes the property has been provided to the city
or county pursuant to Section 2696 of the Public Resources Code and
a notice has been posted at the offices of the county recorder,
county assessor, and county planning agency that identifies the
location of the map and any information regarding changes to the map
received by the county.
  (6) A transferor of real property that is located within a state
responsibility area determined by the board, pursuant to Section 4125
of the Public Resources Code, shall disclose to any prospective
transferee the fact that the property is located within a wildland
area that may contain substantial forest fire risks and hazards and
is subject to the requirements of Section 4291 if either:
  (A) The transferor, or the transferor's agent, has actual
knowledge that the property is within a wildland fire zone.
  (B) A map that includes the property has been provided to the city
or county pursuant to Section 4125 of the Public Resources Code and
a notice has been posted at the offices of the county recorder,
county assessor, and county planning agency that identifies the
location of the map and any information regarding changes to the map
received by the county.
  (d) Any waiver of the requirements of this article is void as
against public policy.
1103.1. (a) This article does not apply to the following transfers:
  (1) Transfers pursuant to court order, including, but not limited
to, transfers ordered by a probate court in administration of an
estate, transfers pursuant to a writ of execution, transfers by any
foreclosure sale, transfers by a trustee in bankruptcy, transfers by
eminent domain, and transfers resulting from a decree for specific
performance.
  (2) Transfers to a mortgagee by a mortgagor or successor in
interest who is in default, transfers to a beneficiary of a deed of
trust by a trustor or successor in interest who is in default,
transfers by any foreclosure sale after default, transfers by any
foreclosure sale after default in an obligation secured by a
mortgage, transfers by a sale under a power of sale or any
foreclosure sale under a decree of foreclosure after default in an
obligation secured by a deed of trust or secured by any other
instrument containing a power of sale, or transfers by a mortgagee or
a beneficiary under a deed of trust who has acquired the real
property at a sale conducted pursuant to a power of sale under a
mortgage or deed of trust or a sale pursuant to a decree of
foreclosure or has acquired the real property by a deed in lieu of
foreclosure.
  (3) Transfers by a fiduciary in the course of the administration
of a decedent's estate, guardianship, conservatorship, or trust.
  (4) Transfers from one coowner to one or more other coowners.
  (5) Transfers made to a spouse, or to a person or persons in the
lineal line of consanguinity of one or more of the transferors.
  (6) Transfers between spouses resulting from a judgment of
dissolution of marriage or of legal separation of the parties or from
a property settlement agreement incidental to that judgment.
  (7) Transfers by the Controller in the course of administering
Chapter 7 (commencing with Section 1500) of Title 10 of Part 3 of the
Code of Civil Procedure.
  (8) Transfers under Chapter 7 (commencing with Section 3691) or
Chapter 8 (commencing with Section 3771) of Part 6 of Division 1 of
the Revenue and Taxation Code.
  (9) Transfers or exchanges to or from any governmental entity.
  (b) Transfers not subject to this article may be subject to other
disclosure requirements, including those under Sections 8589.3,
8589.4, and 51183.5 of the Government Code and Sections 2621.9, 2694,
and 4136 of the Public Resources Code. In transfers not subject to
this article, agents may make required disclosures in a separate
writing.
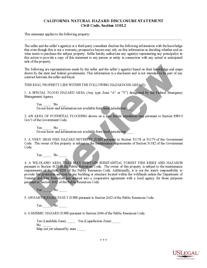
1103.2. (a) The disclosures required by this article are set forth
in, and shall be made on a copy of, the following Natural Hazard
Disclosure Statement:
   [See, USLF form # CA-37014-A]
   (b) If an earthquake fault zone, seismic hazard zone, very high
fire hazard severity zone, or wildland fire area map or accompanying
information is not of sufficient accuracy or scale that a reasonable
person can determine if the subject real property is included in a
natural hazard area, the transferor or transferor's agent shall mark
"Yes" on the Natural Hazard Disclosure Statement. The transferor or
transferor's agent may mark "No" on the Natural Hazard Disclosure
Statement if he or she attaches a report prepared pursuant to
subdivision (c) of Section 1103.4 that verifies the property is not
in the hazard zone. Nothing in this subdivision is intended to limit
or abridge any existing duty of the transferor or the transferor's
agents to exercise reasonable care in making a determination under
this subdivision.
  (c) If the Federal Emergency Management Agency has issued a Letter
of Map Revision confirming that a property is no longer within a
special flood hazard area, then the transferor or transferor's agent
may mark "No" on the Natural Hazard Disclosure Statement, even if the
map has not yet been updated. The transferor or transferor's agent
shall attach a copy of the Letter of Map Revision to the disclosure
statement.
  (d) If the Federal Emergency Management Agency has issued a Letter
of Map Revision confirming that a property is within a special flood
hazard area and the location of the letter has been posted pursuant
to subdivision (g) of Section 8589.3 of the Government Code, then the
transferor or transferor's agent shall mark "Yes" on the Natural
Hazard Disclosure Statement, even if the map has not yet been
updated. The transferor or transferor's agent shall attach a copy of
the Letter of Map Revision to the disclosure statement.
  (e) The disclosure required pursuant to this article may be
provided by the transferor and the transferor's agent in the Local
Option Real Estate Disclosure Statement described in Section 1102.6a,
provided that the Local Option Real Estate Disclosure Statement
includes substantially the same information and substantially the
same warnings that are required by this section.
  (f) The disclosure required by this article is only a disclosure
between the transferor, the transferor's agents, and the transferee,
and shall not be used by any other party, including, but not limited
to, insurance companies, lenders, or governmental agencies, for any
purpose.
  (g) In any transaction in which a transferor has accepted, prior
to June 1, 1998, an offer to purchase, the transferor, or his or her
agent, shall be deemed to have complied with the requirement of
subdivision (a) if the transferor or agent delivers to the
prospective transferee a statement that includes substantially the
same information and warning as the Natural Hazard Disclosure
Statement.
1103.3. (a) The transferor of any real property subject to this
article shall deliver to the prospective transferee the written
statement required by this article, as follows:
  (1) In the case of a sale, as soon as practicable before transfer
of title.
  (2) In the case of transfer by a real property sales contract, as
defined in Section 2985, or by a lease together with an option to
purchase, or a ground lease coupled with improvements, as soon as
practicable before execution of the contract. For the purpose of
this subdivision, "execution" means the making or acceptance of an
offer.
  (b) The transferor shall indicate compliance with this article
either on the receipt for deposit, the real property sales contract,
the lease, any addendum attached thereto, or on a separate document.
  (c) If any disclosure, or any material amendment of any
disclosure, required to be made pursuant to this article is delivered
after the execution of an offer to purchase, the transferee shall
have three days after delivery in person or five days after delivery
by deposit in the mail to terminate his or her offer by delivery of a
written notice of termination to the transferor or the transferor's
agent.
1103.4. (a) Neither the transferor nor any listing or selling agent
shall be liable for any error, inaccuracy, or omission of any
information delivered pursuant to this article if the error,
inaccuracy, or omission was not within the personal knowledge of the
transferor or the listing or selling agent, and was based on
information timely provided by public agencies or by other persons
providing information as specified in subdivision (c) that is
required to be disclosed pursuant to this article, and ordinary care
was exercised in obtaining and transmitting the information.
  (b) The delivery of any information required to be disclosed by
this article to a prospective transferee by a public agency or other
person providing information required to be disclosed pursuant to
this article shall be deemed to comply with the requirements of this
article and shall relieve the transferor or any listing or selling
agent of any further duty under this article with respect to that
item of information.
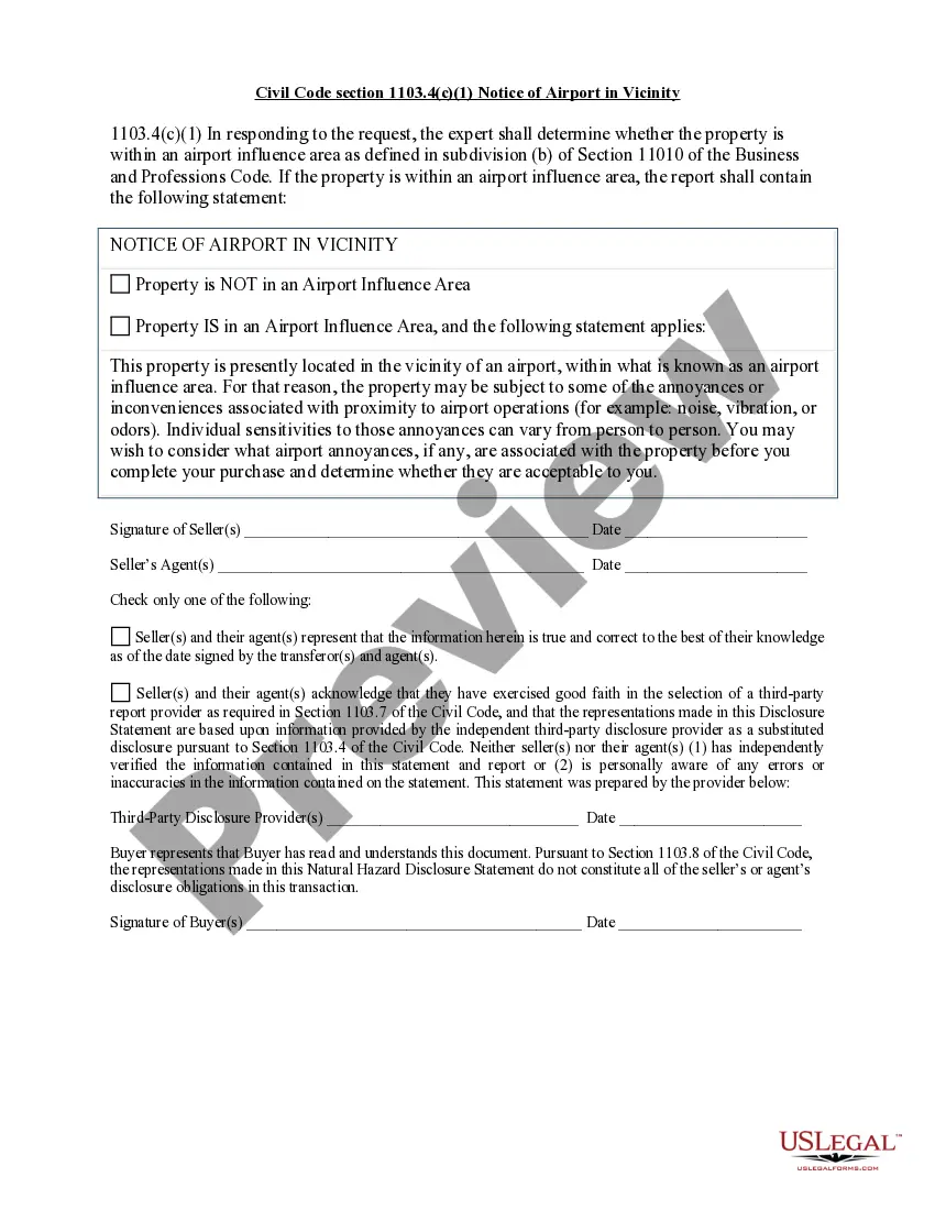
  (c) The delivery of a report or opinion prepared by a licensed
engineer, land surveyor, geologist, or expert in natural hazard
discovery dealing with matters within the scope of the professional's
license or expertise, shall be sufficient compliance for application
of the exemption provided by subdivision (a) if the information is
provided to the prospective transferee pursuant to a request
therefor, whether written or oral. In responding to that request, an
expert may indicate, in writing, an understanding that the
information provided will be used in fulfilling the requirements of
Section 1103.2 and, if so, shall indicate the required disclosures,
or parts thereof, to which the information being furnished is
applicable. Where that statement is furnished, the expert shall not
be responsible for any items of information, or parts thereof, other
than those expressly set forth in the statement.
1103.5. (a) After a transferor and his or her agent comply with
Section 1103.2, they shall be relieved of further duty under this
article with respect to those items of information. The transferor
and his or her agent shall not be required to provide notice to the
transferee if the information provided subsequently becomes
inaccurate as a result of any governmental action, map revision,
changed information, or other act or occurrence, unless the
transferor or agent has actual knowledge that the information has
become inaccurate.
  (b) If information disclosed in accordance with this article is
subsequently rendered inaccurate as a result of any governmental
action, map revision, changed information, or other act or occurrence
subsequent to the delivery of the required disclosures, the
inaccuracy resulting therefrom does not constitute a violation of
this article.
1103.7. Each disclosure required by this article and each act that
may be performed in making the disclosure shall be made in good
faith. For purposes of this article, "good faith" means honesty in
fact in the conduct of the transaction.
1103.8. (a) The specification of items for disclosure in this
article does not limit or abridge any obligation for disclosure
created by any other provision of law or that may exist in order to
avoid fraud, misrepresentation, or deceit in the transfer
transaction. The legislature does not intend to affect the existing
obligations of the parties to a real estate contract, or their
agents, to disclose any fact materially affecting the value and
desirability of the property, including, but not limited to, the
physical condition of the property and previously received reports of
physical inspection noted on the disclosure form provided pursuant
to Section 1102.6 or 1102.6a.
  (b) Nothing in this article shall be construed to change the duty
of a real estate broker or salesperson pursuant to Section 2079.
1103.9. Any disclosure made pursuant to this article may be amended
in writing by the transferor or his or her agent, but the amendment
shall be subject to Section 1103.3.
1103.10. Delivery of disclosures required by this article shall be
by personal delivery to the transferee or by mail to the prospective
transferee. For the purposes of this article, delivery to the spouse
of a transferee shall be deemed delivery to the transferee, unless
provided otherwise by contract.
1103.11. Any person or entity, other than a real estate licensee
licensed pursuant to Part 1 (commencing with Section 10000) of
Division 4 of the Business and Professions Code, acting in the
capacity of an escrow agent for the transfer of real property subject
to this article shall not be deemed the agent of the transferor or
transferee for purposes of the disclosure requirements of this
article, unless the person or entity is empowered to so act by an
express written agreement to that effect. The extent of that agency
shall be governed by the written agreement.
1103.12. (a) If more than one licensed real estate broker is acting
as an agent in a transaction subject to this article, the broker who
has obtained the offer made by the transferee shall, except as
otherwise provided in this article, deliver the disclosure required
by this article to the transferee, unless the transferor has given
other written instructions for delivery.
  (b) If a licensed real estate broker responsible for delivering
the disclosures under this section cannot obtain the disclosure
document required and does not have written assurance from the
transferee that the disclosure has been received, the broker shall
advise the transferee in writing of his or her rights to the
disclosure. A licensed real estate broker responsible for delivering
disclosures under this section shall maintain a record of the action
taken to effect compliance in accordance with Section 10148 of the
Business and Professions Code.
1103.13. No transfer subject to this article shall be invalidated
solely because of the failure of any person to comply with any
provision of this article. However, any person who willfully or
negligently violates or fails to perform any duty prescribed by any
provision of this article shall be liable in the amount of actual
damages suffered by a transferee.
1103.14. (a) As used in this article, "listing agent" means listing
agent as defined in subdivision (f) of Section 1086.
  (b) As used in this article, "selling agent" means selling agent
as defined in subdivision (g) of Section 1086, exclusive of the
requirement that the agent be a participant in a multiple listing
service as defined in Section 1087.