Wyoming Power of Attorney Forms Package

Category:
State:
Wyoming
Control #:
WY-P024-PKG
Format:
Word; 
Rich Text
Instant download

Description

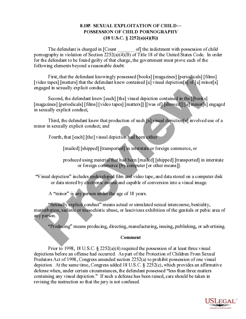
This Power of Attorney Package contains Power of Attorney forms that allow you to make decisions about your finances, healthcare, and the care of minor children. The following forms are included:



1. General Durable Power of Attorney for Property and Finances Effective Upon Disability

2. General Durable Power of Attorney for Property and Finances Effective Immediately

3. Power of Attorney for Care and Custody of Children

4. Statutory Advance Health Care Directive
Free preview
  • Preview Wyoming Power of Attorney Forms Package
  • Preview Wyoming Power of Attorney Forms Package
  • Preview Wyoming Power of Attorney Forms Package
  • Preview Wyoming Power of Attorney Forms Package

How to fill out Wyoming Power Of Attorney Forms Package?

Use US Legal Forms to obtain a printable Wyoming Power of Attorney Forms Package. Our court-admissible forms are drafted and regularly updated by professional lawyers. Our’s is the most extensive Forms catalogue on the web and provides reasonably priced and accurate templates for customers and lawyers, and SMBs. The documents are grouped into state-based categories and a few of them can be previewed prior to being downloaded.

To download templates, customers must have a subscription and to log in to their account. Press Download next to any form you want and find it in My Forms.

For individuals who don’t have a subscription, follow the tips below to quickly find and download Wyoming Power of Attorney Forms Package:

  1. Check out to ensure that you have the right form with regards to the state it’s needed in.
  2. Review the form by looking through the description and by using the Preview feature.
  3. Press Buy Now if it is the document you need.
  4. Generate your account and pay via PayPal or by card|credit card.
  5. Download the template to the device and feel free to reuse it many times.
  6. Make use of the Search engine if you want to find another document template.

US Legal Forms provides a large number of legal and tax templates and packages for business and personal needs, including Wyoming Power of Attorney Forms Package. Above three million users have already utilized our service successfully. Choose your subscription plan and get high-quality forms in just a few clicks.

Form popularity

FAQ

Draft a list of special powers. Decide what powers are springing. Pick an agent and a successor agent. Note the expiration date. Compile the information into one document. Execute the power of attorney letter.

You can draft a durable power of attorney by writing out or typing the document, which should include the date, your full name, and speech that clearly identifies the document as a durable power of attorney that applies even in the case of your incapacitation.

Choose the limited power of attorney made for your state. Input personal information about both the principal and the agent or attorney-in-fact. Explain the powers of the agent. Include the date the limited power of attorney expires or will be revoked.

A general power of attorney acts on behalf of the principal in any and all matters, as allowed by the state. The agent under a general POA agreement may be authorized to take care of issues such as handling bank accounts, signing checks, selling property and assets like stocks, filing taxes, etc.

Limited Power of Attorney (LPOA) is an authorization that permits a portfolio manager to perform specific functions on behalf of the account owner.Before signing an LPOA, the client should be aware of the specific functions they have delegated to the portfolio manager, as the client remains liable for the decisions.

Below your own name is where you make it clear that you have the authority to sign on the principal's behalf. To indicate that you've been given power of attorney for signing authority, write attorney-in-fact under your name. Other variations are also acceptable to write out, like POA, or power of attorney.

Choose the limited power of attorney made for your state. Input personal information about both the principal and the agent or attorney-in-fact. Explain the powers of the agent. Include the date the limited power of attorney expires or will be revoked.

Your name, address, and signature as the principal. The name, address, and signature of your Agent. The activities and properties under the Agent's authority. The start and termination dates of the Agent's powers. Any compensation you will give to the Agent.

A limited power of attorney grants the representative that you choose (the agent or attorney-in-fact) the power to act on your behalf under limited circumstances.Under a general power of attorney, the agent or attorney-in-fact can do anything that you can do.

Trusted and secure by over 3 million people of the world’s leading companies

Wyoming Power of Attorney Forms Package