Vendor Booth Form With Gst Number

Category:
State:
Multi-State
Control #:
US-02113BG
Format:
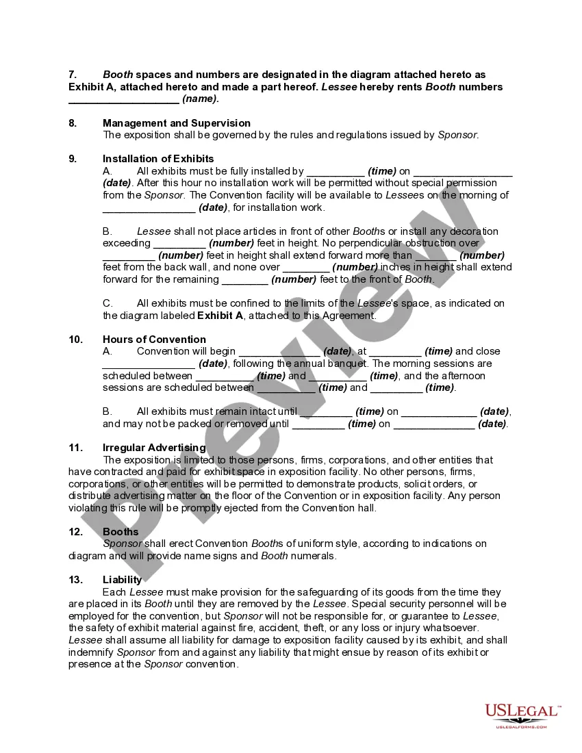
Word; 
Rich Text
Instant download

Description

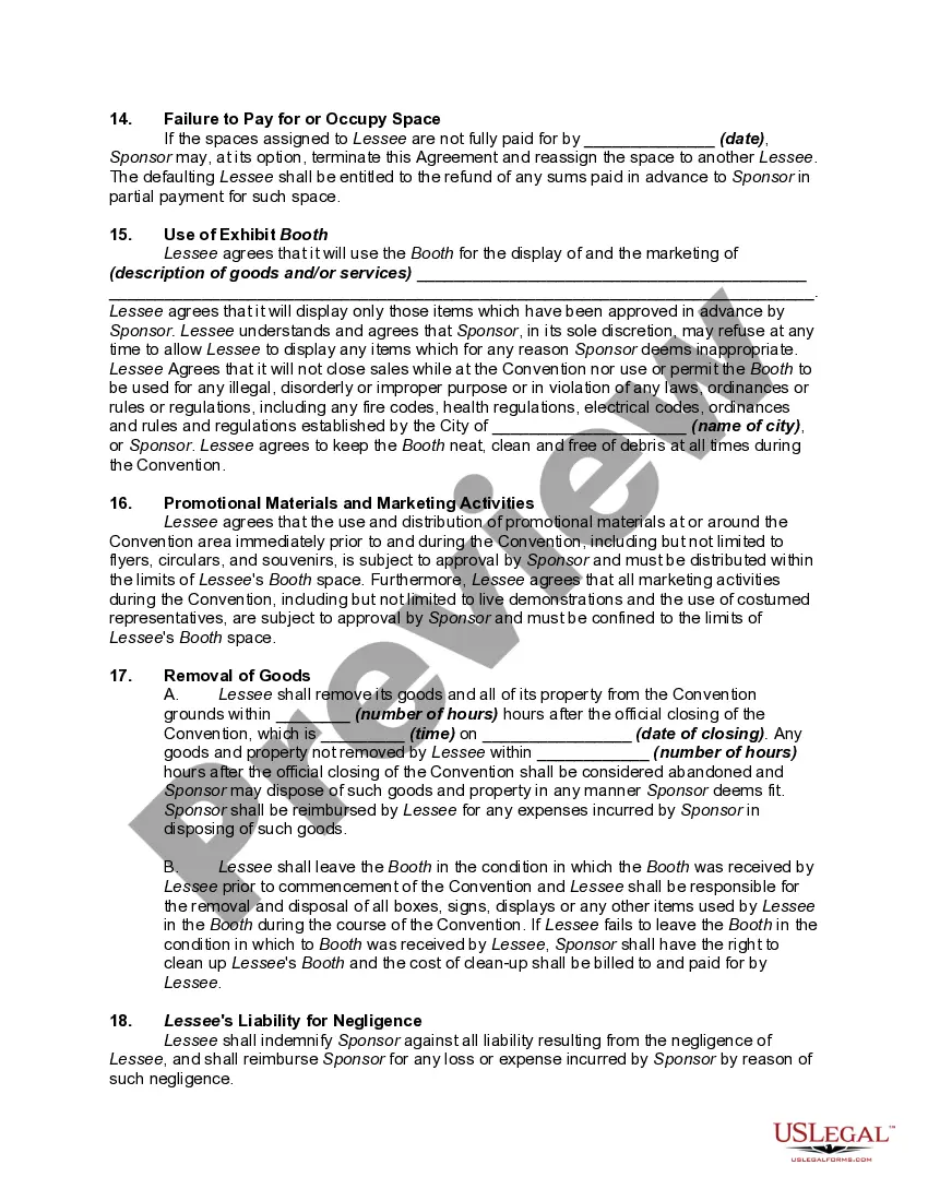
The Vendor Booth Form with GST Number is a crucial document for leasing booth spaces during conventions. It serves as an agreement between the convention sponsor and the lessee, detailing rental terms, payment schedules, and booth specifications. Important highlights include clear instructions for decoration, refund policies, and limitations on exhibit heights to ensure safety and compliance with local regulations. Users must fill out specific sections regarding names of parties, event details, and booth configurations. It is essential for attorneys, partners, owners, associates, paralegals, and legal assistants to understand the legal implications of liability, installation deadlines, and marketing restrictions outlined in the form. This form not only protects the interests of both parties but also provides a structured approach to managing booth space effectively. Users are advised to keep copies of the completed form and associated correspondence for their records, safeguarding their rights and responsibilities during the event.
Free preview
  • Preview Commercial Booth Rental Form - More than One Booth - Conventions
  • Preview Commercial Booth Rental Form - More than One Booth - Conventions
  • Preview Commercial Booth Rental Form - More than One Booth - Conventions
  • Preview Commercial Booth Rental Form - More than One Booth - Conventions
  • Preview Commercial Booth Rental Form - More than One Booth - Conventions

How to fill out Commercial Booth Rental Form - More Than One Booth - Conventions?

Finding a reliable source for the latest and most applicable legal templates is a significant part of navigating administrative processes.

Selecting the appropriate legal documents requires precision and careful consideration, which is why it is crucial to obtain the Vendor Booth Form With Gst Number solely from trustworthy providers, such as US Legal Forms.

Eliminate the hassle associated with your legal paperwork. Explore the extensive US Legal Forms library to discover legal templates, verify their applicability to your situation, and download them instantly.

  1. Utilize the catalog navigation or search bar to locate your template.
  2. Examine the form's details to determine if it meets your state's and area's requirements.
  3. Check the form preview, if available, to ensure it is indeed the one you need.
  4. Return to the search results and find the correct template if the Vendor Booth Form With Gst Number does not meet your specifications.
  5. Once confident about the form's applicability, download it.
  6. If you are an existing customer, click Log in to verify and access your chosen forms in My documents.
  7. If you haven't created an account yet, click Buy now to purchase the form.
  8. Select the pricing option that suits your needs.
  9. Continue with the registration process to finalize your purchase.
  10. Complete your transaction by choosing a payment method (credit card or PayPal).
  11. Select the file format for downloading the Vendor Booth Form With Gst Number.
  12. Once you have the form on your device, you can modify it using the editor or print it for manual completion.

Form popularity

FAQ

A VAT or GST number is used to identify the tax status of a customer and also to identify the place of taxation.

I. Check Vendor/Customer Card first (along with the assigned "State Code" & Taxation Tab must be filled with completing all the mandatory details, like; If the Vendor has Not Registered yet then, enter GST Vendor Type = Composite | Unregistered | Import | SEZ | Exempted (Select any one option from the list).

GST stands for goods and services tax in most countries, but within the United States it can also refer to the ?generation skipping tax? exemption. The GST tax is usually mentioned alongside gift and inheritance taxes, levied on gifts made to younger generations.

GST calculation formula example: Say you are selling a commodity from Mumbai and sending it to Kolkata for Rs. 10,000, and the rate of GST applied on it is 12%. The GST amount applicable for it will be (10,000 x 12) / 100 = Rs. 1,200; and the net price will be Rs. 10,000 + Rs. 1,200 = Rs. 11,200.

Create a tax period for GST. Go to Tax > Indirect taxes > Sales tax > Sales tax settlement periods, and create a sales tax period for GST. Create a GST tax registration group. Go to Tax > Setup > Sales tax > Tax registration group, create a tax registration group, and add GSTIN information.

Trusted and secure by over 3 million people of the world’s leading companies

Vendor Booth Form With Gst Number