Gilbert Arizona Partnership Agreement

State:
Multi-State
City:
Gilbert
Control #:
US-P-A-00586
Format:
Word; 
Rich Text
Instant download

Description

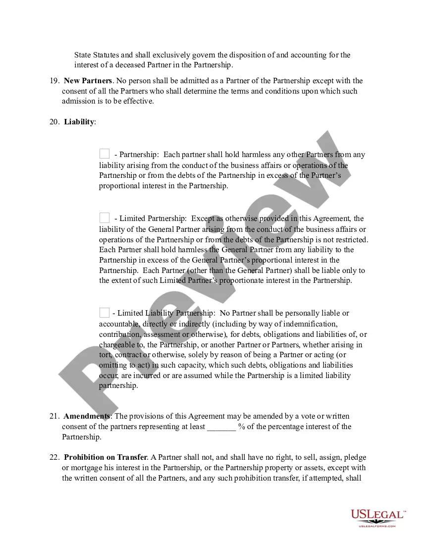
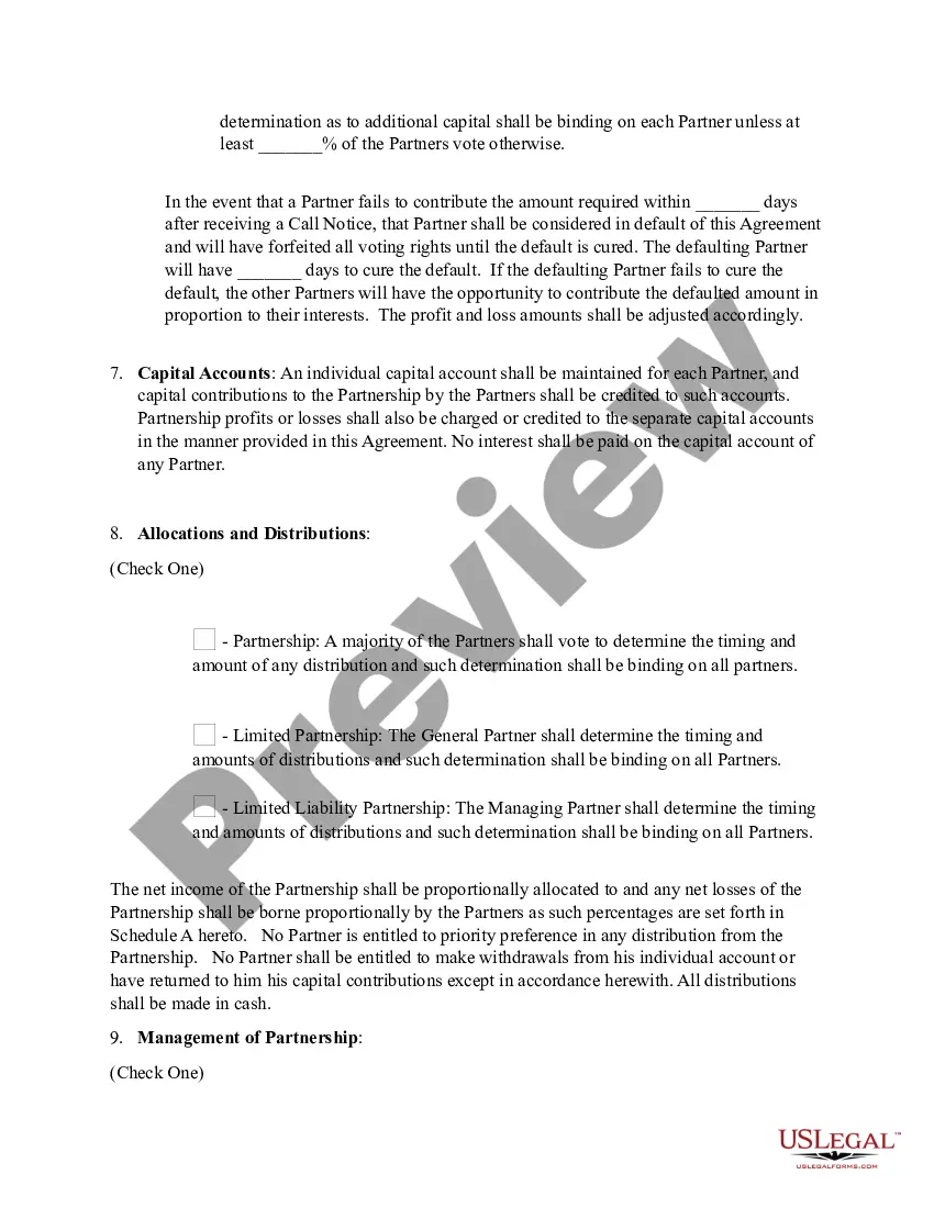
The parties have agreed to join together as partners and to conduct its business in accordance with the provisions of this Agreement. The partnership may enter into, make and perform all contracts and all other undertakings and engage in any and all transactions the Partners may deem necessary or advisable to carry out its purposes.
Free preview
  • Preview Partnership Agreement
  • Preview Partnership Agreement
  • Preview Partnership Agreement
  • Preview Partnership Agreement
  • Preview Partnership Agreement
  • Preview Partnership Agreement
  • Preview Partnership Agreement
  • Preview Partnership Agreement
  • Preview Partnership Agreement
  • Preview Partnership Agreement
  • Preview Partnership Agreement

Form popularity

FAQ

Once known as the ?Hay Shipping Capital of the World,? Gilbert, Arizona has evolved into one of the fastest growing communities and the largest town in the United States. About Us - Gilbert, Arizona gilbertaz.gov ? how-do-i ? about-us gilbertaz.gov ? how-do-i ? about-us

Incorporated on July 6, 1920, Gilbert was once known as the ?Hay Shipping Capital of the World.? It's since transformed into a thriving economically diverse suburban community with a strong economy, competitive schools, and safe neighborhoods.

Best Suburbs Near Phoenix, Arizona Chandler. Population: 257,165. Median Home Value: $285,000. Paradise Valley. Population: 14,502. ... Scottsdale. Population: 255,310. ... Gilbert. Population: 248,279. ... Mesa. Population: 518,012. ... Fountain Hills. Population: 24,987. ... Peoria. Population: 172,259. ... Goodyear. Population: 82,835. ...

The Hay Capital of the World Gilbert was a prime farming community, fueled by the construction of the Roosevelt Dam and the Eastern and Consolidated Canals in 1911. It remained an agriculture town for many years, and was known as the "Hay Capital of the World" until the late 1920s. History | Gilbert, Arizona gilbertaz.gov ? about-us ? history gilbertaz.gov ? about-us ? history

Gilbert is arguably one of the best locations in Arizona to raise a family. As a matter of fact, the city rankings by Niche.com placed it at number 2 in its list of the best places to raise a family in the Phoenix area. Among other scores, it ranked very well in regards to schools (A), housing (B+), and diversity (B).

Gilbert is central to many of Arizona's scenic attractions. Northeast lies the Superstition Mountains, the location of the legendary Lost Dutchman's Gold Mine, as well as the Tonto National Forest which contains scenery ranging from rugged desert to cool pines. About Gilbert discovergilbert.com ? about discovergilbert.com ? about

Gilbert. Gilbert, another of Arizona's richest cities, is located in the southeast part of the Phoenix metropolitan area. Home to an enormous population of roughly 273,000 people, Gilbert is a fast-growing community with plenty to offer.

The Hay Capital of the World Gilbert was a prime farming community, fueled by the construction of the Roosevelt Dam and the Eastern and Consolidated Canals in 1911. It remained an agriculture town for many years, and was known as the "Hay Capital of the World" until the late 1920s.

Gilbert is well known for its Central Trail System that offers 135 miles of enjoyment for outdoor enthusiasts. Along with its equestrian tracks are over 54 miles of marked bike trails where you can ride along the canals and check out a view that hikers around the country could only dream of.

Interesting Questions

Trusted and secure by over 3 million people of the world’s leading companies

Gilbert Arizona Partnership Agreement