Plano Texas Confronting a Troubled Employee Checklist

State:
Multi-State
City:
Plano
Control #:
US-159EM
Format:
Word; 
Rich Text
Instant download

Description

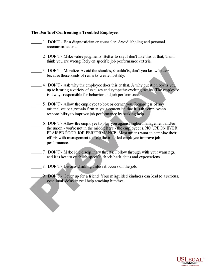
This checklist provides clear directives to management in the do's and don'ts of confronting a troubled employee.
Free preview
  • Preview Confronting a Troubled Employee Checklist
  • Preview Confronting a Troubled Employee Checklist

Form popularity

FAQ

In a recent SmartAsset study, Plano ranked #9 for the wealthiest middle class. The median salary for a Plano resident is $95,002. In a SmartAsset study of the median household income in America's largest 100 cities, Plano ranked #9 for the most wealthy middle class.

Plano, considered the ?Balloon Capital of Texas,? hosts a popular hot-air balloon festival each September. Inc. 1873.

In 1994, the city was recognized as an All-America City. By 2000, the population grew to 222,030, making it one of the largest suburbs of Dallas. Plano is surrounded by other municipalities and therefore cannot expand in area, and there is little undeveloped land remaining within the city limits.

Quality medical care facilities, superior educational opportunities, and excellent recreational and cultural amenities contribute to the quality of life for Plano's citizens.

Plano Demographics White: 55.55% Asian: 22.68% Two or more races: 9.2% Black or African American: 9.02%

Plano is the headquarters of Frito-Lay, a division of Pepsico. Heritage Farmstead Museum occupies a former sheep ranch. Plano, considered the ?Balloon Capital of Texas,? hosts a popular hot-air balloon festival each September.

Plano (/?ple?no?/ PLAY-noh) is a city in the U.S. state of Texas, where it is the largest city in Collin County. Plano is also one of the principal cities of the Dallas-Fort Worth metropolitan area.

The median property value in Plano, TX was $358,100 in 2021, which is 1.46 times larger than the national average of $244,900. Between 2020 and 2021 the median property value increased from $341,800 to $358,100, a 4.77% increase.

Interesting Questions

Trusted and secure by over 3 million people of the world’s leading companies

Plano Texas Confronting a Troubled Employee Checklist