Irvine California Changing Will with Codicil Substituting New Provisions

Category:
State:
Multi-State
City:
Irvine
Control #:
US-02434BG
Format:
Word; 
PDF; 
Rich Text
Instant download

Description

A codicil is a written supplement to a person's will, which must be dated, signed and witnessed under the same legal rules applicable to the making of the original will, and must make some reference to the will it amends. A codicil can add to, subtract from, revoke or modify the terms of the original will. When the person dies, both the original will and the codicil are subject to the probate process and form the basis for administration of the estate and distribution of the assets of the deceased.

A codicil is used to avoid rewriting the entire will. A codicil should reference each section number of the will and the specific language that will be affected. It is important that a codicil is as clear and precise as possible to avoid undue complications.

Statutory provisions in the various jurisdictions specify the formal requisites of a valid will. This form is a generic example that may be referred to when preparing such a form for your particular state. It is for illustrative purposes only. Local laws should be consulted to determine any specific requirements for such a form in a particular jurisdiction.

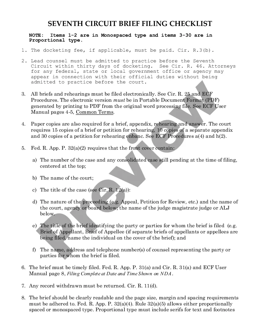
Free preview
  • Preview Changing Will with Codicil Substituting New Provisions
  • Preview Changing Will with Codicil Substituting New Provisions

Form popularity

FAQ

Obtained Win from Ellone in the Lunar Base. Win from the CC Group in the Ragnarok airship in endgame.

Kiros is the first card obtained from the Queen of Cards quest. It becomes available in the Deling City shopping arcade from a man in black who is part of the background rather than a character model after losing MiniMog to the Queen of Cards and sending her to Dollet.

Selphie Tilmitt is 17 years old and was born on July 16. Her height varies between 5'1 ½ and 5'2? (156-157 cm) depending on the official source. Her main weapons are oversized nunchaku, and her Limit Break is Slot. Selphie is also a SeeD operative, but she transferred to Balamb Garden to complete her field exam.

Kiros is the first card obtained from the Queen of Cards quest. It becomes available in the Deling City shopping arcade from a man in black who is part of the background rather than a character model after losing MiniMog to the Queen of Cards and sending her to Dollet.

Now the moonstone. Obviously is one of the items would cry for the exeter which is Irvine's ultimateMoreNow the moonstone. Obviously is one of the items would cry for the exeter which is Irvine's ultimate weapon and the best place to get this is on this three once you've returned from the moon. And this

You need to kill two levels of T-Rexaurs, 20-29 and levels 30-100. The T-Rexaurs level 20-29 drop Dragon Fang's, which are needed for Squall's Ultimate Weapon. The monsters tend to drop a lot of Dragon Fangs at once when they do drop them, so if you're lucky, you only need one lucky drop.

Her ultimate weapon is Shooting Star. As with other player characters, a Triple Triad card based on Rinoa can be obtained.

- Go to Deling City and play cards with General Caraway. Deliberately lose Ifrit to him. - Caraway's hand can now include Rinoa. Win it from him at your convenience.

Follow Selphie over the wall. By the entrace is the Weapons Monthly August, a draw point and Selphie's best friend. Selphie's best friend has the Selphie Card so keep playing with her until you win it (Although you cannot challenge her untill the Trabia Garden story-line is completed).

The Shooting Star is the ultimate weapon for Rinoa, and provides 28 attack and 107 hit rate. It is obtained through the junk shop by paying 1,000 gil and using Windmills x2, a Regen Ring, a Force Armlet, and Energy Crystal x2.

Interesting Questions

Trusted and secure by over 3 million people of the world’s leading companies

Irvine California Changing Will with Codicil Substituting New Provisions