Austin Married Person's Will for the State of Texas with Children With a Credit Shelter Trust for Spouse and a Trust for Children - Marital Trust

Category:
State:
Texas
City:
Austin
Control #:
TX-COMPLEX2BG
Format:
Word; 
PDF; 
Rich Text
Instant download

Description

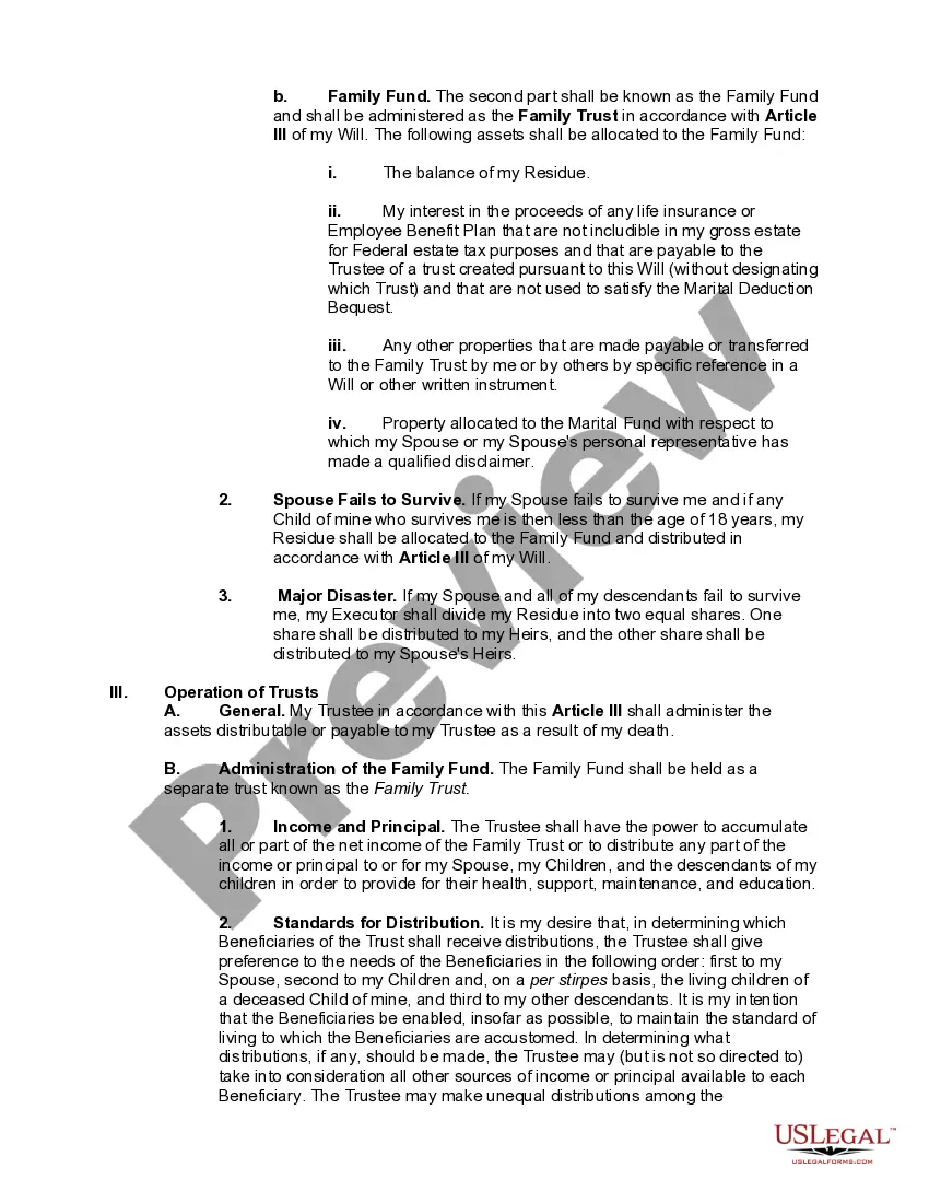
The phrase "credit shelter trust" trust refers to a trust that is designed to make maximum use of the unified credit for estate taxes -- which is also known as the lifetime exemption. Each individual is allowed a once-in-a-lifetime exemption from estate and gift taxes. However, the exemption is computed as a credit against the estate and gift tax that is sufficient to offset the tax on an estate of a specified size. A credit shelter trust is designed to make maximum use of the unified credit for estate taxes. Each individual is allowed a once-in-a-lifetime credit from estate and gift taxes. For 2009 the exempt amount is 3.5 million. By the year 2010 the inheritance tax is eliminated but if congress does not make the elimination permanent in the following year the tax will return and the exempt amount will be $1.0 million. Since it is any one's guess what congress will do, planning to maximize the credit is still the smartest estate plan for married couples to utilize.

The parties must split there assets so that roughly 1/2 half of the assets are held by Spouse One and 1/2 of the assets are held by Spouse Two. Each spouse then provides by will or living trust that upon their death the amount of their assets up to the exemption amount are to be held in a trust known as the credit shelter trust. The trust typically provides that the surviving spouse has entitlement to the income and to the principal provided that there are "ascertainable standards" established in accordance with IRS law for the trustee to distribute principal to the surviving spouse.

When the first spouse dies the credit shelter trust is exempt from tax. When the surviving spouse dies the surviving spouse's estate up to the exempt amount is also exempt from tax. This way the parties can exempt twice as much of their combined estates from taxation and save their loved ones substantial tax savings without losing beneficial use and enjoyment of their assets during their lifetimes.

Free preview
  • Preview Married Person's Will for the State of Texas with Children With a Credit Shelter Trust for Spouse and a Trust for Children - Marital Trust
  • Preview Married Person's Will for the State of Texas with Children With a Credit Shelter Trust for Spouse and a Trust for Children - Marital Trust
  • Preview Married Person's Will for the State of Texas with Children With a Credit Shelter Trust for Spouse and a Trust for Children - Marital Trust
  • Preview Married Person's Will for the State of Texas with Children With a Credit Shelter Trust for Spouse and a Trust for Children - Marital Trust
  • Preview Married Person's Will for the State of Texas with Children With a Credit Shelter Trust for Spouse and a Trust for Children - Marital Trust
  • Preview Married Person's Will for the State of Texas with Children With a Credit Shelter Trust for Spouse and a Trust for Children - Marital Trust
  • Preview Married Person's Will for the State of Texas with Children With a Credit Shelter Trust for Spouse and a Trust for Children - Marital Trust
  • Preview Married Person's Will for the State of Texas with Children With a Credit Shelter Trust for Spouse and a Trust for Children - Marital Trust
  • Preview Married Person's Will for the State of Texas with Children With a Credit Shelter Trust for Spouse and a Trust for Children - Marital Trust
  • Preview Married Person's Will for the State of Texas with Children With a Credit Shelter Trust for Spouse and a Trust for Children - Marital Trust
  • Preview Married Person's Will for the State of Texas with Children With a Credit Shelter Trust for Spouse and a Trust for Children - Marital Trust

How to fill out Married Person's Will For The State Of Texas With Children With A Credit Shelter Trust For Spouse And A Trust For Children - Marital Trust?

Obtaining verified templates tailored to your local regulations can be difficult unless you utilize the US Legal Forms repository.

It’s an online collection of over 85,000 legal documents catering to both personal and business requirements and various real-world situations.

All the paperwork is properly categorized by purpose and jurisdiction, making it as simple and straightforward as ABC to find the Austin Married Person's Will for the State of Texas with Children With a Credit Shelter Trust for Spouse and a Trust for Children - Marital Trust.

Utilizing the US Legal Forms library ensures that you have crucial document templates available for all your needs!

  1. For those already acquainted with our library and have accessed it previously, finding the Austin Married Person's Will for the State of Texas with Children With a Credit Shelter Trust for Spouse and a Trust for Children - Marital Trust requires just a few clicks.
  2. You merely need to Log In to your account, select the document, and hit Download to store it on your device.
  3. This process will entail just a few additional steps for new users.
  4. Follow the guidelines below to initiate with the largest online form collection.
  5. Examine the Preview mode and form description. Ensure you’ve chosen the correct one that fulfills your specifications and entirely aligns with your local jurisdiction standards.

Form popularity

FAQ

A credit shelter trust (CST) is a trust created after the death of the first spouse in a married couple. Assets placed in the trust are generally held apart from the estate of the surviving spouse, so they may pass tax-free to the remaining beneficiaries at the death of the surviving spouse.

If you die without either a will or a living trust, Texas controls the disposition of your property. And settling your estate likely will be more troublesome ? and more costly. The primary difference between a will and a living trust is that assets placed in your living trust avoid probate at your death.

In Texas, you can make a living trust to avoid probate for virtually any asset you own?real estate, bank accounts, vehicles, and so on. You need to create a trust document (it's similar to a will), naming someone to take over as trustee after your death (called a successor trustee).

Trusts are a common tool used by estate planning attorneys in Texas to protect assets for clients. They help you provide for minor beneficiaries, and allow you to dictate how money or property is managed or distributed after your death to adult beneficiaries.

Under Texas trust laws, the following are required for a valid trust to be formed: The Settlor must have a present intent to create a trust. The Settlor must have capacity to convey assets to the trust. The trust must comply with the Statute of Frauds.

Deciding between a Will and a Trust depends on your circumstances; there are pros and cons of each. For example, a Trust can be used to avoid probate and reduce Estate Taxes, whereas a Will cannot.

If you die without either a will or a living trust, Texas controls the disposition of your property. And settling your estate likely will be more troublesome ? and more costly. The primary difference between a will and a living trust is that assets placed in your living trust avoid probate at your death.

Trusts are not on the public record, which means no one will have access to those personal details. In most cases, you will likely need to have both a will and at least one trust as part of your overall estate planning strategy.

Exempt property includes most of what you need to live: Household items, up to $30,000 for a single person and $60,000 for a family. Vehicles, one for each licensed driver in the house. Your homestead, up to 10 acres urban property (single or family) and up to 100 acres rural (single) and 200 acres (family).

Credit Shelter Trust vs Marital Trust - Is a Marital Trust the Same as a Credit Shelter Trust? No. A Marital Trust is a type of Credit Shelter Trust. You and your spouse can use a Marital Trust to pass assets to a surviving spouse, children or grandchildren.

Interesting Questions

Trusted and secure by over 3 million people of the world’s leading companies

Austin Married Person's Will for the State of Texas with Children With a Credit Shelter Trust for Spouse and a Trust for Children - Marital Trust