Wayne Michigan New Resident Guide

Category:
State:
Michigan
County:
Wayne
Control #:
MI-RE-01
Format:
Word
Instant download

This form is part of a form package!

Get all related documents in one bundle, so you don’t have to search separately.

Description

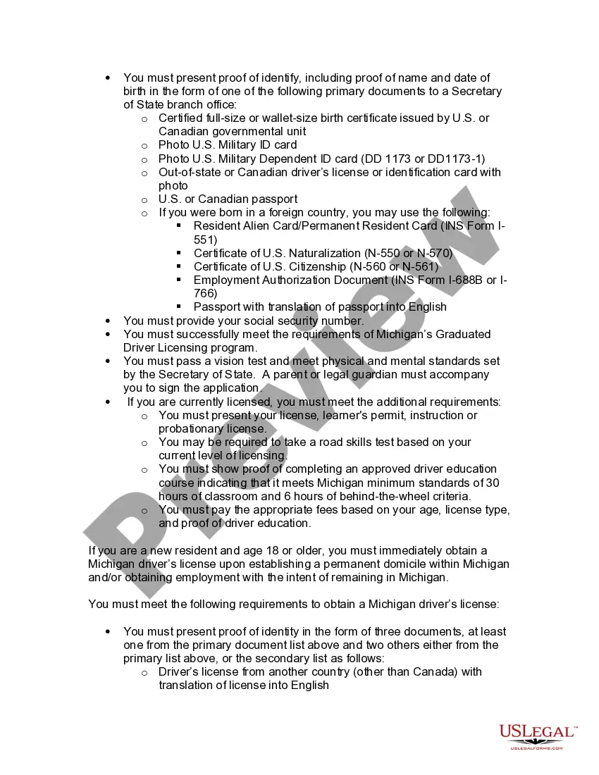
This useful New Resident Guide is an informational form that details for new residents the various state requirements for residency, voter registration, identification cards, drivers licenses, and vehicle title and registration in your new resident state.
Free preview
  • Preview New Resident Guide
  • Preview New Resident Guide
  • Preview New Resident Guide
  • Preview New Resident Guide

How to fill out Michigan New Resident Guide?

We consistently aim to mitigate or bypass legal complications when engaging with intricate legal or financial issues. To achieve this, we subscribe to legal services that are often excessively costly.

Nevertheless, not every legal issue is similarly intricate. A majority of them can be managed independently.

US Legal Forms is an online repository of current DIY legal documents covering everything from wills and powers of attorney to incorporation articles and dissolution petitions. Our platform enables you to take control of your issues without requiring the assistance of a lawyer.

We provide access to legal document samples that are not always readily available. Our samples are specific to states and regions, which significantly eases the search process.

Ensure to verify whether the Wayne Michigan New Resident Guide complies with the laws and regulations of your state and area.

  1. Capitalize on US Legal Forms anytime you need to obtain and download the Wayne Michigan New Resident Guide or any other document seamlessly and securely.
  2. Simply Log In to your account and click the Get button next to it.
  3. If you happened to misplace the form, you can always download it again in the My documents tab.
  4. The procedure is equally straightforward even if you're not familiar with the site!

Form popularity

FAQ

You possess a Michigan driver's license or voter's registration; you possess a Permanent Resident Alien visa; you have continuous physical presence in Michigan for one year or more; you sign a statement of intent to be domiciled in Michigan.

Can I live in one state and claim residency in another? You can have multiple residences in different states but only one domicile. You have to be physically in the same state as your domicile most of the year and able to prove the domicile is your primary residence, ?real home,? or ?place you return.

Any item presented to establish proof of residency must include the applicant's name and a Michigan residence address (no P.O. boxes or Mailbox Plus addresses). Applicants may present any of the following: Utility bill or credit card bill issued within the last 90 days (Electronic copies are acceptable.)

If you are 24 and older, when you submit your FAFSA, you must have maintained continuous Michigan residency for at least 12 months, starting from July 1, 2019. If are younger than 24, you are considered a dependent and your parent's state and date of residency is used to determine your residency.

To convert your out-of-state license to Michigan, take all required documents to a local Secretary of State branch office ? the list of required documents is available. You do not need to take a written test. You will be given a vision test and your photo will be taken.

You possess a Michigan driver's license or voter's registration; you possess a Permanent Resident Alien visa; you have continuous physical presence in Michigan for one year or more; you sign a statement of intent to be domiciled in Michigan.

If an individual lives in this state at least 183 days during the tax year or more than 1/2 the days during a taxable year of less than 12 months he shall be deemed a resident individual domiciled in this state.

1 x Proof of your residential address: Current council tax bill/letter/payment book. Current council/housing association rent book/statement/letter/tenancy agreement. Current television licence. Residential utility bill/Letter (excluding mobile phone bills) dated in the last 3 months.

New residents need to visit a Secretary of State office to apply for a Michigan driver's license (or state ID card), vehicle title, and registration as soon as they establish residency in this state.

You possess a Michigan driver's license or voter's registration; you possess a Permanent Resident Alien visa; you have continuous physical presence in Michigan for one year or more; you sign a statement of intent to be domiciled in Michigan.

Interesting Questions

Trusted and secure by over 3 million people of the world’s leading companies

Wayne Michigan New Resident Guide