Little Rock Arkansas General Durable Power of Attorney for Property and Finances or Financial Effective Immediately

State:
Arkansas
City:
Little Rock
Control #:
AR-P003A
Format:
Word; 
Rich Text
Instant download

This form is part of a form package!

Get all related documents in one bundle, so you don’t have to search separately.

Description

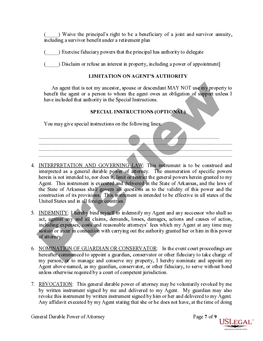
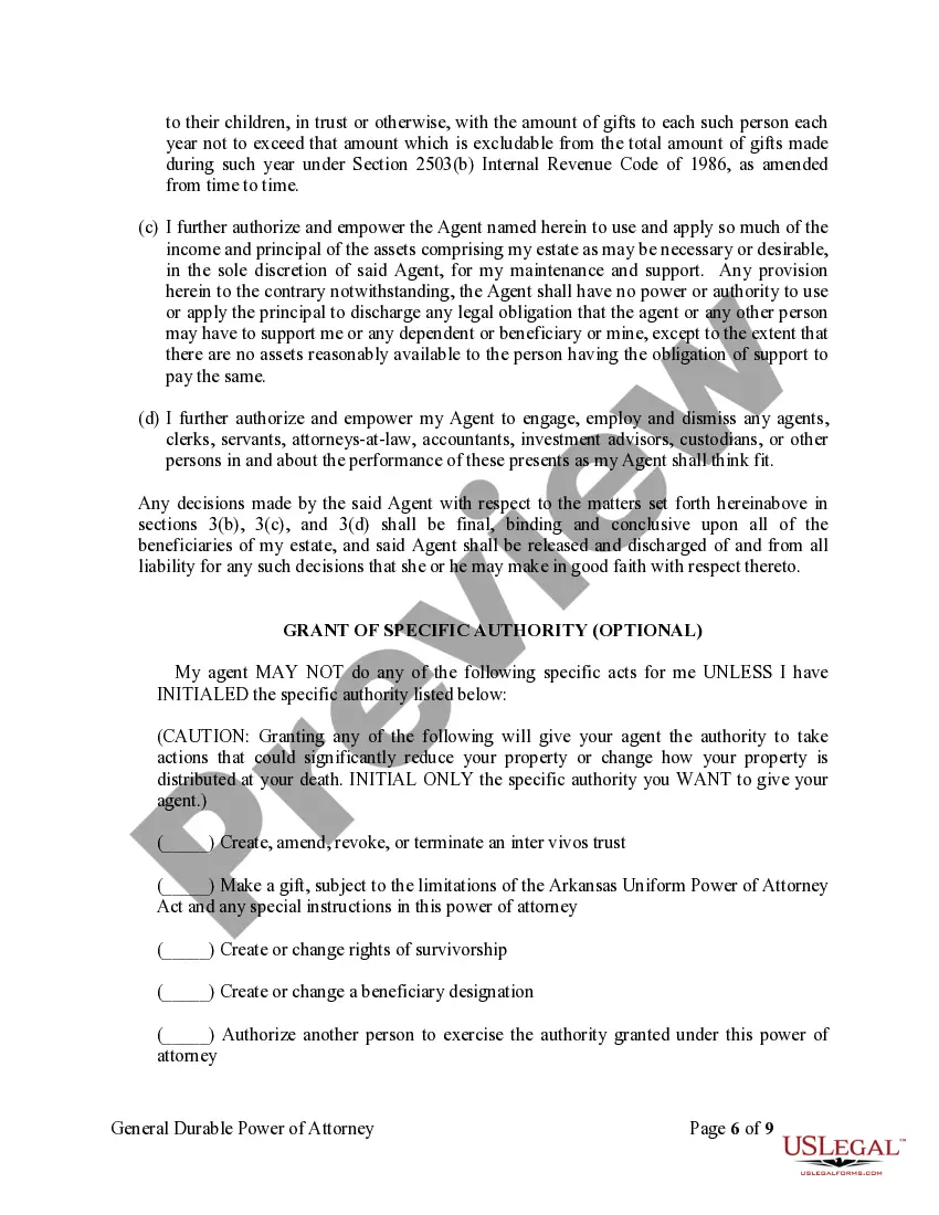
This General Durable Power of Attorney is a general, durable power of attorney which is effective IMMEDIATELY. You can use this form to appoint an attorney-in-fact (agent) to make decisions regarding property, financial, management, banking, business and other matters for you. The powers granted to an Agent in this Power of Attorney are very broad, but do NOT provide for health care services. This form complies with all applicable state statutory laws.

Free preview
  • Preview General Durable Power of Attorney for Property and Finances or Financial Effective Immediately
  • Preview General Durable Power of Attorney for Property and Finances or Financial Effective Immediately
  • Preview General Durable Power of Attorney for Property and Finances or Financial Effective Immediately
  • Preview General Durable Power of Attorney for Property and Finances or Financial Effective Immediately
  • Preview General Durable Power of Attorney for Property and Finances or Financial Effective Immediately
  • Preview General Durable Power of Attorney for Property and Finances or Financial Effective Immediately
  • Preview General Durable Power of Attorney for Property and Finances or Financial Effective Immediately
  • Preview General Durable Power of Attorney for Property and Finances or Financial Effective Immediately
  • Preview General Durable Power of Attorney for Property and Finances or Financial Effective Immediately

How to fill out Arkansas General Durable Power Of Attorney For Property And Finances Or Financial Effective Immediately?

Regardless of one's social or professional standing, finalizing legal paperwork is an unfortunate requirement in the current professional landscape.

Often, it’s nearly impossible for individuals lacking legal expertise to produce such documentation from the ground up, primarily due to the intricate terminology and legal nuances they encompass.

This is where US Legal Forms proves to be beneficial. Our platform offers an extensive library with over 85,000 state-specific templates that cater to nearly any legal circumstance.

If the one you selected does not fit your requirements, you can restart your search for the correct form.

Click Buy Now and choose the subscription plan that best suits your preferences. Then, either Log In with your credentials or create a new account.

Select the payment option and proceed to download the Little Rock Arkansas General Durable Power of Attorney for Property and Finances or Financial Effective Immediately once the payment is completed.

You're all set! You can now print the document or complete it online. If you encounter any issues finding your purchased documents, you can easily access them in the My documents tab.

Whatever issue you're looking to resolve, US Legal Forms has you covered. Give it a try today and discover the benefits for yourself.

  1. If you need the Little Rock Arkansas General Durable Power of Attorney for Property and Finances or Financial Effective Immediately or any other document valid in your jurisdiction, US Legal Forms has it all at your disposal.
  2. Follow these steps to obtain the Little Rock Arkansas General Durable Power of Attorney for Property and Finances or Financial Effective Immediately quickly using our trustworthy platform.
  3. For existing customers, simply Log In to your account to download the necessary form.
  4. If you're new to our platform, ensure you take these steps before acquiring the Little Rock Arkansas General Durable Power of Attorney for Property and Finances or Financial Effective Immediately.
  5. Confirm that the template you selected is tailored to your area, as regulations vary between different states or counties.
  6. Examine the document and read a concise description (if available) regarding the situations the document can be utilized for.

Form popularity

FAQ

Filing a power of attorney in Arkansas involves a few straightforward steps. First, you need to complete a form that designates an agent to handle your property and finances. In the case of the Little Rock Arkansas General Durable Power of Attorney for Property and Finances or Financial Effective Immediately, ensure you include necessary details regarding your financial decisions. Finally, after signing the document, you should file it with your local county clerk’s office to ensure it is recognized legally.

A power of attorney does not need to be recorded in Arkansas, but recording can provide additional security and public notice. If the power of attorney is intended for real estate transactions, it is often beneficial to record it. Using uslegalforms can help you create a comprehensive Little Rock Arkansas General Durable Power of Attorney for Property and Finances or Financial Effective Immediately, ensuring all legal options are available to you.

To obtain a durable power of attorney in Arkansas, you can start by researching the specific requirements and filling out the appropriate forms. Resources like uslegalforms can assist you in drafting your Little Rock Arkansas General Durable Power of Attorney for Property and Finances or Financial Effective Immediately. After completing the document, be sure to have it notarized and witnessed, ensuring that all legal standards are met.

In Arkansas, you as the principal can override a power of attorney at any time, as long as you are mentally competent. Additionally, a court can intervene to revoke or modify a power of attorney if it finds that the agent is not acting in your best interest. It’s wise to periodically review your Little Rock Arkansas General Durable Power of Attorney for Property and Finances or Financial Effective Immediately to ensure it still aligns with your wishes.

In Arkansas, yes, a power of attorney generally needs to be notarized. Notarization ensures that the document is legitimate and reduces the risk of disputes later. Whether you’re dealing with financial matters or healthcare concerns, relying on uslegalforms to obtain a properly notarized Little Rock Arkansas General Durable Power of Attorney for Property and Finances or Financial Effective Immediately can provide peace of mind.

Yes, a durable power of attorney must be notarized in Arkansas to be legally valid. This notarization process helps prevent fraud and confirms that you are granting powers intentionally. For an effective document, it's advisable to use the templates provided by uslegalforms for Little Rock Arkansas General Durable Power of Attorney for Property and Finances or Financial Effective Immediately.

To file for a power of attorney in Arkansas, start by completing the appropriate form. You can utilize resources like uslegalforms, which offer templates for Little Rock Arkansas General Durable Power of Attorney for Property and Finances or Financial Effective Immediately. After filling out the form, sign it in front of a notary and ensure all required witnesses are present, as this step is crucial for validation.

In Arkansas, a power of attorney does not need to be filed with the court. However, it is essential to have it executed properly to ensure its effectiveness. The Little Rock Arkansas General Durable Power of Attorney for Property and Finances or Financial Effective Immediately allows you to appoint someone to manage your financial affairs when needed. By keeping the document accessible, you can provide the necessary authority without court involvement.

Getting power of attorney in the USA can typically be completed in a few hours to a few days, depending on your approach. If you utilize a resource like uslegalforms for the Little Rock Arkansas General Durable Power of Attorney for Property and Finances or Financial Effective Immediately, this can expedite the process considerably. Once the forms are filled out and signed, you will only need to ensure notarization for legal validity. Having everything in order means you can quickly designate your trusted individual without unnecessary delays.

The easiest way to create a power of attorney is to use an online service that offers customizable templates, such as uslegalforms. By selecting the Little Rock Arkansas General Durable Power of Attorney for Property and Finances or Financial Effective Immediately, you can quickly fill out the necessary information without legal jargon. Once completed, have the document notarized to solidify its validity. Utilizing an online platform simplifies the process while ensuring you meet legal requirements.

Interesting Questions

Trusted and secure by over 3 million people of the world’s leading companies

Little Rock Arkansas General Durable Power of Attorney for Property and Finances or Financial Effective Immediately