Utah Qualified Personal Residence Trust One Term Holder

State:
Multi-State
Control #:
US-0681BG
Format:
Word; 
Rich Text
Instant download

Description

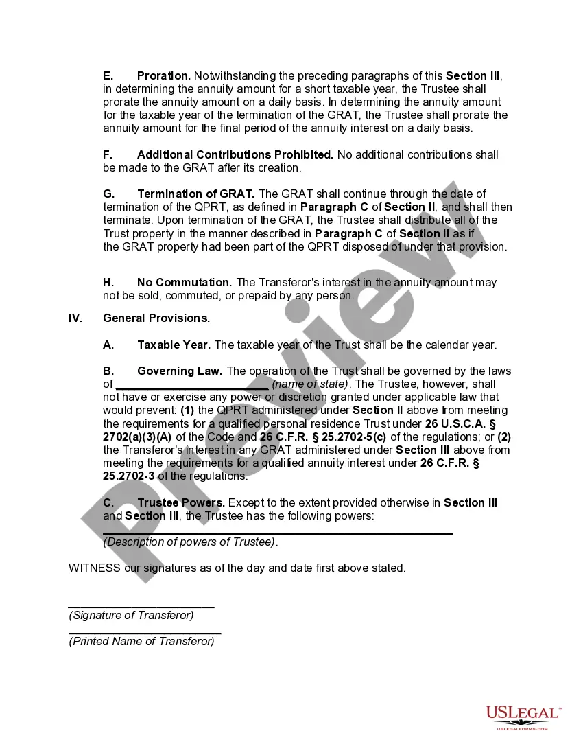
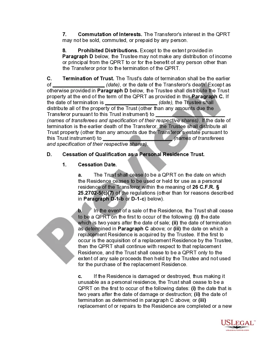
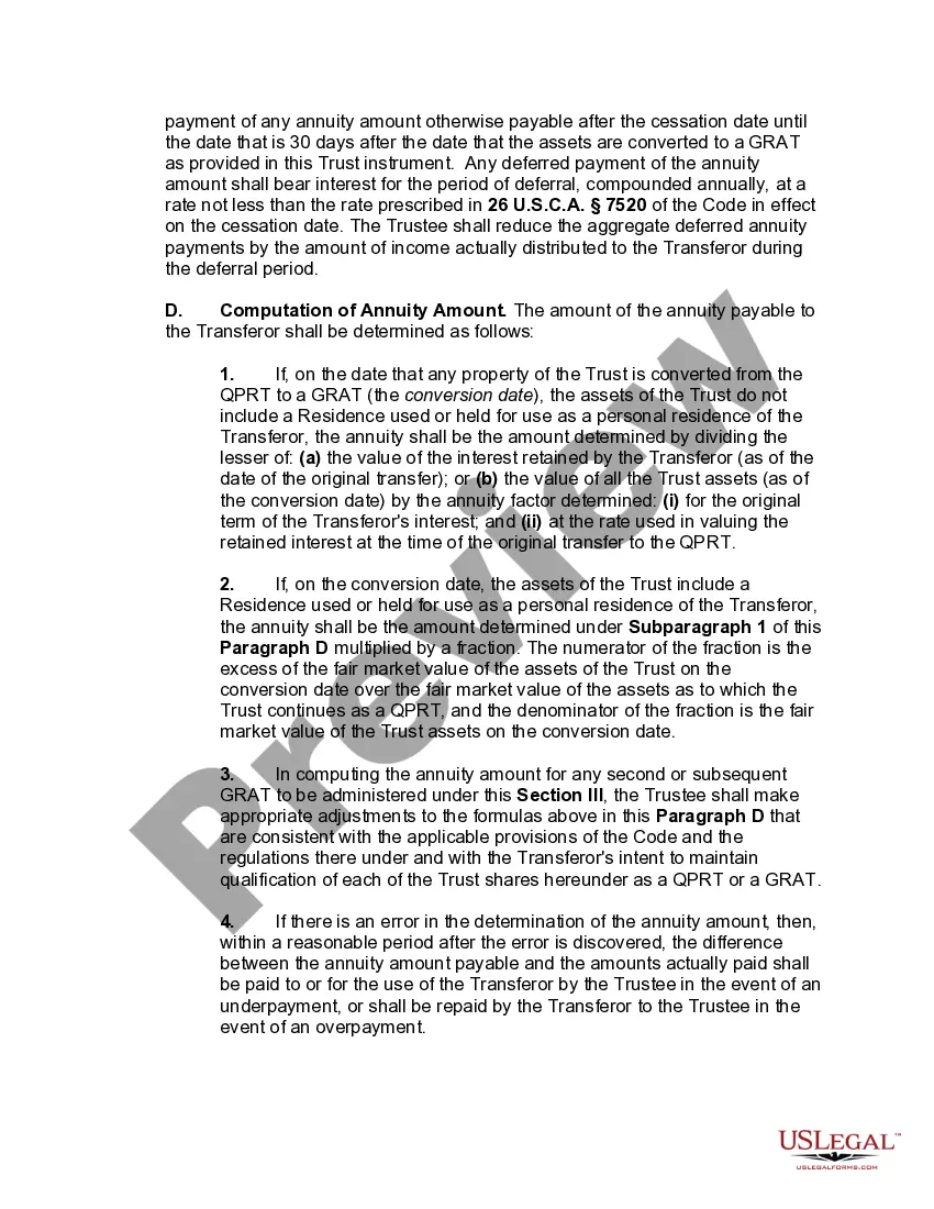
Establishing a Qualified Personal Residence Trust (QPRT) involves transferring the residence to a trust that names the persons who are to receive the residence at the end of the stated term, usually a child or children of the donor. The donor is the trustee and maintains control of the trust and the residence during the selected term. The donor is still considered the owner for income tax purposes. The donor continues to make mortgage payments, if any, and pays for property taxes, insurance and routine maintenance. As a result the donor gets to take the income tax deductions related to the property. He or she also receives the tax benefits associated with the sale of a principal residence.
Free preview
  • Preview Qualified Personal Residence Trust One Term Holder
  • Preview Qualified Personal Residence Trust One Term Holder
  • Preview Qualified Personal Residence Trust One Term Holder
  • Preview Qualified Personal Residence Trust One Term Holder
  • Preview Qualified Personal Residence Trust One Term Holder
  • Preview Qualified Personal Residence Trust One Term Holder
  • Preview Qualified Personal Residence Trust One Term Holder
  • Preview Qualified Personal Residence Trust One Term Holder

How to fill out Qualified Personal Residence Trust One Term Holder?

If you require extensive, download, or print legal document templates, utilize US Legal Forms, the largest collection of legal forms available online.

Take advantage of the site's straightforward and user-friendly search feature to locate the documents you need.

Numerous templates for business and personal purposes are categorized by categories and states, or keywords.

Step 3. If you are dissatisfied with the form, utilize the Search field at the top of the screen to find other versions of the legal form template.

Step 4. Once you have located the form you need, click the Get now button. Choose the payment plan you prefer and enter your details to register for an account.

  1. Utilize US Legal Forms to find the Utah Qualified Personal Residence Trust One Term Holder with just a few clicks.
  2. If you are already a US Legal Forms customer, Log In to your account and then click the Download button to obtain the Utah Qualified Personal Residence Trust One Term Holder.
  3. You can also access forms you have previously downloaded in the My documents tab of your account.
  4. If you are using US Legal Forms for the first time, follow the instructions below.
  5. Step 1. Ensure you have selected the form for the correct city/state.
  6. Step 2. Use the Review option to go through the form's content. Remember to check the description.

Form popularity

FAQ

A qualified personal residence trust (QPRT) is a specific type of irrevocable trust that allows its creator to remove a personal home from their estate for the purpose of reducing the amount of gift tax that is incurred when transferring assets to a beneficiary.

Unwinding a QPRT All you have to do is enter into a lease agreement that pays fair market rent. After the QPRT expiration term, the grantor must pay rent if they continue to reside in the property.

The sale of the residence without any reinvestment of the proceeds in a new residence will cause the QPRT status to terminate as to all of the assets.

Because there's no limit on how long the QPRT must run, it's not uncommon to see QPRTs that were created 10 to 15 years ago finally expire today.

The biggest benefit of a QPRT is that it removes the value of your primary or second home and its appreciation from your taxable estate. Continued use of the property. With your home in a QPRT, you can still live in the property rent-free and enjoy any income tax deductions associated with it.

A life estate with remainder to charity is normally created for one or two lives. However, it may be created for a term of years. Alternatively, it is possible to create a qualified personal residence trust (QPRT) and to create a life estate agreement for a term of years with a remainder to family.

The biggest benefit of a QPRT is that it removes the value of your primary or second home and its appreciation from your taxable estate. Continued use of the property. With your home in a QPRT, you can still live in the property rent-free and enjoy any income tax deductions associated with it. Gift tax benefits.

A qualified personal residence trust (QPRT) is a trust to which a person (called the settlor, donor, or grantor) transfers his personal residence. The grantor reserves the right to live in the house for a period of years; this retained interest reduces the current value of the gift for gift tax purposes.

If the Grantor dies during the term of the trust, the property is brought back into the Grantor's estate as if the QPRT never existed and all tax savings are lost. It's important to note, however, that we would have had the same result had the Grantor never established the trust.

A qualified personal residence trust (QPRT) is a specific type of irrevocable trust that allows its creator to remove a personal home from their estate for the purpose of reducing the amount of gift tax that is incurred when transferring assets to a beneficiary.

Trusted and secure by over 3 million people of the world’s leading companies

Utah Qualified Personal Residence Trust One Term Holder