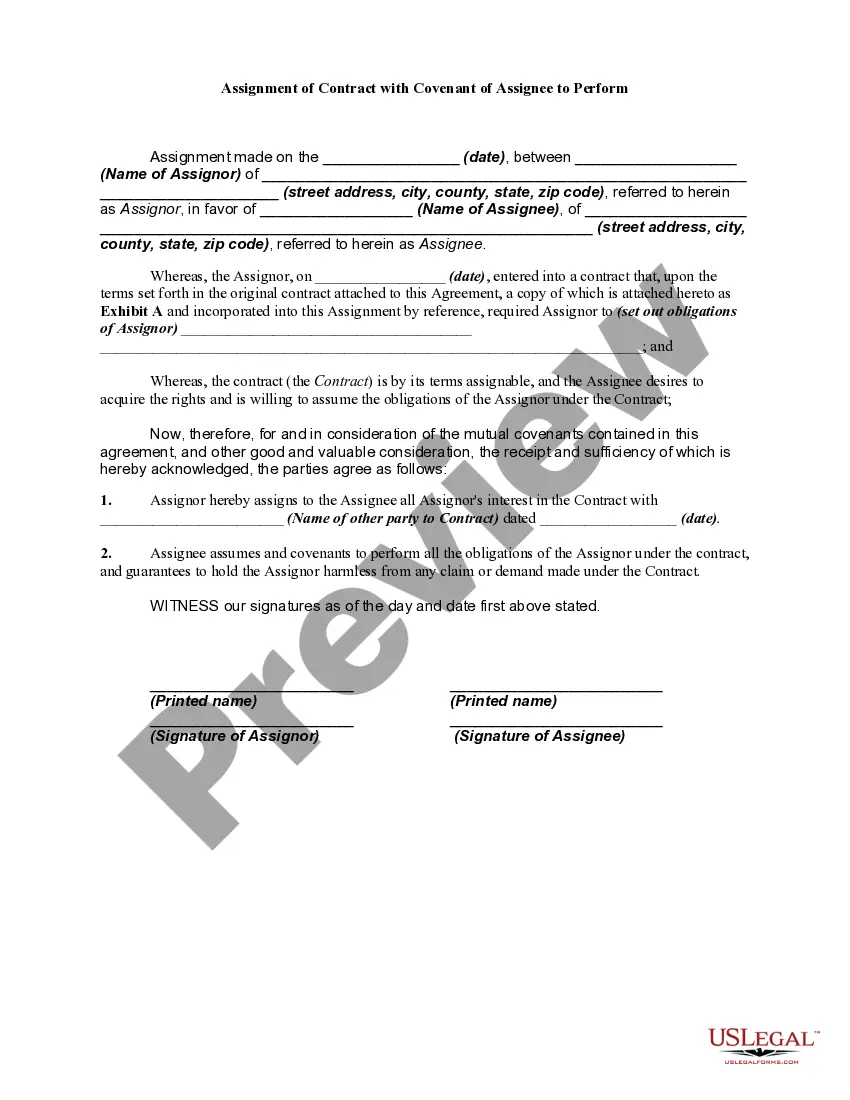
An assignment does not relieve the assignor of any obligation under the contract. An assignor continues to be bound by the obligations of the original contract unless the other party to the contract releases him. In this form the assignee specifically promises the assignor that he/she will perform the obligations of the contract being assigned and promises to indemnify assignor if assignee fails to perform.










