The Conservatorship Checklist for Adults is a legal template specifically designed for use in Oregon. This form aids in the appointment of a conservator for adults who may be unable to manage their personal or financial affairs. It includes essential documentation required by the court to establish a conservatorship, ensuring proper legal protocols are followed. Unlike similar forms, this checklist specifically tailors to adult conservatorships, providing clear instructions for the petitioner.
This form should be used when there is a need to appoint a conservator for an adult who is unable to manage their personal affairs due to incapacity. Common scenarios include situations where an individual has health issues, cognitive impairments, or other circumstances that impede their ability to make sound financial or personal decisions. It is crucial to use this form to fulfill legal requirements when seeking court intervention for the protection of the challenged individual.
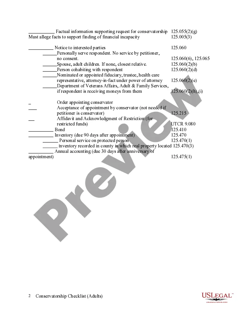
This form is intended for:
To make this form legally binding, it must be notarized. Our online notarization service, powered by Notarize, lets you verify and sign documents remotely through an encrypted video session.
Our built-in tools help you complete, sign, share, and store your documents in one place.
Make edits, fill in missing information, and update formatting in US Legal Forms—just like you would in MS Word.
Download a copy, print it, send it by email, or mail it via USPS—whatever works best for your next step.
Sign and collect signatures with our SignNow integration. Send to multiple recipients, set reminders, and more. Go Premium to unlock E-Sign.
If this form requires notarization, complete it online through a secure video call—no need to meet a notary in person or wait for an appointment.
We protect your documents and personal data by following strict security and privacy standards.

Make edits, fill in missing information, and update formatting in US Legal Forms—just like you would in MS Word.

Download a copy, print it, send it by email, or mail it via USPS—whatever works best for your next step.

Sign and collect signatures with our SignNow integration. Send to multiple recipients, set reminders, and more. Go Premium to unlock E-Sign.

If this form requires notarization, complete it online through a secure video call—no need to meet a notary in person or wait for an appointment.

We protect your documents and personal data by following strict security and privacy standards.
How is a guardianship or conservatorship set up? Someone interested in the individual's welfare must file a petition in Superior Court, Probate Division, requesting appointment of a guardian or conservator. Once the petition is reviewed by the Probate Division and accepted for filing, a hearing is scheduled.
Under U.S. law, conservatorship is the appointment of a guardian or a protector by a judge to manage the financial affairs and/or daily life of another person due to old age or physical or mental limitations. A person under conservatorship is a "conservatee", a term that can refer to an adult.
Establishing and funding a revocable living trust is a simple way to avoid a court-supervised conservatorship if you should become mentally incapacitated. You can nominate someone now to take care of your personal affairs later, rather than rely on a court to select someone you might not want to act on your behalf.
Someoneusually a family memberfiles a petition with the court to become the conservator for an individual. The petition will state that the individual in question is unable to manage his or her income and property without assistanceand without management assets will be wasted or dissipated.
File a Petition For Conservatorship with the court: File a Confidential Supplemental Information Form: File a Confidential Conservatorship Screening Form: File a Duties of Conservator Form: Serve Notice on the Conservatee: Provide Notice to the Conservatee's Relatives:
Temporary Conservatorships A temporary conservator is usually appointed for a fixed time period, usually 30 to 60 days.
Get a capacity assessment. Have a professional assess whether the adult can make decisions on their own. Fill out the application forms. If you want to apply for guardianship. Submit your application package.
Guardianship also can be required when a person with Alzheimer's or dementia is no longer able to legally sign power of attorney documents due to mental incapacitation. Guardianship gives you the legal right to make decisions for a parent or loved one with Alzheimer's or dementia.