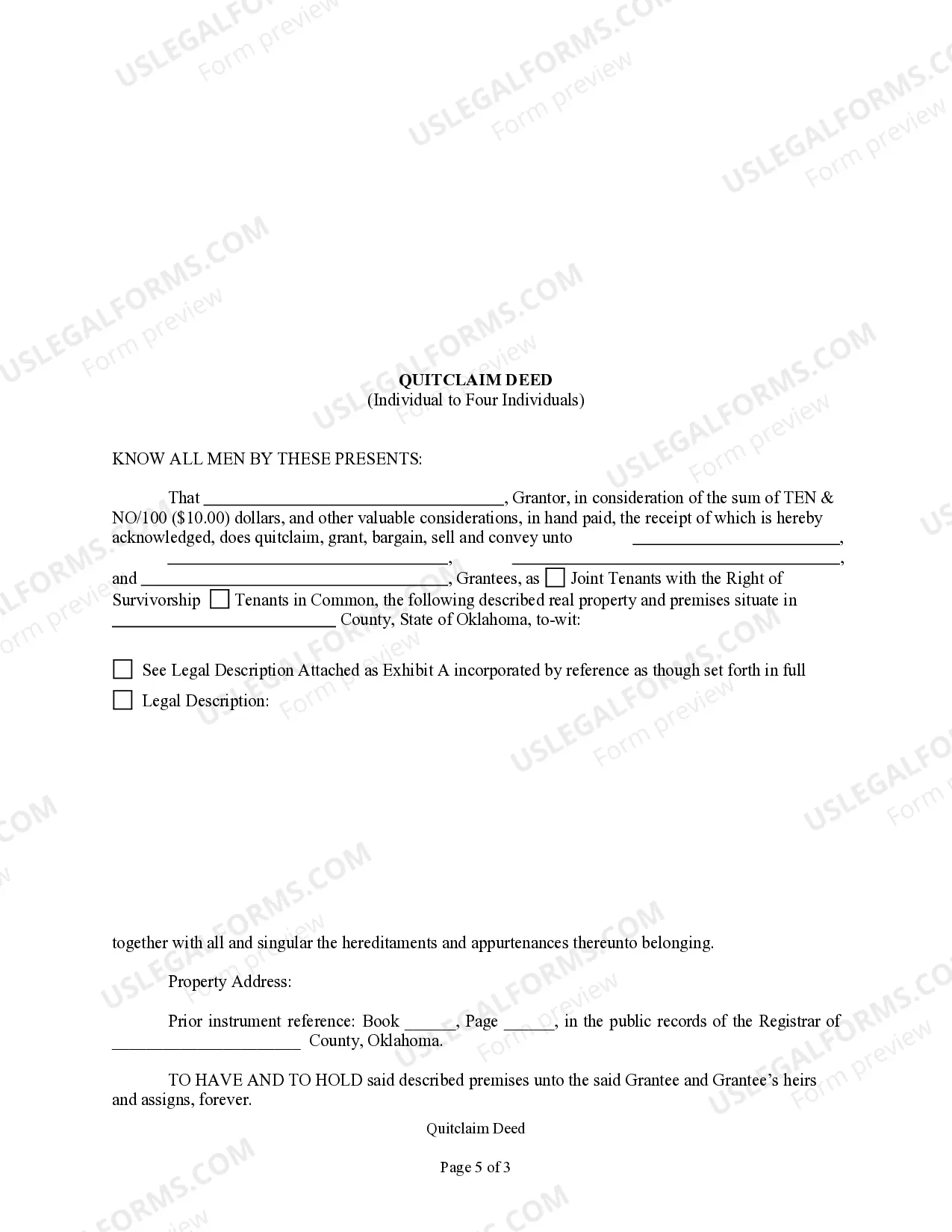
This Quitclaim Deed is a legal document used to transfer property ownership from one individual (the grantor) to four individuals (the grantees). It conveys the property without guaranteeing clear title, meaning the grantor does not assure the grantees that the title is free of claims or liens. The grantees may take ownership as joint tenants with the right of survivorship or as tenants in common. This Quitclaim Deed complies with all state statutory laws, making it a suitable choice for straightforward property transfers.
This form is ideal to use when an individual wishes to transfer their interest in a property to multiple people. Common scenarios include transferring property among family members, such as parents to children, or simplifying ownership among friends or business partners. This form is also used in situations where the grantor does not require any warranties regarding the property's title and ownership claims.
Yes, this form must be notarized to be legally valid. This ensures that the signature of the grantor is authentic and that the deed can be recorded with local authorities. US Legal Forms provides integrated online notarization services that offer 24/7 availability, secure video calls, and legal equivalence without the need for in-person visits.
Our built-in tools help you complete, sign, share, and store your documents in one place.
Make edits, fill in missing information, and update formatting in US Legal Forms—just like you would in MS Word.
Download a copy, print it, send it by email, or mail it via USPS—whatever works best for your next step.
Sign and collect signatures with our SignNow integration. Send to multiple recipients, set reminders, and more. Go Premium to unlock E-Sign.
If this form requires notarization, complete it online through a secure video call—no need to meet a notary in person or wait for an appointment.
We protect your documents and personal data by following strict security and privacy standards.

Make edits, fill in missing information, and update formatting in US Legal Forms—just like you would in MS Word.

Download a copy, print it, send it by email, or mail it via USPS—whatever works best for your next step.

Sign and collect signatures with our SignNow integration. Send to multiple recipients, set reminders, and more. Go Premium to unlock E-Sign.

If this form requires notarization, complete it online through a secure video call—no need to meet a notary in person or wait for an appointment.

We protect your documents and personal data by following strict security and privacy standards.
Fill out the quit claim deed form, which can be obtained online, or write your own using the form as a guide. The person giving up the interest in the property is the grantor, and the person receiving the interest is the grantee.
A quitclaim deed must meet all state and local standards for recorded instruments. Sign the deed in the presence of a notary public and record at the clerk's office in the county where the property is located for a valid transfer. Contact the same office to verify accepted forms of payment.
But you might be wondering if an owner can transfer a deed to another person without a real estate lawyer. The answer is yes. Parties to a transaction are always free to prepare their own deeds.A quitclaim deed, for example, is far simpler than a warranty deed.
Recording A quit claim deed must be filed with the County Clerk's Office along with the required filing fee (varies by location). Signing (§ 16-26) This form is required to be authorized by the Grantor(s) in front of a Notary Public with their acknowledgment and seal.
Recording: Oklahoma requires quitclaim deeds to be recorded with the County Clerk's Office in the county where the property is. Filing Fee: The county will charge a filing fee that must be paid with the deed.
A person who signs a quitclaim deed to transfer property they do not own results in no title at all being transferred since there is no actual ownership interest. The quitclaim deed only transfers the type of title you own.
To use a Quitclaim Deed to add someone to a property deed or title, you would need to create a Quitclaim Deed and list all of the current owners in the grantor section. In the grantee section, you would list all of the current owners as well as the person you would like to add.
The Quit Claim Deed form uses the terms of Grantor (Seller or Owner of said property) and Grantee (Buyer of said property) for the two parties involved. First, the parties must fill in the date. Then, write in the name of the county and state in which the property is located.