New Hampshire Prenuptial Marital Property Agreement Between Parties who have been Previously Married and have Children from Prior Marriage

State:
Multi-State
Control #:
US-00941BG
Format:
Word; 
Rich Text
Instant download

Description

A prenuptial agreement (also known as an antenuptial agreement) is a written contract created by two people planning to be married. The agreement typically lists all of the property each person owns, as well as their debts, and it specifies what each person's property rights will be after they marry and upon the death of each.

Free preview
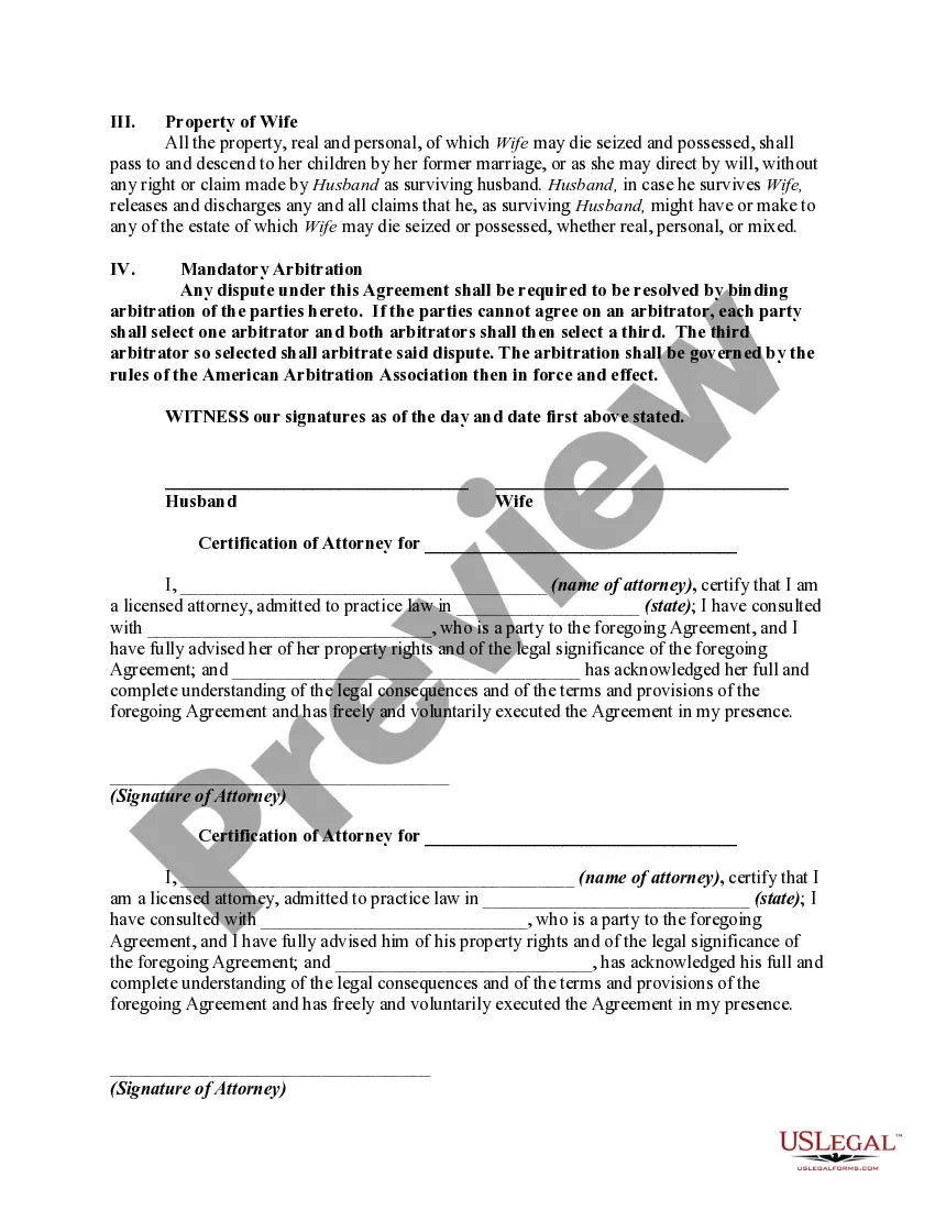
  • Preview Prenuptial Marital Property Agreement Between Parties who have been Previously Married and have Children from Prior Marriage
  • Preview Prenuptial Marital Property Agreement Between Parties who have been Previously Married and have Children from Prior Marriage

How to fill out Prenuptial Marital Property Agreement Between Parties Who Have Been Previously Married And Have Children From Prior Marriage?

Selecting the appropriate legal document template can be quite a challenge.

Of course, there are numerous templates available online, but how do you locate the legal form you require.

Utilize the US Legal Forms website. The platform offers thousands of templates, such as the New Hampshire Prenuptial Marital Property Agreement Between Parties Who Have Been Previously Married and Have Children from Prior Marriages, that you can utilize for both business and personal needs.

You can preview the form using the Preview button and read the form description to confirm it is suitable for you.

  1. All templates are verified by professionals and comply with federal and state regulations.
  2. If you are already a member, Log In to your account and then click the Download button to obtain the New Hampshire Prenuptial Marital Property Agreement Between Parties Who Have Been Previously Married and Have Children from Prior Marriages.
  3. Use your account to review the legal forms you have purchased previously.
  4. Go to the My documents section of your account to retrieve another copy of the document you need.
  5. If you are a new user of US Legal Forms, here are some straightforward instructions for you to follow.
  6. First, ensure you have chosen the right form for your city/county.

Form popularity

FAQ

Asking for a prenup is not necessarily a red flag; rather, it can indicate a responsible approach to financial planning. It shows that you care about protecting each other's interests, especially in cases involving children from prior marriages. Open communication is key, and a well-structured New Hampshire Prenuptial Marital Property Agreement Between Parties who have been Previously Married and have Children from Prior Marriage can strengthen your partnership.

To initiate a prenuptial agreement, start by discussing the idea with your partner. Set aside time to talk about your future and financial expectations. Once both of you agree, consider using a platform like uslegalforms for guidance in drafting a comprehensive New Hampshire Prenuptial Marital Property Agreement Between Parties who have been Previously Married and have Children from Prior Marriage.

No, it is not wrong to ask for a prenuptial agreement. In fact, it demonstrates foresight and a desire to protect both parties' interests. A New Hampshire Prenuptial Marital Property Agreement Between Parties who have been Previously Married and have Children from Prior Marriage can provide clarity and security, fostering a foundation of trust in the relationship.

When asking your partner for a prenuptial agreement, be honest and straightforward about your reasons. Emphasize financial security and how the New Hampshire Prenuptial Marital Property Agreement Between Parties who have been Previously Married and have Children from Prior Marriage can benefit both of you. Approach the conversation with care, focusing on collaboration rather than confrontation.

Reversing a prenuptial agreement typically requires mutual consent from both parties and legal involvement. You should consult a legal professional who specializes in family law to guide you through the process effectively. They will help you draft the appropriate documentation to formally revoke the New Hampshire Prenuptial Marital Property Agreement Between Parties who have been Previously Married and have Children from Prior Marriage.

Approaching your partner about a New Hampshire Prenuptial Marital Property Agreement Between Parties who have been Previously Married and have Children from Prior Marriage can be a delicate matter. Begin by choosing a calm and private setting to discuss your concerns and intentions. Clearly explain the benefits of having a prenup, such as protecting each other's assets and ensuring clarity regarding financial rights.

If you owned a house prior to marriage, that property is typically regarded as separate property in New Hampshire. Your spouse does not automatically gain rights to the house unless you have added them to the deed or made significant contributions. To ensure your rights are protected and clear under a New Hampshire Prenuptial Marital Property Agreement Between Parties who have been Previously Married and have Children from Prior Marriage, it is essential to document your separate property status.

In New Hampshire, an inheritance is generally considered separate property, unless it has been commingled with marital assets. This means that inherited funds or property typically remain with the recipient, unless a court determines otherwise. Advisably, including provisions in a New Hampshire Prenuptial Marital Property Agreement Between Parties who have been Previously Married and have Children from Prior Marriage can prevent any future disputes over inherited assets.

In New Hampshire, cohabitation laws recognize the rights of unmarried couples living together. While there are fewer legal protections compared to marriage, cohabiting partners can enter into agreements to define property rights and responsibilities. Establishing a New Hampshire Prenuptial Marital Property Agreement Between Parties who have been Previously Married and have Children from Prior Marriage can provide similar clarity and protection.

In New Hampshire, you may be responsible for your spouse's debt incurred during the marriage, depending on the nature of the debt. However, debts acquired before marriage or those solely in one spouse's name typically remain that spouse's responsibility. A well-crafted New Hampshire Prenuptial Marital Property Agreement Between Parties who have been Previously Married and have Children from Prior Marriage can explicitly address these financial responsibilities.

Trusted and secure by over 3 million people of the world’s leading companies

New Hampshire Prenuptial Marital Property Agreement Between Parties who have been Previously Married and have Children from Prior Marriage