Nebraska Contract for the Sale and Purchase of Commercial or Industrial Property

State:
Multi-State
Control #:
US-02261BG
Format:
Word; 
Rich Text
Instant download

Description

Contract for the Sale and Purchase of Commercial or Industrial Property
Free preview
  • Preview Contract for the Sale and Purchase of Commercial or Industrial Property
  • Preview Contract for the Sale and Purchase of Commercial or Industrial Property
  • Preview Contract for the Sale and Purchase of Commercial or Industrial Property
  • Preview Contract for the Sale and Purchase of Commercial or Industrial Property

How to fill out Contract For The Sale And Purchase Of Commercial Or Industrial Property?

If you wish to gather, obtain, or print legal document templates, utilize US Legal Forms, the largest collection of legal forms available online.

Employ the website's user-friendly and straightforward search to find the documents you need.

A range of templates for business and personal use are categorized by groups and states, or keywords.

Step 3. If you are unhappy with the form, use the Search field at the top of the screen to find other versions of the legal form template.

Step 4. After you locate the form you need, click the Get now button. Choose the pricing plan you prefer and enter your credentials to register for the account.

  1. Utilize US Legal Forms to acquire the Nebraska Contract for the Sale and Purchase of Commercial or Industrial Property with just a few clicks.
  2. If you are currently a US Legal Forms user, Log In to your account and click the Download button to obtain the Nebraska Contract for the Sale and Purchase of Commercial or Industrial Property.
  3. You can also access forms you previously downloaded from the My documents tab in your account.
  4. If you are using US Legal Forms for the first time, follow the instructions below.
  5. Step 1. Make sure to choose the form for the appropriate city/state.
  6. Step 2. Use the Preview option to review the content of the form. Be sure to read the description.

Form popularity

FAQ

Listing a commercial property for sale involves several steps. First, gather essential information about the property, such as location, size, and zoning regulations. You should then create a detailed listing and choose a platform that effectively reaches potential buyers, like US Legal Forms, which offers tools designed for listing commercial properties. Finally, utilize professional photos and accurate descriptions to attract interest and maximize visibility.

Real Estate Terms GlossaryBorrower.Broker.Buyer's agent/listing agent.Buyer's market/seller's market.Co-borrower.Commission.Eminent domain.Exclusive listing.More items...?

The Five Elements of a ContractOffer.Acceptance.Consideration.Capacity.Lawful Purpose.

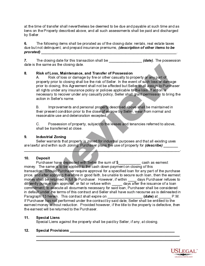
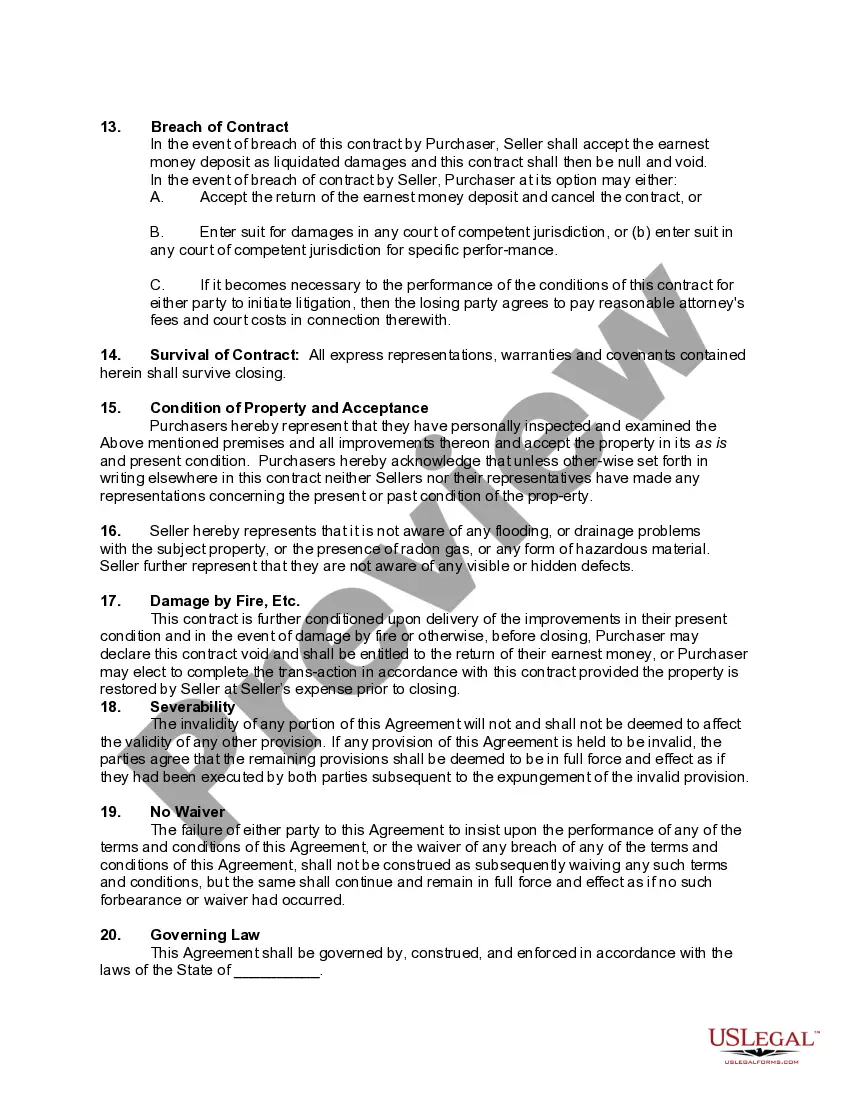
Among the terms typically included in the agreement are the purchase price, the closing date, the amount of earnest money that the buyer must submit as a deposit, and the list of items that are and are not included in the sale.

The LOI should be in writing; it should be signed by the parties; it should state all needed terms of a property sale agreement or lease, like price or rent, party names and descriptions of the property and the interest conveyed and finally, it should state clearly that the parties may (or will) prepare a final written

How to create winning commercial real estate proposals: a step-by-step guideStart with an executive summary.Define the property.Provide location information.Summarize the existing property market.Make specific marketing recommendations.Give some details about you and your team.Don't forget to use visuals.

To obtain a sale and purchase agreement you'll need to contact your lawyer or conveyancer or a licenced real estate professional. You can also purchase printed and digital sale and purchase agreement forms online.

In commercial real estate, a Letter of Intent is a preliminary agreement that is negotiated between a tenant and landlord or buyer and seller. The LOI or Letter of Intent states the primary economics and deal points with proposed terms.

There are essentially four types of real estate contracts: purchase agreement contracts, contracts for deed, lease agreements, and power of attorney contracts.

Follow these steps to write an LOI for an intended commercial real estate transaction:Structure it like a letter.Write the opening paragraph.State the parties involved.Draft a property description.Outline the terms of the offer.Include disclaimers.Conclude with a closing statement.

Trusted and secure by over 3 million people of the world’s leading companies

Nebraska Contract for the Sale and Purchase of Commercial or Industrial Property