Nebraska Lease of Unfurnished House

State:
Multi-State
Control #:
US-01581BG
Format:
Word; 
Rich Text
Instant download

Description

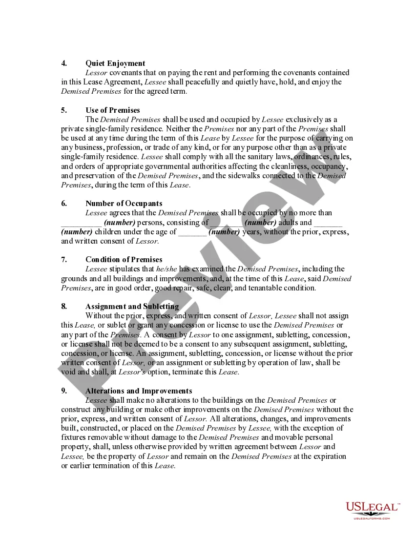
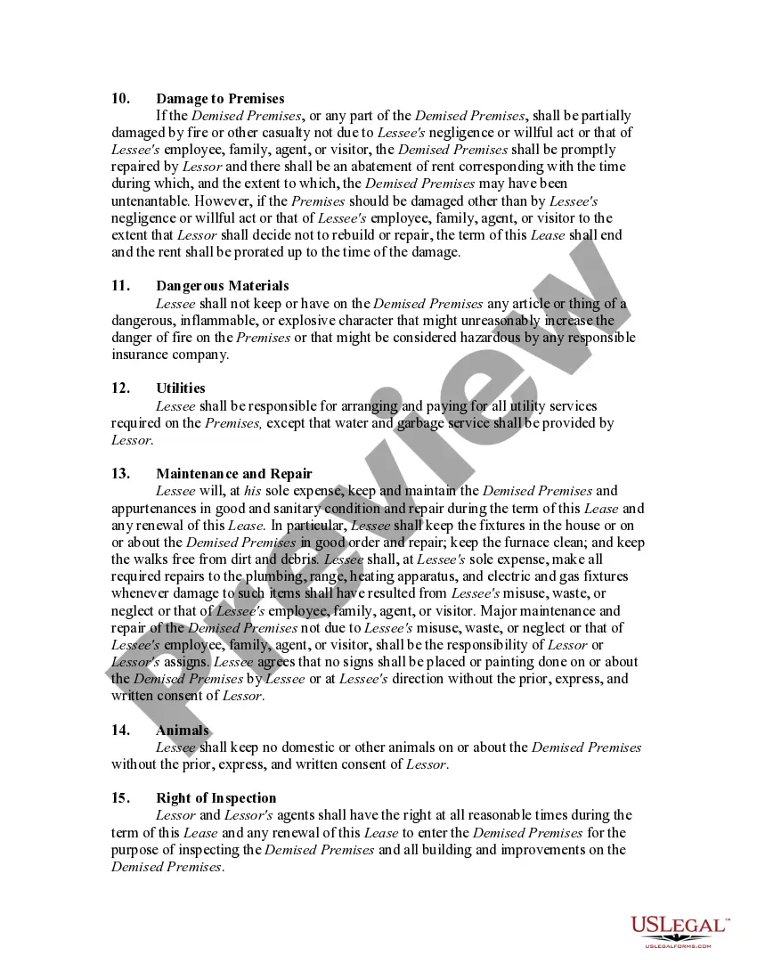
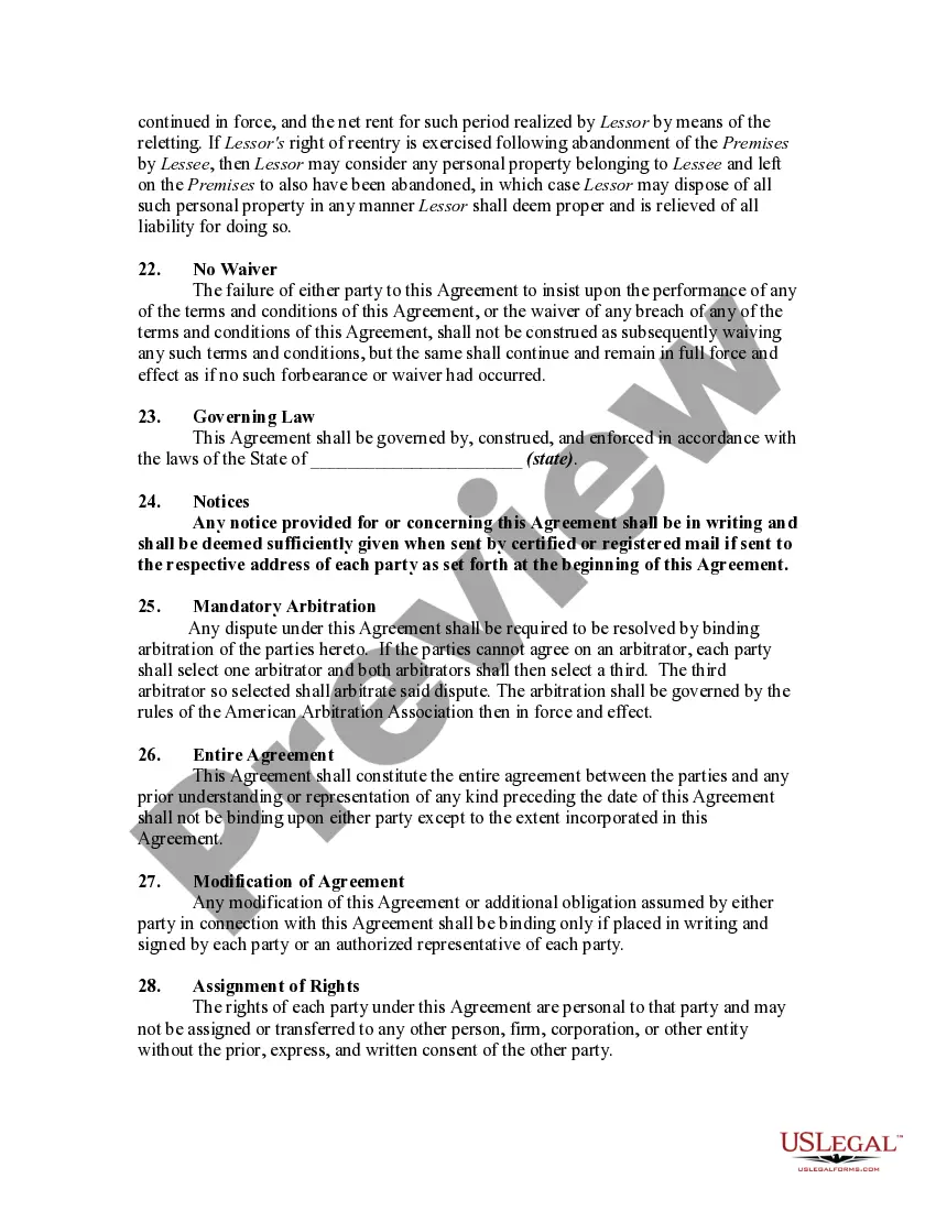
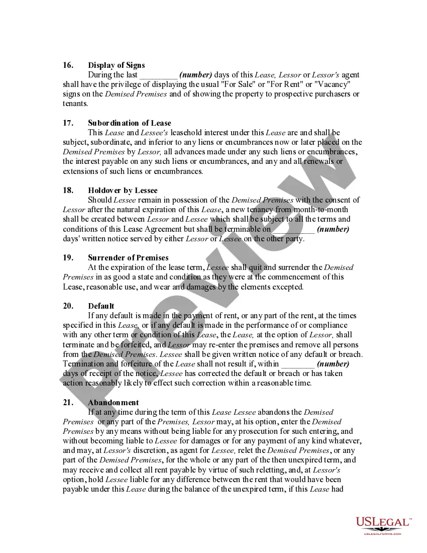
The relationship of landlord/tenant or lessor/lessee is created by contract. The person who owns the real property is known as the lessor or landlord. The lessee, or tenant, is the one who occupies the property.


Tenancies are classified by duration as tenancies for years, from year to year, month to month, and at will. A tenancy for years is one under which the tenant has an estate of definite duration. The term "for years" is used to describe such a tenancy even though the duration of the tenancy is for only one year or for less than a year. A tenancy from year to year or month to month is one under which a tenant, holding an estate in land for an indefinite duration, pays an annual, monthly, or weekly rent.

Free preview
  • Preview Lease of Unfurnished House
  • Preview Lease of Unfurnished House
  • Preview Lease of Unfurnished House
  • Preview Lease of Unfurnished House
  • Preview Lease of Unfurnished House
  • Preview Lease of Unfurnished House

How to fill out Lease Of Unfurnished House?

If you need to accumulate, obtain, or create official document templates, utilize US Legal Forms, the primary selection of legal forms, which are available online.

Employ the website's user-friendly and efficient search to locate the documents you require. Various templates for corporate and personal purposes are categorized by types and regions, or by keywords.

Use US Legal Forms to find the Nebraska Lease of Unfurnished Residence with just a few clicks.

Every legal document template you purchase belongs to you indefinitely. You have access to every form you saved in your account. Go to the My documents section and select a form to print or download again.

Stay competitive and acquire, and print the Nebraska Lease of Unfurnished Residence with US Legal Forms. There are millions of professional and state-specific forms available for your business or personal needs.

  1. If you are already a US Legal Forms user, sign in to your account and then click the Download button to obtain the Nebraska Lease of Unfurnished Residence.
  2. You can also access forms you previously saved in the My documents section of your account.
  3. If you are using US Legal Forms for the first time, follow the steps below.
  4. Step 1. Ensure you have selected the form for the correct city/state.
  5. Step 2. Use the Preview option to review the form's content. Remember to read the description.
  6. Step 3. If you are not satisfied with the document, utilize the Search box at the top of the page to find alternative templates in the legal form catalog.
  7. Step 4. Once you have located the form you desire, click the Purchase now button. Choose the pricing option you prefer and enter your details to create an account.
  8. Step 5. Complete the purchase. You may use your credit card or PayPal account to finalize the transaction.
  9. Step 6. Select the format of the legal form and download it to your device.
  10. Step 7. Complete, modify, and print or sign the Nebraska Lease of Unfurnished Residence.

Form popularity

FAQ

Yes, you can create your own lease agreement for a Nebraska Lease of Unfurnished House. However, it's essential to ensure that your agreement complies with Nebraska state laws and includes all necessary clauses. Using a platform like USLegalForms can help you craft a legally sound lease, providing templates and guidance tailored to your specific needs. This way, you can confidently establish clear expectations with your tenants.

Yes, rentals are taxable in Nebraska. When you rent out a property, including a Nebraska Lease of Unfurnished House, you must collect sales tax from your tenants. The tax rate varies based on the local jurisdiction, so it's important to verify the specific rate applicable in your area. You can utilize resources like USLegalForms to help ensure compliance with all tax obligations.

Yes, a handwritten lease agreement for a Nebraska Lease of Unfurnished House can be legally binding if it includes all necessary details and is signed by both parties. However, clarity and comprehensiveness are key; any ambiguity may lead to disputes. Therefore, using a well-structured template can minimize risks and enhance understanding. Platforms like US Legal Forms provide templates that simplify this process for everyone.

Getting out of a Nebraska Lease of Unfurnished House can be straightforward if you follow the proper steps. You need to review the lease for early termination clauses or possible penalties. Additionally, communicating openly with your landlord may lead to mutual agreement for ending the lease early. If you are facing hardship, laws protect tenants, so knowing your rights is crucial.

When drafting a Nebraska Lease of Unfurnished House, hiring a lawyer is not mandatory but can be beneficial. A legal expert can ensure the agreement complies with state laws and protects your interests. If you are unsure about specific terms or face unique circumstances, consulting a lawyer may provide peace of mind. However, using platforms like US Legal Forms can help you create a solid lease document without legal fees.

Yes, you can write up your own lease agreement tailored to your needs for a Nebraska Lease of Unfurnished House. However, it is essential to include all key elements such as rent amount, security deposits, and maintenance responsibilities. Doing your research ensures that your lease complies with local laws. Alternatively, consider using platforms like uslegalforms, which provide reliable templates and guidance for drafting comprehensive lease agreements.

The most popular lease term is typically one year, which applies to many residential leases including the Nebraska Lease of Unfurnished House. This duration strikes a balance between commitment and flexibility. It allows tenants the opportunity to settle in while giving landlords a reliable income stream. Many property owners often renew these leases, creating a long-term rental relationship.

The lease type most frequently used for residential properties, such as a Nebraska Lease of Unfurnished House, is the flat or fixed lease. It provides a stable rental amount for a specified period, typically one year, ensuring predictability for tenants. This arrangement often fosters a good relationship between landlords and tenants through clear expectations. Thus, it remains a favored choice for various residential settings.

Yes, a handwritten rental agreement can be legal in Nebraska as long as it includes all necessary details and both parties sign it. A Nebraska Lease of Unfurnished House can be drawn up by hand, but it’s crucial to ensure that the terms are clear and agreed upon. However, the clarity and professionalism of a typed agreement often helps in enforcing the lease. To avoid potential disputes, consider using a well-drafted template.

Yes, you can find a variety of rental agreement templates in Word format online. These templates can help you draft a Nebraska Lease of Unfurnished House that meets your specific needs. They often include essential clauses and conditions that standard leases require. Utilizing a template saves time and ensures that you cover all vital aspects of the agreement.

Trusted and secure by over 3 million people of the world’s leading companies

Nebraska Lease of Unfurnished House