US Legal Forms - one of the largest collections of legal documents in the United States - offers a broad selection of legal document samples for you to download or create.
By using the website, you can access thousands of forms for both business and personal uses, organized by categories, states, or keywords.
You can get the most recent iterations of forms like the North Carolina E-Commerce Trading Partner Agreement in just a few moments.
If the form does not meet your needs, utilize the Search box at the top of the screen to find one that does.
Once satisfied with the form, confirm your choice by clicking the Get now button. Choose your preferred pricing option and provide your credentials to register for an account.
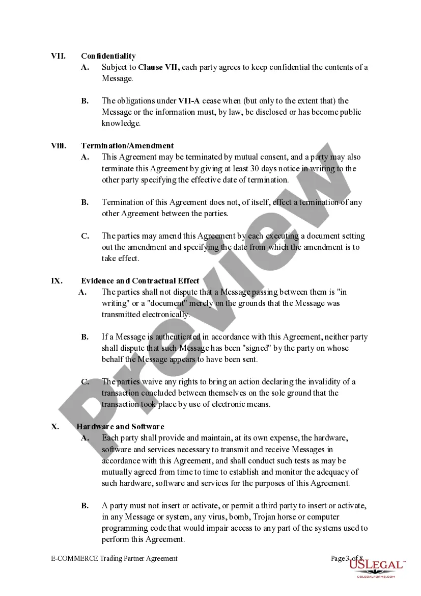
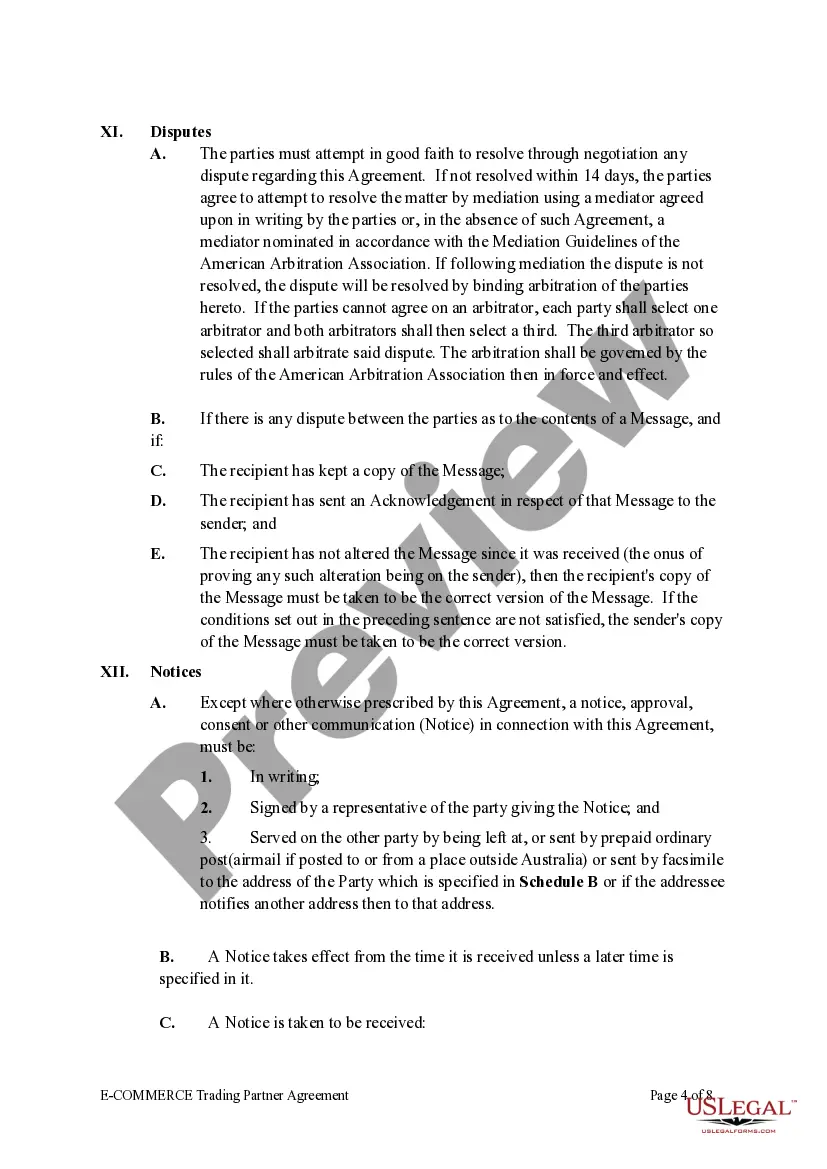
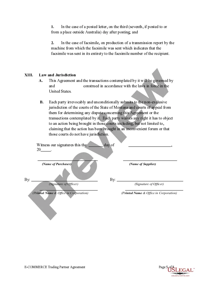
25cf HIPAA Section § 160.103. Definitions of the final privacy rule. includes this definition: Trading partner agreement means an. agreement related to the exchange of information in electronic transactions, whether the agreement is distinct or part of a larger agreement, between each party to the agreement.
A trading partnership is an alternative if at least two natural persons or legal entities wish to start a business together. There is no requirement to invest capital, although the partners are personally, jointly and severally liable for the company's debts.
Trading Partner An entity which sends and/or receives electronic health care transactions to/from EDISS. (i.e.: provider, billing group, billing service, clearinghouse or payer.)
Trading partner agreement means an. agreement related to the exchange of information in electronic transactions, whether the agreement is distinct or part of a larger agreement, between each party to the agreement.
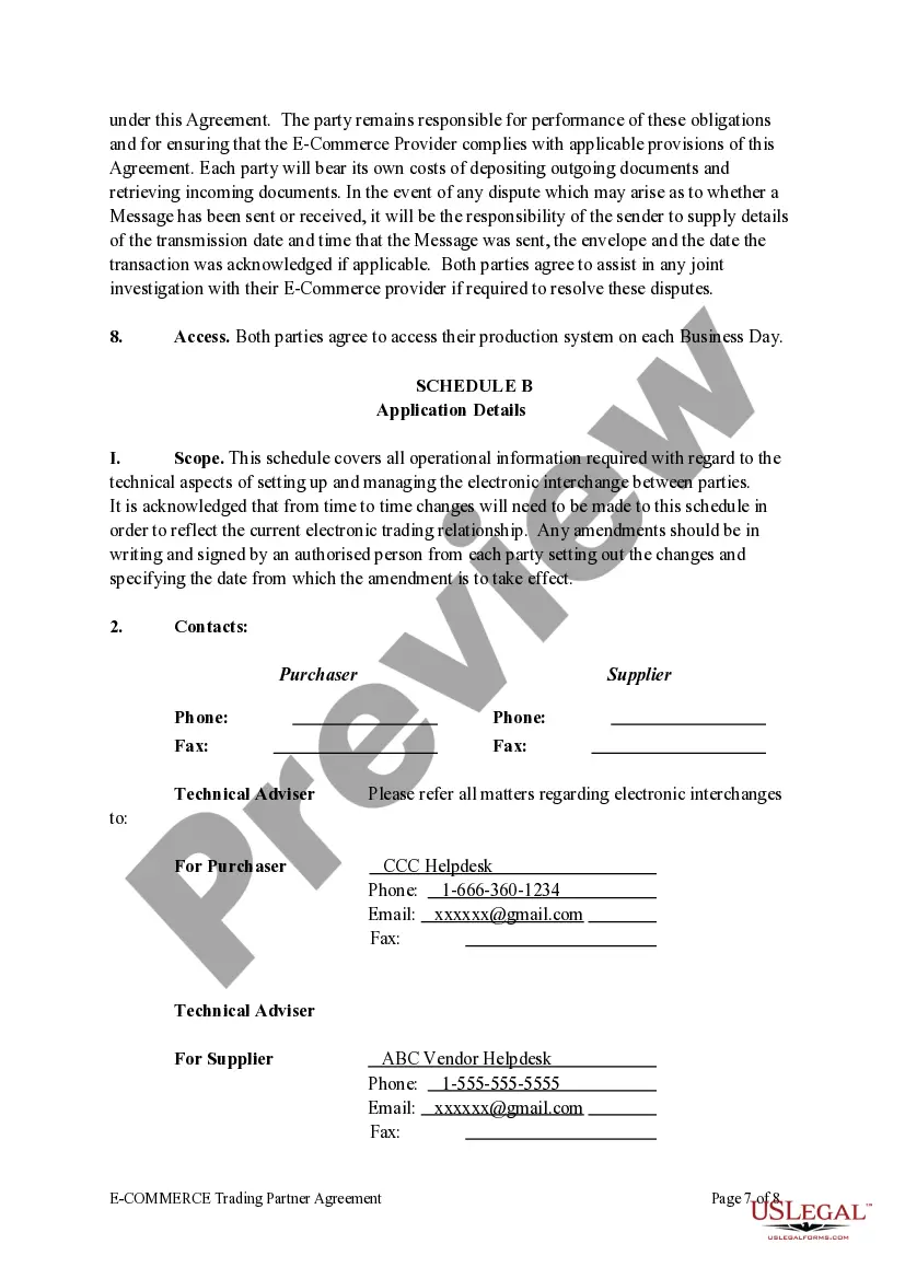
A trading partner agreement is an agreement drawn up by two parties that have agreed to trade certain items or information. The agreement outlines the terms of the trade or trading process, including responsibilities, who's involved, how goods or information will be delivered and received, and duties or fees.
The trading partner name is set at a companylevel and once assigned is auto-assigned to (and can be used by)all businesses (divisions) within a company. Different companiescan assign different names to the same trading partner ID.
A TPA is not required by HIPAA, but the ASC Insurance Subcommittee that was charged with developing the Implementation Guides for EDI transactions strongly recommends that trading partners have binding agreements to provide security and assurance in the transfer of electronic information (See Section 1.1.
(02c8tre026ad026a014b 02c8p025102d0tn0259 ) noun. business. a person, organization, or country with whom somebody customarily does business.
 
                     
                     
                     
                     
                     
                     
                    