If you need to obtain, buy, or print legally approved document templates, utilize US Legal Forms, the largest range of legal forms available online.
Employ the site’s straightforward and user-friendly search to find the documents you require.
A variety of templates for commercial and personal purposes are organized by categories and jurisdictions, or keywords.
Step 4. After locating the form you need, click the Buy now button. Choose your preferred pricing plan and enter your details to register for an account.
Step 5. Process the payment. You can use your credit card or PayPal account to complete the transaction.
Choosing the right owner-architect agreement is critical to any commercial design project. This is because the agreement establishes a foundation for the contractual relationship between the owner and architect and communicates the expected design and other services that the architect will provide.
How to Create an Architecture InvoiceDownload your free architecture invoice template.Add your contact information.Insert your logo (or use letterhead)Fill in your client's contact information.Add an invoice number, invoice date and payment due date.List the services provided and add a brief description of each.More items...
Architects are in charge of design and project planning, and they are also responsible for the visual appearance of buildings and structures.
Architects must use written contracts when contracting to provide architectural services in California.
Architecture Contracts are the joint agreements between development partners and sponsors on the deliverables, quality, and fitness-for-purpose of an architecture. Successful implementation of these agreements will be delivered through effective architecture governance (see Architecture Governance).
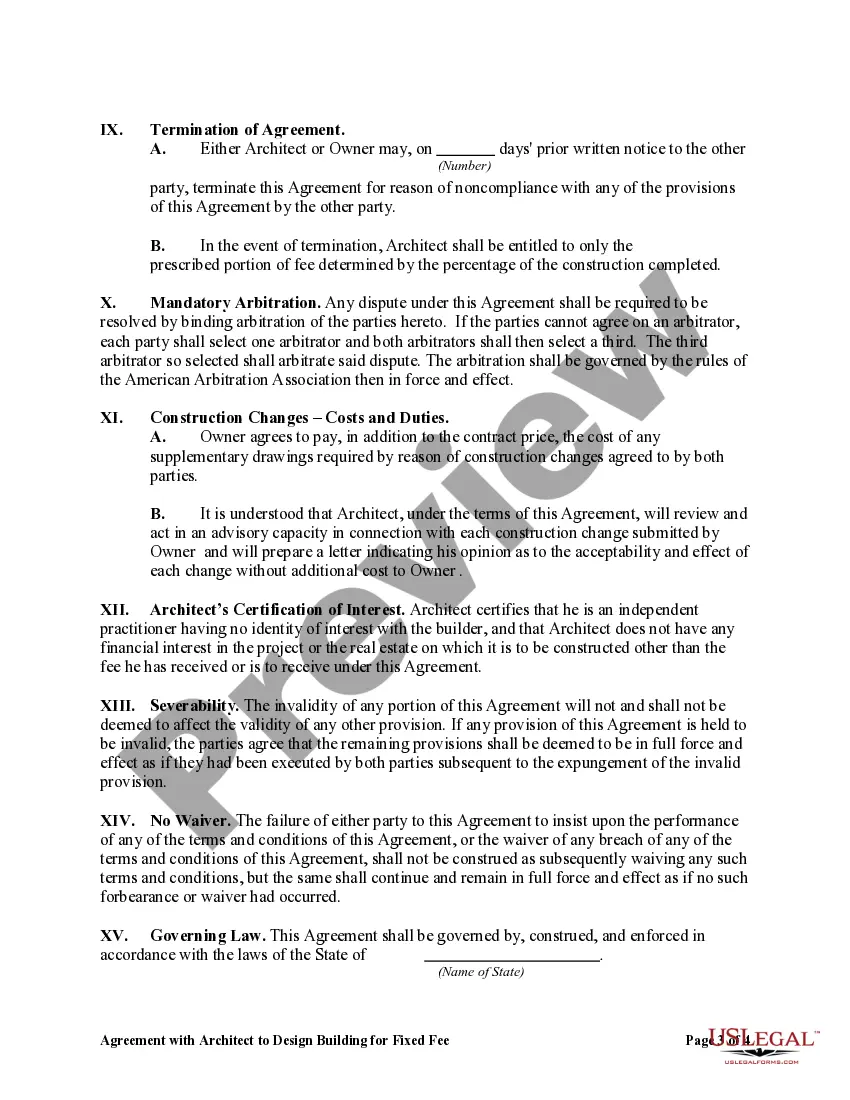
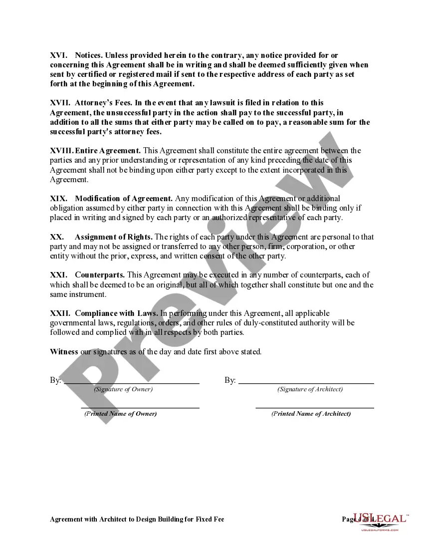
The basic elements that should be addressed in an agreement between an owner and architect include (1) the owner's objectives for the project, (2) the architect's scope of services and a description of the drawings or other deliverables the architect is to furnish; (3) the fees to be paid for providing those services
The basic elements that should be addressed in an agreement between an owner and architect include (1) the owner's objectives for the project, (2) the architect's scope of services and a description of the drawings or other deliverables the architect is to furnish; (3) the fees to be paid for providing those services
A fee proposal is a proposal prepared by a consultant for a prospective client describing the services that the consultant proposes to undertake and the fee that will be charged. This may be in the form of a letter, or may be a more detailed document accompanied by a cover letter.
The Construction Cost does not include the compensation of the architect, the architect's consultants, the land cost or other costs which are the client's responsibility.
Steps to Create the ContractIdentifiers for each party.the project location.a brief description of the project.a basic scope of services to be performed by you.a proposed compensation structure.actions for the client to take if they elect to move forward with you.



