Louisiana Checklist for Legal Hiring Process

State:
Multi-State
Control #:
US-371EM
Format:
Word; 
Rich Text
Instant download

Description

This form is used to list the process a company may use for hiring.
Free preview
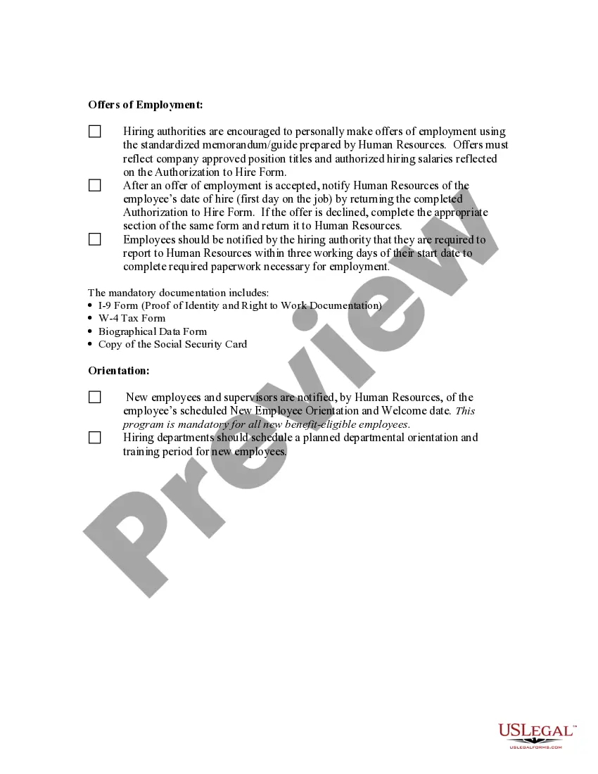
  • Preview Checklist for Legal Hiring Process
  • Preview Checklist for Legal Hiring Process
  • Preview Checklist for Legal Hiring Process

How to fill out Checklist For Legal Hiring Process?

You might spend numerous hours online searching for the legal documents template that satisfies the federal and state criteria you need.

US Legal Forms offers a vast array of legal forms that can be reviewed by professionals.

You can conveniently download or generate the Louisiana Checklist for Legal Hiring Process from our service.

If available, utilize the Preview button to browse through the document template as well.

  1. If you already have a US Legal Forms account, you may sign in and click the Acquire button.
  2. After that, you may complete, modify, generate, or sign the Louisiana Checklist for Legal Hiring Process.
  3. Every legal document template you obtain is yours permanently.
  4. To receive another version of a purchased form, go to the My documents section and press the appropriate button.
  5. If this is your first time using the US Legal Forms site, follow the simple instructions below.
  6. First, ensure that you have chosen the correct document template for your selected area/city.
  7. Review the form details to confirm that you have selected the correct document.

Form popularity

FAQ

Let's demystify the most common background checksEmployment Verification. With your consent, your future employer can request that we contact your past employers to verify that you were employed there.Education/Licenses.Criminal Records.Identity.Motor Vehicle Record.Drug Testing.

Step-by-step process to hire employeesEvaluate which positions you need to fill.Figure out your recruiting strategy.Write the job description.Post your job opening.Sift through applicants.Interview the most qualified candidates.Follow up with the interviewees.Extend the job offer.More items...

Make sure you and new hires complete employment forms required by law.W-4 form (or W-9 for contractors)I-9 Employment Eligibility Verification form.State Tax Withholding form.Direct Deposit form.E-Verify system: This is not a form, but a way to verify employee eligibility in the U.S.

The following documents are vital when it comes to the recruitment process,Offer Letter.Manpower Requisition.Job Description.Employment Agreement and contract.Recruitment Tracker.Candidate Evaluation Form.Reference Check Guide.07-Jan-2022

The recruitment process involves finding the candidate with the best skills, experience, and personality to fit the job. It requires a series of collecting and reviewing resumes, conducting job interviews, and finally selecting and onboarding an employee to start working for the organization.

Here are some forms you can expect to fill out when you begin a new job:Job-specific forms. Employers usually create forms unique to specific positions in a company.Employee information.CRA and tax forms.Compensation forms.Benefits forms.Company policy forms.Job application form.Signed offer letter.More items...?

Companies who pay employees in Louisiana must register with the LA Department of Revenue for a Revenue Account Number and the LA Workforce Commission for a State ID Number. Apply online at the DOR's Taxpayer Access Point portal to receive an Account Number immediately after registration or apply with this form.

Steps to Hiring your First Employee in LouisianaStep 1 Register as an Employer.Step 2 Employee Eligibility Verification.Step 3 Employee Withholding Allowance Certificate.Step 4 New Hire Reporting.Step 5 Payroll Taxes.Step 6 Workers' Compensation Insurance.Step 7 Labor Law Posters and Required Notices.More items...?

Follow these steps to set up payroll:Get an Employer Identification Number (EIN)Find out whether you need state or local tax IDs.Decide if you want an independent contractor or an employee.Ensure new employees return a completed W-4 form.Schedule pay periods to coordinate tax withholding for IRS.More items...

What are the steps of the hiring process? Here are the five distinct phases during the hiring process that recruiters can assist hiring managers with: opening the requisition, screening the applicants, interviewing the candidates, selecting the best, and making the offer.

Trusted and secure by over 3 million people of the world’s leading companies

Louisiana Checklist for Legal Hiring Process